戴森

著名数学家弗里曼·戴森的演讲译文:鸟和青蛙

编辑按:

弗里曼•戴森 (Freeman Dyson)1923年12月15日出生,美籍英裔数学物理学家,普林斯顿高等研究院自然科学学院荣誉退休教授。

戴森早年在剑桥大学追随著名的数学家G.H.哈代研究数学,二战结束后来到美国康奈尔大学,跟随汉斯•贝特教授。他证明了施温格和朝永振一郎发展的变分法方法和费曼的路径积分法的等价性,为量子电动力学的建立做出了决定性的贡献。1951年他任康奈尔大学教授,1953年后一直任普林斯顿高等研究院教授。

《鸟和青蛙》(Birds and Frogs)是戴森应邀为美国数学会爱因斯坦讲座所起草的一篇演讲稿,该演讲计划于2008年10月举行,但因故被取消。这篇文章全文发表于2009年2月出版的《美国数学会志》(NOTICES OF THE AMS, VOLUME56, Number 2)。

经美国数学会和戴森授权,科学时报记者王丹红全文翻译并在科学网上发布这篇文章。

有些数学家是鸟,其他的则是青蛙。鸟翱翔在高高的天空,俯瞰延伸至遥远地平线的广袤的数学远景。他们喜欢那些统一我们思想、并将不同领域的诸多问题整合起来的概念。青蛙生活在天空下的泥地里,只看到周围生长的花儿。他们乐于探索特定问题的细节,一次只解决一个问题。我碰巧是一只青蛙,但我的许多最好朋友都是鸟。

这就是我今晚演讲的主题。数学既需要鸟也需要青蛙。数学丰富又美丽,因为鸟赋予它辽阔壮观的远景,青蛙则澄清了它错综复杂的细节。数学既是伟大的艺术,也是重要的科学,因为它将普遍的概念与深邃的结构融合在一起。如果声称鸟比青蛙更好,因为它们看得更遥远,或者青蛙比鸟更好,因为它们更加深刻,那么这些都是愚蠢的见解。数学的世界既辽阔又深刻,我们需要鸟们和青蛙们协同努力来探索。

这个演讲被称为爱因斯坦讲座,应美国数学会之邀来这里演讲以纪念阿尔伯特•爱因斯坦,我深感荣幸。爱因斯坦不是一位数学家,而是一位融合了数学感觉的物理学家。一方面,他对数学描述自然界运作的力量极为尊重,他对数学之美有一种直觉,引导他进入发现自然规律的正确轨道;另一方面,他对纯数学没有兴趣,他缺乏数学家的技能。晚年时,他聘请一位年轻同事以助手身份帮助他做数学计算。他的思考方式是物理而非数学。他是物理学界的至高者,是一只比其他鸟瞭望得更远的鸟。但今晚我不准备谈爱因斯坦,因为乏善可陈。

弗兰西斯•培根和勒奈•笛卡尔

17世纪初,两位伟大的哲学家,英国的弗兰西斯•培根(Francis Bacon)和法国的勒奈•笛卡尔(Rene Descartes),正式宣告了现代科学的诞生。笛卡尔是一只鸟,培根是一只青蛙。两人分别描述了对未来的远景,但观点大相径庭。培根说:“一切均基于眼睛所见自然之确凿事实。”笛卡尔说:“我思,故我在。”

按照培根的观点,科学家需要周游地球收集事实,直到所积累的事实能揭示出自然的运动方式。科学家们从这些事实中推导出自然运作所遵循的法则。根据笛卡尔的观点,科学家只需要呆在家里,通过纯粹的思考推导出自然规律。为了推导出正确的自然规律,科学家们只需要逻辑规则和上帝存在的知识。

在开路先锋培根和迪卡尔的领导之下,400多年来,科学同时沿着这两条途径全速前进。然而,解开自然奥秘的力量既不是培根的经验主义,也不是笛卡尔的教条主义,而是二者成功合作的神奇之作。400多年来,英国科学家倾向于培根哲学,法国科学家倾向于笛卡尔哲学。法拉弟、达尔文和卢瑟福是培根学派;帕斯卡、拉普拉斯和庞加莱是迪卡尔学派。因为这两种对比鲜明的文化的交叉渗透,科学被极大地丰富了。这两种文化一直在这两个国家发挥作用。牛顿在本质上是笛卡尔学派,他用了笛卡尔主义的纯粹思考,并用这种思考推翻了涡流的笛卡尔教条。玛丽•居里在本质上是一位培根学派,她熬沸了几吨的沥青铀矿渣,推翻了原子不可毁性之教条。

在20世纪的数学历史中,有两起决定性事件,一个属于培根学派传统,另一个属于笛卡尔学派传统。第一起事件发生于1900年在巴黎召开的国际数学家大会上,希尔伯特(Hilbert)作大会主题演讲,提出了23个未解决的著名问题,绘制了即将来临的一个世纪的数学航道。希尔伯特本身是一只鸟,高高飞翔在整个数学领地的上空,但他声称,他的问题是给在同一时间只解决一个问题的青蛙们。第二起决定性事件发生在20世纪30年代,数学之鸟——布尔巴基学派(Bourbaki)在法国成立,他们致力于出版一系列能将全部数学框架统一起来的教科书。

在引导数学研究步入硕果累累的方向上,希尔伯特问题取得了巨大成功。部分问题被解决了,部分问题仍悬而未决,但所有这些问题都刺激了数学新思想和新领域的成长。布尔巴基纲领有同等影响,通过带入以前并不存在的逻辑连贯性、推动从具体实例到抽象共性的发展,这个项目改变了下一个50年的数学风格。在布尔巴基学派的格局中,数学是包含在布尔巴基教科书中的抽象结构。教科书之外均不是数学。自从在教科书中消失后,具体实例就不再是数学。布尔巴基纲领是笛卡尔风格的极端表现。通过排除培根学派旅行者们在路旁可能采集到的鲜花,他们缩小了数学的规模。

