会员
众包
新闻
博问
闪存
赞助商
HarmonyOS
Chat2DB
所有博客
当前博客
我的博客
我的园子
账号设置
会员中心
简洁模式
...
退出登录
注册
登录
tian-zai
博客园
首页
新随笔
联系
订阅
管理
2022年9月10日
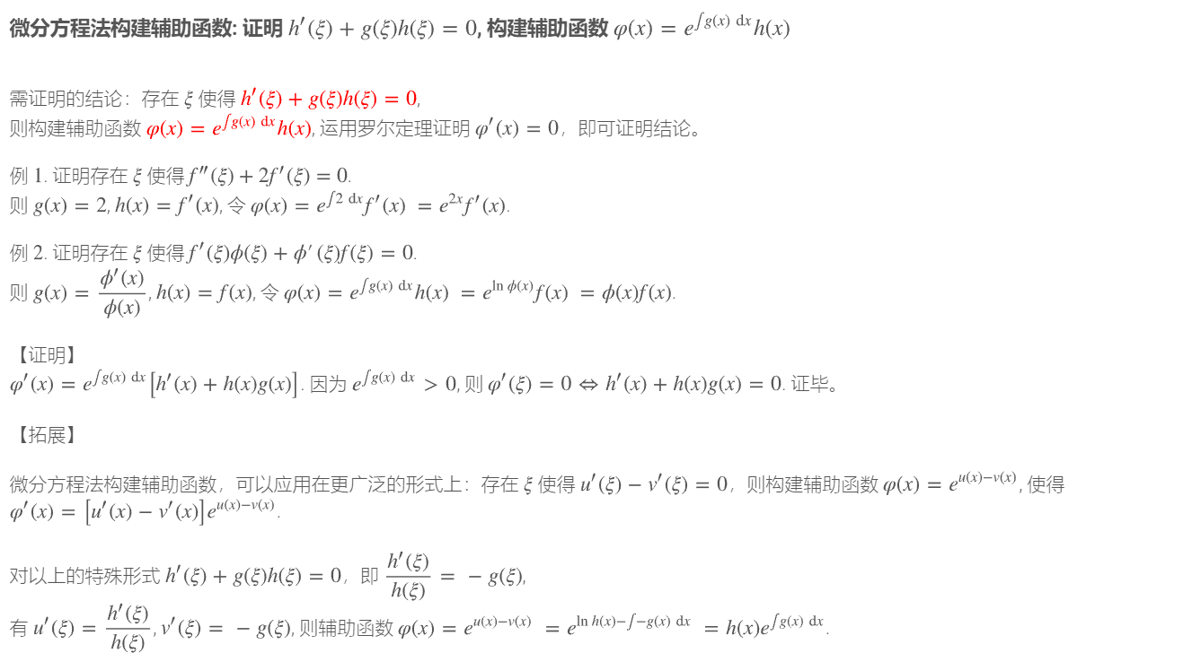
高数笔记:微分方程构建辅助函数
摘要: 
阅读全文
posted @ 2022-09-10 17:20 天仔
阅读(65)
评论(0)
推荐(0)
2022年8月11日
高数笔记:解题技巧:含绝对值的两函数之积在零点可导的充要条件
摘要: 含绝对值的两函数之积在零点可导的充要条件
阅读全文
posted @ 2022-08-11 14:51 天仔
阅读(196)
评论(0)
推荐(0)
2022年8月3日
高数笔记:复合函数的泰勒展开
摘要: 复合函数的泰勒展开 例: 要注意泰勒展开要展开到余项是同阶无穷小
阅读全文
posted @ 2022-08-03 17:25 天仔
阅读(3459)
评论(0)
推荐(0)
高数笔记:解题技巧——提取e^x化简
摘要: 解题技巧:熟练运用公式和定义【提取$e^x$化简】 例题:
阅读全文
posted @ 2022-08-03 17:06 天仔
阅读(447)
评论(0)
推荐(0)
2022年8月2日
集合-Nim游戏
摘要: 集合-Nim游戏 给定 n 堆石子以及一个由 k 个不同正整数构成的数字集合 S。 现在有两位玩家轮流操作,每次操作可以从任意一堆石子中拿取石子,每次拿取的石子数量必须包含于集合 S,最后无法进行操作的人视为失败。 问如果两人都采用最优策略,先手是否必胜 ICG游戏 游戏有两个人参与,二者轮流做出决
阅读全文
posted @ 2022-08-02 11:37 天仔
阅读(205)
评论(0)
推荐(0)
Nim游戏
摘要: Nim游戏 给定 n 堆石子,两位玩家轮流操作,每次操作可以从任意一堆石子中拿走任意数量的石子(可以拿完,但不能不拿),最后无法进行操作的人视为失败。 问如果两人都采用最优策略,先手是否必胜
阅读全文
posted @ 2022-08-02 10:17 天仔
阅读(66)
评论(0)
推荐(0)
2022年7月18日
线代学习笔记:二次型
摘要: 定义 n元的二次型是n个变量的齐二次多项式函数 $$ f(x_1,x_2,...,x_n) = \sum_{i = 1}^na_{ii}x_{i}^2+2\sum_{i\neq j}a_{ij}x_{i}x_{j} $$ 其中含$x_{i}^2$的项称为交叉项用矩阵乘积的形式写出是一个对称矩阵,满足
阅读全文
posted @ 2022-07-18 21:54 天仔
阅读(830)
评论(0)
推荐(0)
2022年7月14日
线代学习日记:相似矩阵
摘要: 定义:矩阵A和矩阵B相似则存在矩阵P满足$$P^{-1} A P = B$$ 矩阵相似的本质是在不同的基向量下描述同一个线性变换。而如果能在某一组基向量下描述这个线性变换使得只在基向量的方向上伸缩,即用矩阵描述时是一个对角矩阵将为我们的计算提供便利,我们很容易想到将特征向量作为基向量,因此我们只需将
阅读全文
posted @ 2022-07-14 20:03 天仔
阅读(408)
评论(0)
推荐(0)
公告