Nature Genetics | 本周最新文献速递
Article Title: Protein–protein interactions shape trans-regulatory impact of genetic variation on protein expression and complex traits
中文标题: 揭示基因调控新机制!蛋白质相互作用网络重塑遗传变异对复杂性状的远程调控影响
关键词: 蛋白质数量性状位点、反式调控、蛋白质相互作用、全基因组关联研究、复杂性状
摘要总结: 这篇文章通过整合大规模血浆蛋白质组学数据(UKB-PPP)与基因组数据,探索了遗传变异如何通过反式作用(trans-acting)调节远端蛋白质的表达,这对于理解复杂性状和疾病的遗传基础具有重要意义。研究发现,反式蛋白质数量性状位点(trans-pQTLs)通常比顺式位点(cis-pQTLs)具有更大的效应值,且往往不通过mRNA水平的改变起作用,而是通过蛋白质-蛋白质相互作用(PPI)网络进行调控。研究团队开发了trans-PCO方法,利用PPI注释指导反式pQTL进行挖掘,鉴定出大量与特定PPI簇相关的遗传变异。这些变异在全基因组关联研究(GWAS)位点中高度富集,揭示了自身免疫疾病(如类风湿性关节炎、系统性红斑狼疮)中多个GWAS信号汇聚于同一PPI复合物的现象,为药物靶点的发现提供了新线索。

文章亮点:
-
发现trans-pQTLs对蛋白质表达的影响通常大于cis-pQTLs,且多发生在翻译后水平。
-
揭示了PPI是trans-pQTLs发挥作用的主要机制,相关变异富集在PPI界面。
-
开发了trans-PCO方法,大幅提高了功能性trans-pQTLs的发现能力。
-
证明了多病种GWAS信号常汇聚于特定的PPI网络,指明了潜在的治疗靶点。
文章局限:
-
使用的蛋白质组数据仅覆盖了人类蛋白质组的一小部分(<3000种)。
-
依赖于现有的PPI数据库,这些数据库可能不完整。
-
难以完全排除细胞组成异质性带来的混杂效应。
Article Title: Linking the plasma proteome to genetics in individuals from continental Africa provides insights into type 2 diabetes pathogenesis
中文标题: 填补非洲人群研究空白!通过血浆蛋白质组学与遗传学关联分析揭示2型糖尿病致病新机制
关键词: 蛋白质组学、2型糖尿病、非洲人群、pQTL、孟德尔随机化
摘要总结: 这篇文章通过对来自乌干达的163名2型糖尿病(T2D)或糖尿病前期患者及362名正常对照者进行血浆蛋白质组学分析,探索了非洲大陆人群中蛋白质水平与遗传变异及疾病的关联,这对于打破基因组学研究中的人群偏差具有重要意义。研究鉴定了88种在病例和对照间差异表达的蛋白质(如EDIL3、LEP等),并构建了该人群的蛋白质数量性状位点(pQTL)图谱。研究发现了大量非洲人群特有的pQTL,其中部分位点(如SIRPα附近的rs6075339)与T2D遗传风险位点共定位。通过孟德尔随机化分析,研究进一步确定了18种与T2D具有因果关系的蛋白质(如ACE、COMT等),为针对非洲人群的精准医疗提供了潜在的生物标志物和治疗靶点。