自然的玩笑

我是一个培根学派的信徒。对我而言,布尔巴基纲领的一个主要不足是错失了一种惊喜元素。布尔巴基纲领努力让数学更有逻辑。当我回顾数学的历史时,我看见不断有非逻辑的跳跃、难以置信的巧合和自然的玩笑。大自然所开的最深刻玩笑之一是负1的平方根,1926年,物理学家埃尔文•薛定谔(Erwin Schrodinger)在发明波动力学时,将这个数放入他的波动方程。

当薛定谔开始思考如何将光学和力学统一时,他就是一只鸟。早在100多年前,借助于描述光学射线和经典粒子轨迹的相同数学,汉密尔顿统一了射线光学和经典力学。薛定谔也希望用同样的方式来统一波动光学和波动力学。当时,波动光学已经存在,但波动力学尚未出现。薛定谔不得不发明波动力学来完成这一统一。开始时,他将波动光学作为一个模型,写下机械粒子的微分方程,但这个方程没有任何意义。这个方程看起来像连续介质中的热传导方程。热传导与粒子力学之间没有可见的相关性。薛定谔的想法看起来没有任何意义。然而,奇迹出现了。薛定谔将负1的平方根放入机械粒子的微分方程,突然间,它就有意义了。突然间,它成为波动方程而不是热传导方程。薛定谔高兴地发现,这个方程的解与玻尔原子模型中的量化轨道相吻合。

结果,薛定谔方程准确描述了我们今天所知原子的每一种行为。这是整个化学和绝大部分物理学的基础。负1的平方根意味着大自然是以复数而不是实数的方式运行。这一发现让薛定谔和其他所有人耳目一新。薛定谔记得,当时,他14岁大的“女朋友”伊萨•荣格尔(Itha Junger)曾对他说:“嗨,开始时,你从来没想过会出现这么多有意义的结果吧?”

在整个19世纪,从阿贝尔(Abel)、黎曼(Riemann)到维尔斯特拉斯(Weierstrass),数学家们一直在创建一个宏大的复变函数理论。他们发现,一旦从实数推进到复数,函数论就变得更深刻更强大。但是,他们一直将复数看作是人造结构,是数学家们从真实生活中发明的一种有用、优雅的抽象概念。他们未曾料到,他们发明的这个人工数字事实上是原子运行的基础。他们从未想象过,这个数字最初是出现在自然界。

大自然所开的第二个玩笑是量子力学的精确线性。事实上,物理对象的各种可能状态构成了一个线性空间。在量子力学被发明之前,经典物理总是非线性的,线性模式只是近似有效。在量子力学之后,大自然本身突然变成了线性。这对数学产生了深刻的影响。19世纪,索菲斯•李(Sophus Lie)发展了他关于连续群的精致理论(elaborate theory),以期弄清楚经典力学系统的行为。当时的数学家和物理学家对李群几乎没有任何兴趣。李群的非线性理论对数学家来说过于复杂,对物理学家来说又过于晦涩。索菲斯•李在失望中离开了人世。50年后,人们发现大自然本身就是线性的,李代数的线性表示竟然是粒子物理的自然语言。作为20世纪数学的中心主题之一,李群和李代数获得了新生。

大自然的第三个玩笑是拟晶体(Quasi-crystals)的存在。19世纪,对晶体的研究导致了对欧几里德空间中可能存在的离散对称群种类的完整列举。人们已经证明:在三维欧几里德空间中,所有离散对称群仅包含3级、4级或6级的旋转。之后,1984年,拟晶体被发现了,从液体金属阵列中长出的真正固体物显示了包含5重旋转的二十面体的对称性。与此同时,数学家罗杰•彭罗斯(Roger Penrose)发现了平面“彭罗斯拼砖法”。拟晶阵列是二维彭罗斯拼砖法的三维模拟。在这些发现之后,数学家不得不扩大晶体群理论,将合金拟晶体包含其中。这是还在发展中的一个重要研究项目。

大自然开的第四个玩笑是拟晶和黎曼ζ函數零点(zeros of the Riemann Zeta function)在行为的相似性。黎曼ζ函數零点令数学家们着迷,因为所有的零点都落在一条直线上,没有人知道这是为什么。著名的黎曼猜想是指:除了平凡的例外,黎曼ζ函数零点都在一条直线上。100多年来,证明黎曼猜想一直是年轻数学家们的梦想。我现在大胆提议:也许可以用拟晶体来证明黎曼猜想。你们中的部分数学家也许认为这个建议无关紧要。那些不是数学家的人可能对这个建议不感兴趣。然而,我将这个问题放到你们面前,希望你们严肃思考。年轻时的物理学家里奥•齐拉特(Leo Szilard)不满意摩西的十条诫命,写了新十诫来替换它们。齐拉特的第二条诫律说:“行动起来,向有价值的目标前进,不问这些目标是否能达到:行动是模范和例子,而不是终结。” 齐拉特践行了他的理论。他是第一个想象出核武器的物理学家,也是第一个积极以行动反对核武器使用的物理学家。他的第二条诫律也适用于这里。黎明猜想的证明是一个值得为之的目标,我们不应该问这个目标是否能实现。我将给你们一些这个目标可以实现的暗示。我将给数学家们一些建议,这是我在50年前成为一名物理学家之前获得的忠告。我先谈黎明猜想,再谈拟晶体。

