Halcon基础——图像增强
图像增强
定义

分类

空间域

频率域

点运算

线性灰度变换
使用一个线性函数去改变灰度值

分段线性灰度变换

非线性灰度变换

Halcon的点运算



直方图修正法
基于图像的灰度直方图进行修正。

直方图均衡化
让图像灰度分布更加均匀。

直方图规定化
经处理后,左侧图像灰度直方图类似于右侧图像。

图像平滑
噪声
高斯噪声

椒盐噪声

均值滤波


为了能够确认出中心点,掩膜的Size要设置为奇数。
中值滤波
取指定掩膜中,灰度的中值,作为当前点的灰度值。
中值滤波对于椒盐噪声有很好的去噪效果。

多图像平均法
拍摄多幅图像后,然后将图像累加后取平均值。原因:使用电子设备拍摄的图像中的噪声多为高斯噪声,其对应的数学期望为0.因此取多幅图像计算平均值,能够降低噪声。
图像锐化

图像边缘提取
假设我们获取一条扫描线上的所有灰度值,那么其对应的灰度图像如下图所示。

对于一阶导数而言,边缘出现在其导数的极值处。并且对应二阶导数的零点。

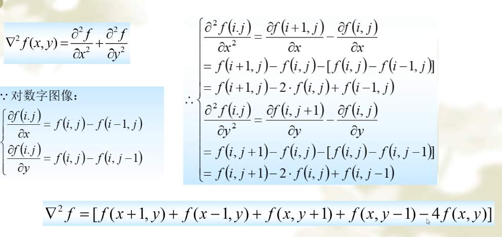
数学原理

如何在图像上求导数呢?首先要明确图像上的像素点都是离散的,实际上我们的求导是用差分去表示微分。例如在x方向上导数的计算公式如下。

边缘检测算子
上面讲到,我们既可以通过一阶导数去判断边缘,也可以通过二阶导数去判断边缘。根据采取的方法不同分为以下两类方法。

梯度法
在模拟图像中,在理想条件下。对于图像函数f(x,y)其应该是处处可导的。

在实际情况中,我们还是选择使用差分去代替上面的求导。从中我们分别可以得到x和y方向的导数公式。近似得到梯度。

将上述公式转换为一个模板即可得到。

横向微分运算

纵向微分运算

双方向一次微分运算

交叉差分运算


Sobel算子(一阶微分)
上面的两种方法(双方向、交叉),在实际应用过程中,非常容易收到噪声的干扰,导致边缘提取不准确。

Sobel算子通过大中心位置的权重以及感受野,能够实现更好的边缘提取效果。

下图中,使用Sobel算子,我们更能直观体会到增强后的人的轮廓。


Halcon中使用Sobel算子

该算子的返回结果是一张幅值强度图像。
其中,FilterType规定了幅值的计算方式,通常采用绝对值相加的方式即可。Size用于设置算子模板的大小。
需要明确的是,使用算子提取的所谓边缘,是基于灰度的变化进行的,也即是说提取的边缘是一条灰度的过渡带。这是我们往往还需要搭配skeleton算子,才能获取到一条细致的边缘轮廓。
拉普拉斯增强算子(二阶微分)
此类算子就是通过计算二阶导数进行边缘增强。通过计算二阶导的梯度,实现边缘增强。

不同的掩膜实际上就规定了算子能够检测的边缘方向,例如 如果图像中仅包括水平和垂直的边缘,那么选择4邻域的掩膜即可。如果还包含斜边,就应该考虑使用8邻域的掩膜



Halcon中使用拉普拉斯算子

需要明确的是,该算子返回的图像,仅仅是通过拉普拉斯算子滤波后的一个二阶导数图像。根据上面的分析可以,边缘对应着二阶导为0的点,因此图像中的边缘实际上是值为0的地方。如果想要提取边缘,还需要使用zero_crossing_sub_pix等算子,去找出为0的像素点,这才是真正的边缘
更多情况下,我们使用的是laplace_of_gauss算子,该算子会首先进行一次高斯滤波降噪。

浙公网安备 33010602011771号