机器学习课程笔记 2
上一篇 -> 机器学习课程笔记 1.2。
第2讲 训练不如意的原因与处理
1. 局部最优解(local minima) 与 鞍点(saddle point)
- 训练到一定程度, loss 很大却不再下降 或者 一开始就 梯度很小, loss 几乎不下降。

- 两种基本原因
- 局部最优解(local minima)
处于此时的最低点。 - 鞍点(saddle point)
某一方向上的最低点, 但换个方向有更小者。
- 局部最优解(local minima)

如何判断属于哪一种?
已知由泰勒公式可以满足近似关系

简单理解 \(g\) 是 loss 对 \(\theta^{\prime}\) 的一阶导数, \(H\) 是loss 对 \(\theta^{\prime}\) 的二阶导数, 也称为 Hessian 矩阵。而当点位于上述两种情况时, 一阶导数部分为0, 则看属于哪种情况需要比较二阶导数, 也就是 比较 Hessian 矩阵部分。

在二阶导数部分, 如果代入任何临近 \(\theta\) 结果恒小于0, 则\(\theta^{\prime}\) 处为局部最小值, 相反恒大于0为局部最大值; 而对于在0左右反复横跳的, 即为鞍点。
而二阶导数部分中, \((\theta-\theta^{\prime})\) 的平方恒大于0, 则决定结果的权利就落在了 Hessian矩阵上。所以求出其二阶导数Hessian矩阵, \(H>0\) 为局部最小值; \(H<0\) 为局部最大值; 有时\(H>0\), 有时\(H<0\) 为鞍点。
- 简单例子

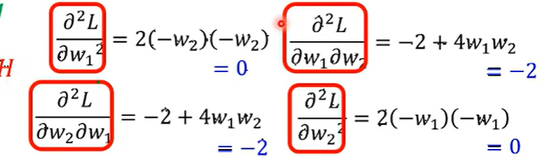
- 写出一阶导数部分, 已知 \(w_1=0, w_2=0\)。

- 写出二阶导数部分, 并带入 \(w_1, w_2\)。

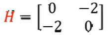
- 根据解写出 Hessian 矩阵

- 求解 Hessian 矩阵的特征值

- 有正有负, 所以为鞍点。
由前面鞍点的介绍可知, 鞍点其他方向可以有更小的loss。
所以当知道为鞍点时, 可以继续按照 负特征值的特征向量的方向 继续调整参数, 来获取更小的 loss。
但现实由于 Hessian 矩阵的计算量太大, 实际不会这么应用。
而且当你有很多参数时, 局部最小值也会很稀有,很有价值。
2. 批次(batch) 与 动量(momentum)
2.1 batch
- 回顾

- 为何要用batch?

不用 batch 或者 bach_size = N(N 为样本总数), 意味着将所有的样本看完, 才完成一轮更新,虽然很稳定,但当样本过大时,消耗的时间太多;而使用单例样本 或 batch = 1,意味着看一个样本算完成一次更新,虽然时间短,但每个样本的不同导致梯度下降的不稳定。

所以对大样本取适中的 batch_size 得到 batch 来训练,既可以节省时间,还能稳定下降梯度。

但不排除小的batch效果更好,如上图。
主要原因是优化器的选择导致。梯度更新稳定意味着进入局部最小值和鞍点出来的可能性较低,而小批量的具有波动的性质,更容易跳出其中。

所以小还是大,可以看下图比较。

2.2 monentum 动量
- 简单来说
为原先梯度下降的方向保留一定值,作为后续参数更新的修正。有点类似于现实世界的运动物体的惯性。

3. 自适应学习率 Adaptive Learning Rate
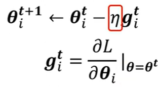
- 参数更新除了与梯度有关还与学习率 \(\eta\) 有关。

- 所以根据情况自动调整 \(\eta\) 也很重要。

- 常见方法之 Adagrad
\(\eta\) 除以每次梯度的均方根(Root Mean Square, RMS)
这样的优化器也称为 Adagrad。

- 原理
为了不错过最低点,当梯度很大, RMS就大,进一步 \(\eta\) 相除就会变小,更新幅度就变小;反之,更新梯度大。

- 常见方法之 RMSProp
Adagrad 存在一个缺点,即他的梯度是统一看待并累计的,这样每个时刻的梯度对学习率的调整是同样权重的,则不管大的小的,统一规划为均值去调,这样就导致学习率的调整过于均衡。
所以提出了给相邻时刻梯度权重 \(\alpha\) 的 RMSProp 优化器。

- 原理
加入权重后,可以让近期的梯度对学习率的调整有更大的影响,进而学习率调整的更加准确。

- 现实常用 Adam
Adam 其实就是 RMSProp + Momentum。
即 RMSProp 部分调整学习率,Monentum 部分调整梯度。
4. 损失函数 Loss
分类常用交叉函数 Cross Entropy。


浙公网安备 33010602011771号