直到最近,纯数学领域还有两个未解决的超级问题:费马大定理的证明和黎曼猜想的证明。12年前,我在普林斯顿的同事安德鲁•怀尔斯(Andrew Wiles)证明了费马大定理,如今,只剩下黎曼猜想有待证明。怀尔斯对费马大定理的证明不只是一个技术绝技,它的证明还需要发现和探索数学思想的新领域,这比费马大定理本身更辽阔更重要。正因如此,对黎曼猜想的证明也将导致对数学甚至物理学诸多不同领域的深刻认识。黎曼ζ函數和其他ζ函數也类似,它们在数论、动力系统、几何学、函数论和物理学中普遍存在。ζ函數仿佛是通向各方路径的交叉结合点。对黎曼猜想的证明将阐明所有这些关联。就像每一位纯数学领域里严肃的学生一样,我年轻时的梦想是证明黎曼猜想。我有一些模糊不清的想法,认为可以引导自己证明这个猜想。最近几年,在拟晶体被发现后,我的想法不再模糊。我在这里把它们呈现给有雄心壮志赢得菲尔茨奖的年轻数学家们。

拟晶体存在于一维、二维和三维空间。从物理学的角度看,三维拟晶体最为有趣,因为它们栖息于我们的三维世界,可以通过实验加以研究。从数学家的角度来看,一维拟晶体比二维和三维拟晶体更为有趣,因为它们种类繁多。数学家这样定义拟晶体:一个拟晶体是离散点群的分布,它们的傅立叶变换是离散点频率。或简而言之,一个拟晶体是一个有纯点谱的纯点分布。这个定义包括了作为特例的普通晶体,它们是拥有周期谱的周期分布。

将普通晶体排除在外,三维中的拟晶体只有极为有限的变形,它们均与二十面体有关。二维拟晶体数目众多,粗略地讲,一个独特的类型与平面上每个正多边形都相关联。含五边 形对称的二维拟晶体是著名的平面彭罗斯拼砖。最后,一维拟晶体有更为丰富的结构,因为它们不受制于任何旋转对称。就我所知,目前还没有对一维拟晶体存在情况的全数调查。现已知,一种独特拟晶体的存在与每个皮索特-维贡伊拉卡文数(pisot Vijayaraghavan number)或PV数对应。一个PV数是一个真正的代数整数,是有整数系数(integer coefficients)多项式方程的根,其他所有根的绝对值都有小于1的绝对值。全部PV数的集合是无限的,并有非凡的拓扑结构。所有一维拟晶体的集合都有一种结构,其丰富程度可与所有的PV数集合相比,甚至更丰富。我们并不确切地知道,一个由与PV数没有关联的一维拟晶体构成的大世界正等待探索。

现在谈一维准晶体与黎曼猜想的联系。如果黎曼猜想是正确的,那么根据定义,ζ函數零点就会形成一个一维拟晶体。它们在一条直线上构成了点质量(point masses)的一个分布,它们的傅利叶变化同样也是一个点质量分布,前者的点质量位于每个素数的对数处,其傅里叶变换点质量位于每个素数的幂的对数处。我的朋友安德鲁•奥德泽科(Andrew Odlyzko)发表了一个漂亮的ζ函數零点的傅利叶变换的计算机运算。这个运算精确地显示了傅利叶变换的预期结构,在每一个素数或素数的幂的对数上有明显的间断性。

我的推测如下。假设我们并不知道黎曼猜想是否正确。我们从另一个角度来解决问题。我们努力获得一维拟晶体的一个全数调查和分类。这就是说,我们列举和分类拥有离散点谱的所有点分布。对新对象的收集和分类是典型的培根归纳活动。这也是适合于青蛙型数学家的活动。然后,我们发现众所周知的与PV数相关的拟晶体,以及其它已知或未知的拟晶体世界。在其它众多的拟晶体中,我们寻找一个与黎曼ζ函數相对应的拟晶体,寻找一个与其它类似黎曼ζ函數的每个ζ函數相对应的拟晶体。假设我们在拟晶体细目表中找到了一个拟晶体,其性质等同于黎曼ζ函數零点。然后,我们证明了黎曼猜想,等待宣布菲尔茨奖的电话。

这是一种妄想。对一维准晶体进行分类极其困难,其困难程度不压于安德鲁•怀尔斯花7年时间所解决的问题。但是,如果我们以培根主义者的观点来看,数学的历史就是骇人听闻的困难问题被初生牛犊不怕虎的年轻人干掉的历史。对拟晶体分类是一个值得为之的目标,甚至是可以实现的目标。这个问题的困难程度不是像我这样的老人能解决的,我将这个问题作一个练习留给听众中的年轻青蛙们。

艾布拉姆•贝塞克维奇和赫尔曼•外尔

现在,我介绍我所知道的几位著名的鸟和青蛙。

1941年,我作为一名学生来到英国剑桥大学,极其幸运地受教于俄罗斯数学家艾伯拉姆•萨莫罗维奇•伯西柯维奇(Abram Samoilovich Besicovitch)。时值第二次世界大战,剑桥只有很少的学生,几乎没有研究生。尽管当时我只有17岁,而伯西柯维奇已是一位著名教授,但是,他给了我相当多的时间和关注,我们成为终身朋友。在我开始从事和思考数学时,他塑造了我的性格。他在测量理论和积分方面上了许多精彩的课程,在我们因他大胆地滥用英语而哈哈大笑时,他只是亲切地笑笑。我记得仅有一次,他被我们之间的玩笑惹怒。在沉默了一会后,他说:“先生们,有5000万英国人讲你们所讲的英文。有1.5亿俄罗斯人讲我所讲的英文。”

伯西柯维奇是一只青蛙,年轻时,因解决一个名为挂谷问题(Kakeya Problem)的初等本平面几何问题而出名。挂谷问题是这样描述的:让一条长度为1的线段按360度的角度在一个平面上自由转动,这条线扫过的最小面积是多少?日本数学家挂谷宗一(Soichi Kakeya)在1917年提出这个问题,并成为之后十年内未解决的著名问题。当时,美国数学界领袖乔治•伯克霍夫(George Birkhoff)公开声称,挂谷问题和四色问题是最著名的未解决问题。数学家们普遍相信,最小的面积应该是π/8,即棒在三尖点内摆线的面积(three-cusped hypocycloid)。三尖点内摆线是一条优美的三尖点曲线,它是一个半径为四分之一的小圆圈在一个半径为四分之三的定圆内滑动时,动圆圆周上的一个点所绘制的轨迹。长度为1的线段在旋转时始终与内摆线相切,它的两端也在内摆线上。一条线段在旋转时与内摆线的三个点相切,这是一幅多么优美的画,绝大多数人相信它一定给出了最小面积。然后,伯西柯维奇给了大家一个惊喜:他证明,对任何正∈(positive ∈)来说,这一线段在旋转时所扫过的面积小于∈。