文章亮点:
-
针对代表性不足的非洲大陆人群进行了罕见的蛋白质组-基因组整合研究。
-
发现了58个非洲人群特有的cis-pQTLs和所有trans-pQTLs均为首次报道。
-
鉴定了18种与T2D有潜在因果关系的蛋白质,其中ACE等与胰岛素抵抗密切相关。
-
揭示了SIRPα等蛋白的遗传调控与T2D风险的共定位机制。
文章局限:
-
样本量相对较小(约500人),限制了统计功效。
-
仅限于单一的非洲人口群体(乌干达),可能无法代表整个非洲大陆的遗传多样性。
-
横断面研究设计难以确定因果方向,需进一步实验验证。
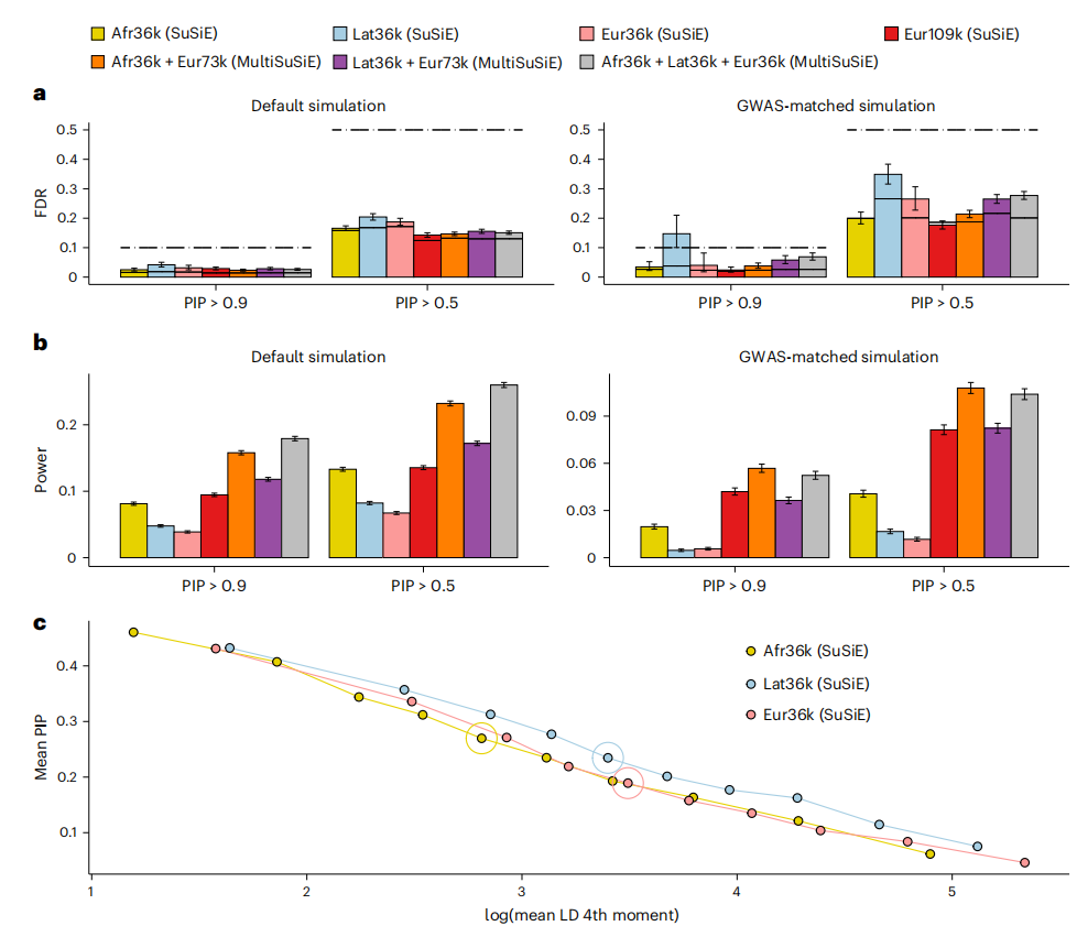
Article Title: MultiSuSiE improves multi-ancestry fine-mapping in All of Us whole-genome sequencing data
中文标题: 多祖源精细映射新利器!MultiSuSiE算法利用全基因组测序数据提升复杂性状因果变异识别率
关键词: 精细映射、多祖源、全基因组测序、All of Us、贝叶斯回归
摘要总结: 这篇文章通过开发名为MultiSuSiE的新型统计方法,探索了如何利用多祖源人群的全基因组测序(WGS)数据来提高GWAS位点精细映射的准确性,这对于解析复杂性状的遗传架构具有重要意义。MultiSuSiE是Sum of Single Effects (SuSiE) 模型的扩展,它允许因果效应在不同祖源间存在差异,同时利用跨祖源的遗传相关性信息。基于“All of Us”研究计划中不同祖源人群(非洲裔、拉丁裔、欧洲裔)的WGS数据,作者证明了MultiSuSiE在模拟研究和14种定量性状的实际分析中,相比现有的单祖源或多祖源方法(如SuSiEx, MESuSiE),具有更高的统计功效、更准确的校准度以及更低的计算成本。


文章亮点:
-
提出了MultiSuSiE算法,有效整合多祖源数据,允许效应值跨人群变化。
-
基于“All of Us”大规模WGS数据,避免了芯片插补带来的偏差。
-
在相同样本量下,包含多样化祖源的人群比单一欧洲人群具有更高的精细映射分辨率。
-
发现了多个被单一祖源分析遗漏的生物学可信的因果变异(如HBB、PIEZO1位点)。
文章局限:
-
需要将个体划分到离散的祖源群体中,可能不适用于高度混合的人群结构。
-
排除了在某些人群中非多态性的变异,可能导致漏检。
-
依赖于准确的连锁不平衡(LD)参考面板。
Article Title: De novo and inherited dominant variants in U4 and U6 snRNA genes cause retinitis pigmentosa
中文标题: 非编码RNA致病新发现!U4和U6 snRNA基因突变是导致视网膜色素变性的重要原因
关键词: 视网膜色素变性、小核RNA、剪接体、非编码基因、遗传变异
摘要总结: 这篇文章通过对大规模视网膜色素变性(RP)患者队列的全基因组测序分析,探索了非编码小核RNA(snRNA)基因突变与RP的关系,这对于揭示孟德尔遗传病的非编码致病机制具有重要意义。研究在RNU4-2(编码U4 snRNA)及四个RNU6旁系同源基因(编码U6 snRNA)中发现了反复出现的新发或显性遗传突变。这些突变聚集在U4/U6双链的三向连接处(three-way junction),该区域对剪接体tri-snRNP的组装至关重要。功能实验表明,这些突变会阻碍snRNP的生物发生,特别是影响U4/U6双链与Prp31等剪接因子的结合。

文章亮点:
-
首次将RNU6基因突变与人类疾病联系起来,并扩展了RNU4-2的表型谱。
-
发现这些snRNA基因突变解释了约1.4%的未诊断RP病例。
-
揭示了突变集中在U4/U6双链特定结构域的分子机制,影响剪接体组装。
-
证明了非编码基因在孟德尔遗传病中的重要性。
文章局限:
-
尽管发现了关联,但RNU4-2突变导致神经发育障碍与RP的表型差异机制尚不完全清楚。
-
具体的病理生理学机制(如光感受器细胞死亡的具体通路)需进一步体内实验验证。
致谢橙子牛奶糖(陈文燕),请用参考模版:We thank the blogger (orange_milk_sugar, Wenyan Chen) for XXX
感谢小可爱们多年来的陪伴, 我与你们一起成长~

本文来自博客园,作者:橙子牛奶糖(陈文燕),转载请注明原文链接:https://www.cnblogs.com/chenwenyan/p/19488942

浙公网安备 33010602011771号