I-Con:一个统一的表征学习框架
作者:凯鲁嘎吉 - 博客园 http://www.cnblogs.com/kailugaji/
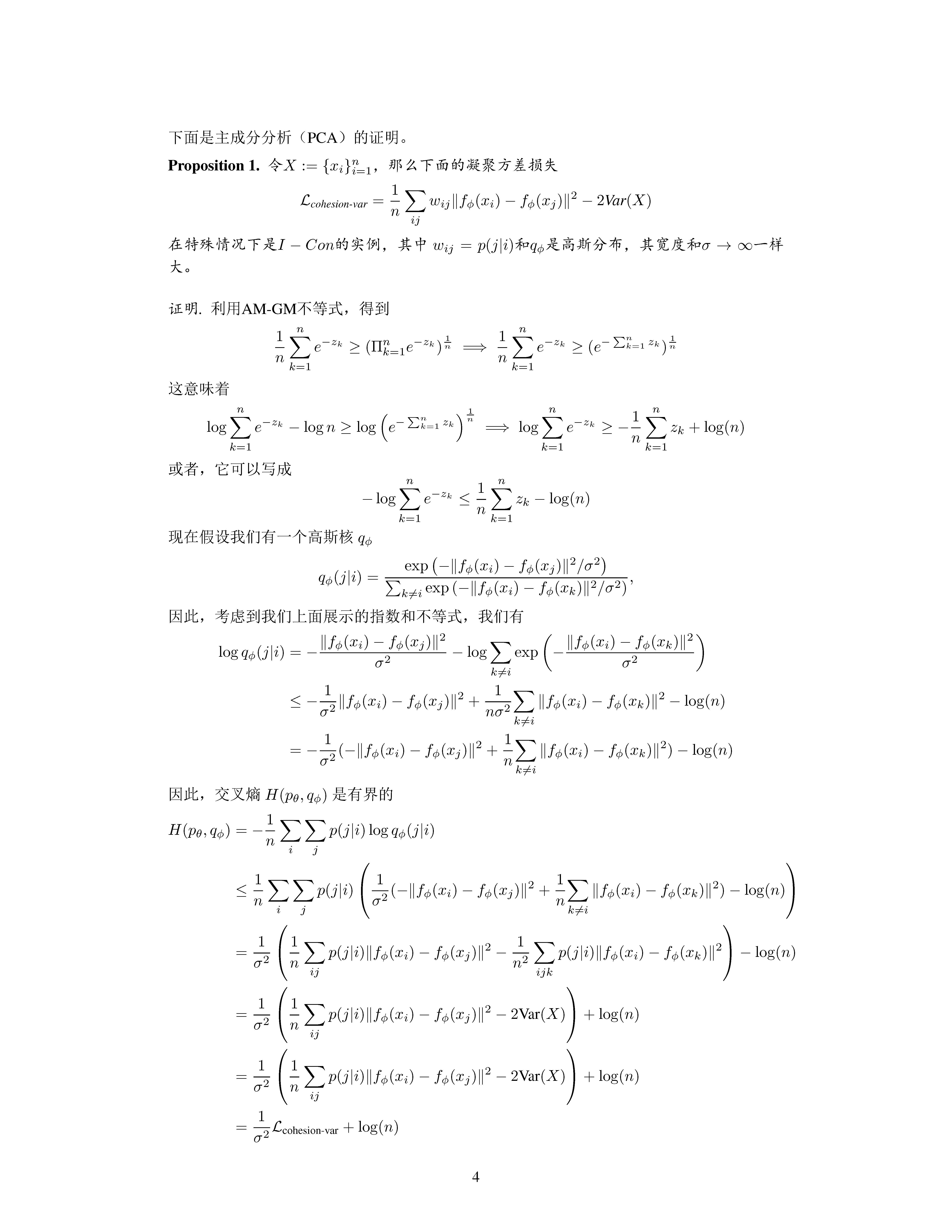
好久没更新博客园了,今天来更新一篇。最近,搜到一篇发表在ICLR 2025上的论文,接受状态为Poster,题目为《I-Con: A Unifying Framework for Representation Learning》,审稿人的详细评论可以看:https://openreview.net/forum?id=WfaQrKCr4X。这篇文章说的是一个式子,即平均KL散度,就可以将很多表征学习的方法统一起来,比如降维、对比学习、监督学习、聚类。还给出了类似“元素周期表”的形式,能直观反映通过监督分布与学习分布所得到的方法。那岂不是未来可以通过“排列组合”的方法填补这个“元素周期表”,然后得到更多的表征损失函数了吗?所以想仔细看看这篇论文是怎么回事。于是乎我首先用学术版GPT和有道翻译进行了机翻,然后用LaTeX进行重新编译,把文章的主要部分摘出来,做成了如下所示的译文,供大家学习与参考。














参考:
[1] I-Con: A Unifying Framework for Representation Learning
[2] I-Con: A Unifying Framework for Representation Learning (mhamilton.net)
[3] 代码:https://github.com/ShadeAlsha/ICon
[4] 降维方法:SNE与t-SNE、PCA;对比学习方法:SimCLR;监督学习方法:交叉熵损失;聚类方法:K-Means、谱聚类
浙公网安备 33010602011771号