实际上,在挂谷问题成为著名问题之前,伯西柯维奇已经在1920年解决了这个问题,但在当时,伯西柯维奇本人甚至不知道挂谷提出了这个问题。1920年,他将解决方案用俄文发表在《彼尔姆物理和数学学会期刊》(Journal of the Perm Physics and Mathematics Society)上,这是一份不被广泛阅读的期刊。彼尔姆大学位于距离莫斯科东面1100公里的彼尔姆城,在俄罗斯革命之后,这个城市成为许多著名数学家的短暂避难所。他们出版了两期《彼尔姆物理和数学学会期刊》,之后,期刊便在革命和内战的混乱中停刊了。在俄罗斯之外,这份期刊不仅不为人知,而且不可获取。1925年,伯西柯维奇离开俄罗斯,来到哥本哈根,并在这里获知到他已经在5年前解决的著名挂谷问题。他将解决方案重新出版,这一次,论文用英文发表在德国著名的《数学期刊》(Mathematische Zeitschrift)上。正如伯西柯维奇所说,挂谷问题是一个典型的青蛙问题,一个与数学的其它方面没有太多联系的具体问题。伯西柯维奇给出了一个优雅、深刻的解决方案,揭示出它与平面中点集结构的一般定理之间的联系。

伯西柯维奇的风格体现在他的三篇最好的经典文章中,这些文章的标题是:“平面点集之线性可测量的基本几何性质”(On the fundamental geometric properties),它们分别发表在1928年、1938年和1939年的《数学年鉴》(Mathematische Annalen)上。在这些论文中,他证明:平面上的每个线性可测量集可被分解为有规则和无规则的分支,规则分支在每个地方几乎都有一个切线,而无规律分支都有一个零测量投射向几乎所有方向。简而言之,规则分支看起来像连续曲线,而无规则分支看起来不像连续曲线。无规则分支的存在和性质与挂谷问题的伯西柯维奇解有联系。他给我的工作之一是,在高维空间中将可测量集分为规则分支组件和无规则分支。虽然我在这个问题上一事无成,却永远被烙上了伯西柯维奇风格。伯西柯维奇风格是建筑学风格。他用简单元素建造出精美、复杂的建筑结构,通常情况下有层次计划;当大厦建成时,通过简单的论证就可从完整结构中推导出意外的结论。伯西柯维奇的每项工作都是一件艺术品,像巴赫的赋格曲一样精心构成。

在跟随伯西柯维奇做了几年的学生后,我来到美国普林斯顿,认识了赫尔曼•外尔(Hermann Weyl)。外尔是一只典型的鸟,正如伯西柯维奇是一只典型的青蛙。幸运的是,在外尔退休回到位于苏黎世的老家之前,我在普林斯顿高等研究所与他有一年的相处时间。他喜欢我,因为在这一年间,我在《数学年鉴》(Annals of Mathematics)上发表了有关数论的论文,在《物理评论》(Physics Review)上发表了量子辐射理论的论文。他是当时活在世上的少数几位同时精通这两领域的专家之一。他欢迎我到普林斯顿研究所,希望我像他一样成为一只鸟。他失望了,我始终是一只固执的青蛙。尽管我总是在各种各样的泥洞附近闲逛,我一次只能关注一个问题,没有寻找问题之间的联系。对我而言,数论和量子理论是拥有各自美丽的两个世界。我不像外尔一样去发现构建大设计的线索。

外尔对量子辐射理论的伟大贡献是他发明了规范场。规范场的想法有一段奇特历史。1918年,在他统一广义相对论和电磁学的理论中,他作为古典场论发明了它们,并称之为“规范场”,因为它们关系到长度测量的不可积分性。他的统一理论立即遭到爱因斯坦的公开拒绝,经历了这个来自高层的霹雳之后,外尔并没有放弃他的理论,只是进入别的领域。这个的理论没有可验证的实验结果。1929年,在量子理论被其他人发明后,外尔意识到与经典世界相比,他的规范场论更适合于量子世界,而他将经典场论转化为量子场论所做的事,就是将实数转化为复数。在量子力学中,每个电荷的量子伴随一个有相位的复杂波函数,并且规范场涉及相位测量的不可积分性有关。规范场可以精确地与电磁势等同,电荷守恒定律成为局部规范不变性理论的推论。

从普林斯顿回到苏黎世4年后,外尔去世了,我应《自然》之邀为他撰写讣告。“在20世纪开始从事其数学生涯的所有活着的数学家中,”我写道,“赫尔曼•怀尔是在最多的不同领域做出了重大贡献的人物之一。他堪与19世纪最伟大的全能数学家希尔伯特和庞加莱相提并论。活着的时候,他生动地体现了纯数学与理论物理前沿的联系。现在,他去世了,这种联系中断了,我们期望直接借助于创造性的数学想象来理解物质世界的时代结束了。”我哀伤于他的逝世,但我并不希望追随他的梦想。我高兴地看到纯数学和物理学在向截然相反的方向前进。

讣告以外尔为人的概述结束:“外尔的性格是一种审美感,这主导了他对所有问题的思考。有一次,他曾半开玩笑地对我说,‘我的工作总是努力将真与美统一起来;但是,如果只能选择其中之一,那么我选择美。’这段话是对他个性的完美概括,表明他对自然终极和谐的深刻信念,自然的规律必将以数学美的形式呈现出来。这表明他对人类弱点的认识,他的幽默总会让他不至于显得傲慢自大。他在普林斯顿的朋友还记得我最后一次见他的模样:那是去年四月在普林斯顿高等研究院举行的春之舞会上:一个高大、和蔼、快乐的人,尽情地自我享受,他明朗的身架和轻快的步伐让人一点看不出他已经69岁。”

