反射系数与地震子波褶积合成地震记录
在地震勘探中,反射系数与地震子波的褶积是合成地震记录的核心过程。这个过程模拟了地震波在地下岩层中的传播和反射现象。以下是关于反射系数、地震子波以及褶积合成地震记录的详细解释和实现方法。
1. 反射系数(Reflection Coefficient)
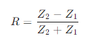
反射系数 ( R ) 是一个衡量界面两侧介质波阻抗变化的物理量。对于纵波,反射系数可以表示为:

其中,( Z_1 ) 和 ( Z_2 ) 分别是界面两侧介质的波阻抗,波阻抗 ( Z ) 定义为:

其中,( \rho ) 是介质的密度,( V_p ) 是纵波速度。
2. 地震子波(Seismic Wavelet)
地震子波是地震记录中用于描述地震波传播特性的基本信号。常见的地震子波包括雷克子波(Ricker wavelet)、高斯子波等。雷克子波是一种常用的地震子波,其时域表达式为:

其中,( f ) 是子波的中心频率。
3. 褶积(Convolution)
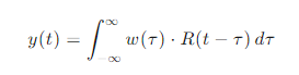
褶积是信号处理中的一个重要操作,用于模拟地震子波与反射系数的相互作用。褶积的数学表达式为:

在离散情况下,褶积可以表示为:

4. 合成地震记录(Synthetic Seismic Record)
合成地震记录是通过将反射系数序列与地震子波进行褶积得到的。以下是实现合成地震记录的步骤和代码示例。
4.1 Python实现
以下是一个完整的Python代码示例,用于生成反射系数序列、雷克子波,并进行褶积以合成地震记录。
import numpy as np
import matplotlib.pyplot as plt
# 定义反射系数序列
def generate_reflection_coefficients(depth, vp, rho):
"""
根据深度、纵波速度和密度生成反射系数序列
"""
z = vp * rho # 波阻抗
reflection_coefficients = np.zeros_like(depth)
for i in range(1, len(depth)):
reflection_coefficients[i] = (z[i] - z[i-1]) / (z[i] + z[i-1])
return reflection_coefficients
# 定义雷克子波
def ricker_wavelet(frequency, length, dt):
"""
生成雷克子波
"""
t = np.arange(-length/2, length/2, dt)
w = (1 - 2 * (np.pi * frequency * t)**2) * np.exp(-(np.pi * frequency * t)**2)
return t, w
# 褶积操作
def convolve_wavelet_with_reflection_coefficients(wavelet, reflection_coefficients, dt):
"""
将地震子波与反射系数序列进行褶积
"""
synthetic_seismic = np.convolve(wavelet, reflection_coefficients, mode='same') * dt
return synthetic_seismic
# 示例
# 定义模型参数
depth = np.linspace(0, 1000, 100) # 深度(米)
vp = np.array([2000, 2500, 3000, 3500, 4000]) # 纵波速度(米/秒)
rho = np.array([2.0, 2.2, 2.5, 2.8, 3.0]) # 密度(克/立方厘米)
# 生成反射系数序列
reflection_coefficients = generate_reflection_coefficients(depth, vp, rho)
# 定义雷克子波
frequency = 20 # 中心频率(赫兹)
length = 0.5 # 子波长度(秒)
dt = 0.004 # 时间采样间隔(秒)
t, wavelet = ricker_wavelet(frequency, length, dt)
# 褶积生成合成地震记录
synthetic_seismic = convolve_wavelet_with_reflection_coefficients(wavelet, reflection_coefficients, dt)
# 绘制结果
plt.figure(figsize=(10, 6))
plt.subplot(3, 1, 1)
plt.plot(depth, reflection_coefficients, 'b')
plt.title('Reflection Coefficients')
plt.xlabel('Depth (m)')
plt.ylabel('Reflection Coefficient')
plt.subplot(3, 1, 2)
plt.plot(t, wavelet, 'r')
plt.title('Ricker Wavelet')
plt.xlabel('Time (s)')
plt.ylabel('Amplitude')
plt.subplot(3, 1, 3)
plt.plot(np.arange(len(synthetic_seismic)) * dt, synthetic_seismic, 'k')
plt.title('Synthetic Seismic Record')
plt.xlabel('Time (s)')
plt.ylabel('Amplitude')
plt.tight_layout()
plt.show()
可以参考这个matlab例程 反射系数与地震子波褶积合成地震记录,p,d,s分别是预设地层纵波速度、密度、及横波速度模型。其中包含可以改变主频的ricker子波,avopp是提取反射系数的程序。wigb可以对其中的多道进行强化显示。
5. 代码解释
-
生成反射系数序列:
- 根据深度、纵波速度和密度计算波阻抗。
- 计算相邻层之间的反射系数。
-
生成雷克子波:
- 使用雷克子波的公式生成子波。
-
褶积操作:
- 使用
np.convolve函数将地震子波与反射系数序列进行褶积。 - 褶积结果乘以时间采样间隔 ( dt ),以保持能量守恒。
- 使用
-
绘制结果:
- 绘制反射系数序列、雷克子波和合成地震记录。
6. 注意事项
- 反射系数的计算:确保波阻抗的计算准确,避免数值误差。
- 子波选择:根据实际应用选择合适的子波类型和参数。
- 褶积边界处理:在褶积时,可能需要处理边界效应,例如通过填充零值。
通过上述步骤和代码,你可以生成合成地震记录,用于地震数据处理和解释的初步分析。
浙公网安备 33010602011771号