外尔逝世后的五十年是实验物理和观察天文学的黄金时代,也培根学派旅行者收集事实、青蛙们在我们生存的小片沼泽地上探索的黄金时代。在这50年中,青蛙们积累了大量的有关宇宙结构、众多粒子和其间相互作用的详尽知识。在持续探索新领域的同时,宇宙变得越来越复杂。不再是展现外尔数学简洁和美丽的大设计 ,探索者发现了夸克和伽玛射线爆等奇异事件,以及超对称和多重宇宙等新奇概念。与此同时,在持续探索混沌和许多被电子计算机打开的新领域时,数学在变得越来越复杂。数学家发现了可计算性的中心谜团,这个猜想表示为P不等于NP。这个猜想声称:存在这样的数学问题,它的个案可以被很快解决,但没有适用于所有情形的快速算法可解决所有问题。这个问题中最著名的例子是旅行销售员问题,即在知道每两个城市之间距离的前提下,寻找这位销售员在这一系列城市间旅行的最短路径。所有的专家都相信这是猜想是正确的,旅行销售员的问题是P不等于NP的实际问题。但没有人知道证明这一问题的一点线索。在赫尔曼•外尔19世纪的数学世界中,这个谜团甚至还没有形成。

杨振宁和尤里•曼宁

对鸟们来说,最近五十年是艰难时光。然而,即使在艰难时代,也有事情等着鸟们去做,他们勇敢地去解决这些事情。在赫尔曼•外尔离开普林斯顿后不久,杨振宁(Frank Yang)从芝加哥来到普林斯顿,搬进了外尔的旧居,在我这一代的物理学家中,他接替外尔的位置成为一只领头鸟。在外尔还活着时,杨振宁和他的学生罗伯特•米尔斯(Robert Mills)发现了非阿贝尔规范场(non-Abelian gauge fields)的杨—米尔斯理论,这是外尔规范场思想的一个漂亮外推。外尔的规范场是一个经典数量,满足了乘法交换定律。杨-米尔斯理论有一个不交换的三重规范场(triplet of gauge fields)。它们满足量子力学自旋三分量的交换法则,这是最简单的非阿贝尔躺代数A2(non-abelian lie algebra A2)的生成子。这个理论后来如此普遍,以至规范场论成为任何有限元李代数的生成子。有了这种普遍性,杨—米尔斯规范场理论为所有已知粒子和其相互作用提供了一个模型框架,这个模型就是今天粒子物理学的标准模型。通过证明爱因斯坦的重力场论适合于同样的框架,以克里斯托夫三指标符号规取代范场的作用,杨振宁为这个理论上写下点睛之笔。

在他1918年一篇论文的附录里,加上1955年为庆祝他70岁生日而出版的论文选集中,外尔阐述了他对规范场理论的最后想法(这是我的翻译):“对我的理论最强有力的辩护应该是:规范场不变性与电荷守恒相关,正如坐标不变性与能量动量守恒的相关性。”30年后,杨振宁来到瑞士苏黎世,参加外尔百岁诞辰庆典。杨振宁在演讲中引用这段话,作为外尔提出将规范场不变性作为物理学统一原理的思想证据。杨振宁继续说:“通过理论和实验的发展,今天我们已经认识到:对称性、李群和规范场不变性在确定物质世界的基本作用力中发挥了至关重要的作用。我将之称为对称支配相互作用基本原理。”对称支配相互作用的观点,是杨振宁对外尔言论的概括。外尔发现规范场不变性与物质守恒定律有密切关系。但他只能走这一步,不能走得太远,因为他只知道可交换为阿贝尔域的规范场不变性。借助于非阿贝尔规范场产生的非平凡李代数,场之间形成的相互作用变得独特,因此,对称性支配相互作用。这是杨振宁对物理学的伟大贡献。这是一只鸟的贡献,它高高地飞翔在诸多小问题构成的热带雨林之上,我们中的绝大多数在这些小问题耗尽了一生的时光。

我深深敬重的另一只鸟是俄罗斯数学家尤里•曼宁(Yuri Manin),他最近出版了一本名为《数学如隐喻》(Mathematics as Metaphor)的随笔。这本书以俄文在莫斯科出版,美国数学协会将之译为英文出版。我为英文版书作序。在这里,我简单引用我的序言:“对鸟们来说,《数学如隐喻》是一个好口号。它意味着数学中最深刻的概念是将一个世界的思想与另一个世界的思想联系起来。在17世纪,笛卡尔用他的坐标概念将彼此不相干的代数学和几何学联系起来;牛顿用他的流数(fluxions)概念将几何学和力学的世界联系起,今天,我们将这种方法称为微积分学。19世纪,布尔(Boole)用他的符号逻辑(symbolic logic)概念将逻辑与代数联系起来;黎曼用他的黎曼曲面概念将几何和分析的世界联系起来。坐标、流数、符号逻辑和黎曼曲面,都是隐喻,将词的意义从熟悉的语境拓展到陌生的语境。曼宁将数学的未来看成是对可见但仍不可知的隐喻的一个探索。最深刻的一个隐喻是数论和物理学之间在结构上的相似性。在这两个领域中,他看到并行概念诱人的一暼,对称性将连续与离散联结起来。他期待一种名为数学量化(quantization of mathematics)的统一。”

“曼宁不认可培根主义者的故事。1900年,希尔伯特在巴黎的国际数学家大会上提出著名的23个问题,规划了20世纪的数学议程。根据曼宁的观点,希尔伯特的问题是对数学中心议题的一种干扰。曼宁认为数学的重要进展来自纲领,而非问题。通常情况下,问题是通过采用老想法的新方法而得以解决。研究纲领是诞生新想法的苗圃。他认为,以一种更抽象语言重写了整个数学的布尔巴基纲领是20世纪许多新思想的源泉。他将统一了数论和几何学的朗兰兹纲领视为21世纪新思想的希望之泉。解决了著名未解决问题的人会赢得大奖,但只有提出新纲领的人才是真正的先锋。”

俄文版的《数学如隐喻》中有十个篇章在英文版中被删除了。美国数学学会认为,英文读者不会对这些篇章产生兴趣。这种删除是双重不幸。第一,作为一位非凡的数学家,曼宁广博的兴趣远远超越了数学,但英文版读者只能看见观点被拦截的曼宁;第二,我们看见的是观点被截断的俄罗斯文化,相比较于英语言文化,俄罗斯文化没有那么多的分门别类,它让数学家与历史学家、艺术家和诗人有更密切的接触。

约翰•冯•诺伊曼

约翰•冯•诺伊曼(John von Neumann)是20世纪数学中另一位重要人物。冯•诺伊曼是一只青蛙,他用自己惊人的技术技能解决了数学和物理学众多分支领域中的问题。从创立数学的基础开始,他发现了集合论的第一个令人满意的公理集,避免了康托(Cantor)在试图解决无穷集和无穷数时遇到的逻辑悖论。几年后,冯•诺伊曼的鸟类朋友库特•哥德尔(Kurt Godel)用他的公理集证明了数学中的不可判定性命题。

哥德尔的定理让鸟们对数学有了新看法。哥德尔之后,数学不再是与独特真理概念捆绑在一起的单一结构,而是带有不同公理集和不同真理概念的结构群岛。哥德尔证明数学不可穷尽。无论选择怎样的公理集作为基础,鸟们总能找到这些公理不能回答的问题。

冯•诺伊曼从数学基础的奠定迈向了量子力学基础的奠定。为了给量子力学一个坚实的数学基础,他创立了一个宏大的算子环理论(theory of rings of operator)。每个可观察量都可以由一个线性算子来代表,量子行为的特殊性可由算术代数忠实地代表。正如牛顿发明了描述经典力学的微积分,冯•诺伊曼发明了描述量子力学的算子环理论。

冯•诺伊曼在几个领域做出了奠基性贡献,特别是从博弈论到数字计算机的设计。在他生命的最后十年里,他深深了陷到计算机里。他对计算机的兴趣如此强烈,以至决定不仅要研究它们的设计,而且还要用真正的硬件和软件构建一台可做科学研究的计算机。我对冯•诺伊曼在普林斯顿高等研究所的早期计算机有生动清晰的记忆。那时,他有两个主要的科学兴趣:氢弹和气象学。夜晚,他用计算机做氢弹问题,白天,则做气象学问题。白天,游荡在计算机大楼里的许多人都是气象学家,他们的领导是朱尔•查耐(Jule Charney)。查耐是一位真正的气象学家,妥善谦卑地讨论天气变幻莫测的神秘,怀疑计算机解决这个神秘的能力。我听过冯•诺伊曼以这个问题为主题的一次演讲。如往常一样,他充满自信地说:“计算机将使我们能够在任何时刻将大气划分为稳定域和不稳定域。我们可以预测稳定域,我们能够控制不稳定域。”

冯•诺伊曼相信,任何不稳定域都可以通过明智而审慎的小扰动来推动,推动它向任何所期望的方向移动。小扰动可以通过携带烟雾发生器的飞机舰队来实施,在扰动效果最佳的地方吸收太阳光,提高或降低局部温度。特别是,通过尽早鉴不稳定域,我们能在飓风之初将之停止,然后在该区域气温上升并形成漩涡之前,降低其气温。冯•诺伊曼在1950年指出,只需用十年的时间就能建造足以精确诊断大气中稳定和不稳定区域的强大计算机。一旦能够精确诊断,我们就能在短时间内实施天气控制。他期望能在20世纪60年代的十年中,对天气的实际控制成为常规操作。

冯•诺伊曼当然错了。他错在不知道混沌(chaos)。我们现在明白,当大气运动局部不稳定时,实际上常常是发生了混沌。“混沌”意味着刚开始聚拢在一起运动会随着时间推进而呈指数般离散。当运动成为混沌时,它就不可预测,小扰动不可能将之推向可预测的稳定运动。小扰动通常是将之推向另一种同样不可预测的混沌运动。所以,冯•诺伊曼控制天气的战略思想破产了。最终,他是一位伟大的数学家,但也是一位中庸的气象学家。

1963年,在冯•诺伊曼逝世6年后,爱德华•劳伦兹发现气象方程的解总是混沌。劳伦兹是一位气象学家,通常也被认为是混沌的发现者。他在气象学的背境中发现了混沌现象,并赋予它们一个现代化的名字。事实上,早在1943年在剑桥的一次演讲中,我已听数学家玛丽•卡特赖特描述了同样的现象,比劳伦兹早20年。卡特赖特1998年以97岁高龄逝世,她以不同的名称称呼这种现象,但他们讲述的是同一现象。她是在描述一种非线性放大器振动的范德波尔方程的解中发现了这些现象。范德波尔方程在第二次世界大战中变得重要,因为在早期的雷达系统,非线性放大器要为发报机提供动力。发报机工作不规则时,空军就会责备制造商生产了有缺陷的放大器。玛丽•卡特赖特被请来寻找问题。她发现问题出在在范德波尔方程。她指出,范德波尔方程的解有精确的混沌行为,这正在空军所抱怨的。在我听冯•诺伊曼谈论天气控制之前7年,我已经从玛丽•卡特赖特处得知所有的混沌问题,但我没有远见卓识足以将二者联系起来。我从来不曾想到:范德波尔方程所描述的不规则行为可用于天气预报的研究。如果我是一只鸟而不是一只青蛙,我也许能看出其中的联系,也许就能帮助冯•诺伊曼解决许多麻烦。如果他在1950年就知道混沌,那么他会深入地思考这个问题,并会在1954年就混沌问题谈一些重要的见解。

在走向生命尽头之时,冯•诺伊曼陷入了麻烦。因为他是一只真正的青蛙,但每个人都期望他是一只飞翔的鸟。1954年,国际数学家大会在荷兰阿姆斯特丹举行。国际数学家大会每四年举办一次,应邀在大会开幕式上作演讲是一个崇高的荣誉。阿姆斯特丹大会的组织者邀请冯•诺伊曼作大会主题演讲,希望能再现希尔伯特1990年在巴黎大会上的盛况。正如希尔伯特提出的未解决问题指引了20世纪前半叶的数学发展,冯•诺伊曼应邀为20世纪后半叶的数学指点江山。冯•诺伊曼演讲的题目已经在大会纲要中公布了。它是:《数学中未解决的问题——大会组委会邀请演讲》。然而,会议结束后,包含所有演讲内容的完整会议记录出版了,除了冯•诺伊曼的这篇演讲之外。会议记录中有一空白页,上面只写着冯•诺伊曼的名字和演讲题目,下面写着:“演讲文稿尚未获取。”

究竟发生了什么事?我知道所发生的事情,因为1954年9月2日,星期四,下午3:00,我正坐在阿姆斯特丹音乐厅的听众席上。大厅里挤满了数学家,所有人都期望在这样一个历史时刻聆听一个精彩绝伦的演讲。演讲结果却是令人非常失望。冯•诺伊曼可能在几年前就接受邀请做这样一个演讲,然后将之忘到九宵云外。诸事缠身,他忽略了准备演讲之事。然后,在最一刻,他想起来他将旅行到阿姆斯特丹,谈一些有关数学的事;他拉开一个抽屉,从中抽出一份20世纪30年代的老演讲稿,弹掉上面灰尘。 这是一个有关算子环的演讲,在30年代是一个全新、时髦的话题。没有谈任何未解决的问题,没有谈任何未来的问题。没有谈任何计算机,我们知道这是冯•诺伊曼心中最亲爱的话题,他至少应该谈一些有关计算机的新的、激动人心的事。音乐厅里的听众开始变得焦躁不安。有人用全音乐厅里的人都能听见的声音大声说:“Aufgewarmte suppe”,这是一句德国,意思是“先将汤加热(warmed-up soup)”。1954年,绝大多数数学家都懂德语,他们明白这句玩笑的意思。冯•诺伊曼陷入深深的尴尬,匆匆结束演讲,没有等待任何提问就离开了音乐厅。

弱混沌

如果冯•诺伊曼在阿姆斯特丹演讲时对混沌略有了解,那么他可能提出的未解决问题之一应该是弱混沌。50多年后的今天,弱混沌依然是尚未解决的问题。这个问题是要明白为什么混沌运动常常受到边界约束,不会引发任何猛烈的动荡。弱混沌的一个好例子是太阳系中行星和卫星的轨道运动。科学家们最近发现,这些运动是弱混沌。这是一个令人震惊的发现,颠覆了太阳系作为有序稳定运动最好例证的传统概念。200年前,法国天文学家、数学家拉普拉斯(Laplace)认为,他已经证明了太阳系是稳定的。现在看来拉普拉斯错了。轨道的精确数值积分清楚地显示,相邻轨道呈现指数级偏离。在经典力学的世界里,弱混沌似乎无处不在。

在长期积分(long-term integration)做出来之前,人们从未想象过太阳系中的混沌行为,因为这种混沌是弱的。弱混沌意味着相邻轨道呈指数级离散,却不会离散得太远。这种离散开始时以指数级速度增长,但随后就维持在边界处。因为行星运动的离散是弱的,所以太阳系能在40亿多年的时光里得以生存。尽管这种运动是混沌的,但行星从来不会在远离它们所熟悉的地区漫游,因此,太阳系作为一个整体从来不曾分崩离析。尽管混沌无处不在,但拉普拉斯将太阳系当作像时钟运动一样完美的观点离事实并不遥远。

在气象学领域,我们看到了相同的弱混沌现象。尽管新泽西的天气糟糕地混沌,但这种混沌严格有限。夏天和冬天有着不可预测的温和或严厉,我们却能可靠地预测:气温绝对不会升至45摄氏度或低到零下30摄氏度,这是经常出现在印度和明尼苏达的极端情况。物理学中没有守恒定律禁止新泽西的气温不可以升至印度一样的温度,或禁止新泽西的气温不能降低到明尼苏达的气温。混沌的弱点成为这个星球上生命长期生存的关键。弱混沌在赋予我们各种挑战性天气的能力的同时,也保护我们不致遭受危及我们生存的剧烈温差波动。我们还不能理解混沌保持这种仁慈之弱的原因。这是今天在座的年轻青蛙们可以带回家的另一个未解决问题。我挑战你们弄明白这个问题:为什么在各种动力系统中观察到的混沌均是普遍微弱。

混沌的特征已被众多的数据和无止境的美丽图片所勾勒,但却缺少严格理论。严谨理论赋予一个课题以智力的深度和精确。在你能证明一个严格理论之前,你不可能全面理解你所关注的概念的意义。在混沌领域,我知道只有一个严格理论在1975年被李天岩(Tien-Yien Li)和吉姆• 约克(Jim Yorke)所证明,这篇短论文的题目是:《周期三蕴含混沌》(Period Three Implies Chaos)。李-约克论文是数学文献中不朽的珍宝。他们的理论将非线性地图的区间扩展至它本身。当被当作是一个经典粒子的轨道时,点位置的连续性就能重复。如果一个点在N次映像之后又回到它原始的位置,那么这个轨道就有N个周期。由此而论,如果一个轨道从所有的周期轨道中离散,那么这个轨道就被定义为混沌。这个理论表明,如果单个轨道拥有三个存在周期,那么混沌轨道就是存在的。这个证明简洁、短小。在我的印象里,这个理论和它的证明投向混沌基本特征的光芒胜过几千张美丽图片。它解释了混沌为什么在这个世界里普遍存在,但没有解释混沌为什么总是这样弱,这是留给未来的一个任务。我相信,在证明有关弱混沌的严谨定理之前,我们是不会从根本上理解弱混沌。


弦理论家

我想在弦理论上讲几句。只讲几句,是因为我对弦理论知之甚少。我从来没有劳心费神地学习这个理论,或自己花功夫去研究它。但是,当我在普林斯顿研究所有一个家时,我周围环绕着弦理论专家,我有时能听到他们之间的谈话。偶尔,我也能明白一点点他们谈话的内容。有三件事情是显而易见:第一,他们正在做第一流的数学,从而让迈克尔•阿蒂亚(Michael Atiyah)、伊萨多•辛格(Isadore Singer)这样的领袖级纯数学家也爱上弦理论,它开启了一个有新想法和新问题的全新数学分枝,最不寻常的是,它赋予数学一种解决老问题的新方法,这些老问题以前是不能解决的;第二,这些弦理论学家认为自己是物理学家而非数学家。他们相信自己的理论描述了物质世界的一些真实东西;第三,还没有任何证明显示这个理论与物理学相关。这个理论至今尚未被实验所证明。这个理论还在它自己的世界里,远离物理学。弦理论学家们付出艰苦努力,试图演绎这个可能在真实世界里被检验的理论的结果,但至今尚未成功。

我的同事爱德华•威腾(Ed Witten)、胡安•马尔达西那(Juan Maldacena)和其他创建弦理论的人,都是鸟,他们飞翔在高高的天空,俯览远隔千里的众山全貌。在世界各地的大学里,几千名在弦理论上埋头苦干的谦卑实践者是青蛙,他们探索那些鸟们在地平线上第一次看到的数学结构的细节。我对弦理论的忧虑是从社会学角度而不是科学角度。成为发现新联系和探求新方法的第一批几千名弦理论学家之一,这是一个光荣的事;但成为第二批或万名弦理论学家之一,则不是一件光荣的事。今天,世界各地分布着上万名弦理论学家。对第1万名或第2000名科学家来说,情形是危险的。不可预测事情可能会发生,比如形势变化,弦理论不再时髦。这样的事情也可能发生:9000名弦理论学家可能会失业。他们在一个狭窄的领域接受训练,在其它科学领域可能无法被聘用。

为什么如此之多的年轻人被弦理论所吸引?这种吸引部分可能是智力因素。弦理论如此大胆、在数学上如此高贵。但这种吸引也可能是社会因素。弦理论吸引人的原因是它能提供职位。那么,为什么弦理论领域能提供这么多的职位呢?因为弦理论是廉价的。如果你是某个偏远地方的大学物理学主任,没有多少钱,你无法承担建造一个做物理实验的现代化实验室,但你有能力聘请几位弦理论学家,因此,你提供了几个弦理论的职位,这样,你就拥有了一个现代化的物理系。对提供职位的系主任而言、对接受这些职位的年轻人而言,这是多么大的吸引力!然而,对年轻人和科学的未来而言,这是危险有害的情形。我并不是说我们应该在年轻人发现弦理论激动人心时劝阻他们不要从事这项研究。我的意思是我们应该给他们可替代的选择,让他们不致于因经济需求而被迫进入弦理论。

最后,我想谈谈我对弦理论未来的推测。我的推测可能是错的。我从来没有幻想过我能预测未来。我告诉你们我的推测,只是想给你们一些思考的问题。我认为,弦理论不可能完全成功或完全无用。所谓完全成功,我的意思是它是一种完全(完整?)的物理理论,解释了粒子和其间相互作用的所有细节。所谓完全的无用,我的意思是它保留了一种纯数学的美丽。我的推测是,弦理论将在完全成功与完全失败之间的某一处终结。我认为它应该类似于李群,这是索菲斯•李(Sophus Lie)在19世纪为经典物理创建的一个数学框架。所以,只要物理学保持其经典性,李群就是一个失败。它们是一个寻找问题的解决方案。但另一方面,五十年后,量子革命改变了物理学,李代数找到用武之地:成为认识量子世界对称性中心作用的关键。我期望今后五十年或一百年中,物理学的另一场革命会引入我们今天一无所知的新概念,这些新概念将赋予弦理论一种全新的意义。在此之后,弦理论会突然发现自己在宇宙中应有的位置,提出对真实世界可经测试的陈述。我警告你们:这个有关未来的猜测可能是错的,它本身具有证伪性的美德,(科学哲学大师)卡尔 波普尔(karl Popper)说,这正是科学命题的特点。 明天,它可能会被来自大型强子对撞机的新发现所推翻。

再谈曼宁

在结束这个演讲之际,我再回到曼宁和他的书《数学如隐喻》。这本书主要谈数学,但它也许会让西方读者感到吃惊,因为作者用同样的文才描述了其它主题,比如集体无意识、人类语言的起源、孤独症心理学、魔术师在诸多神话文化里的作用。对他的俄罗斯的同胞来说,如此丰富的兴趣专长并不令人惊讶。俄罗斯知识分子保持了老俄罗斯知识阶层的骄傲传统,科学家、诗人、艺术家和音乐家属于一个独立阶层。今天依然如此,我们在契诃夫的戏剧中看见他们:一群理想主义者因疏远迷信的社会和反复无常的政府而联结在一起。在俄罗斯,数学家、作曲家和电影制片人倾心交谈,一同走在冬夜的雪地里,围坐在一瓶酒的周围,分享着彼此的思想。

曼宁是一只鸟,他的视野超越了数学疆界进入了更广阔的人类文化地貌。他的兴趣爱好之一是瑞士心理学家卡尔•荣格(C.G荣格1875年7月26日——1961年6月6日,瑞士著名的心理学家和分析心理学的创始人。)发明的原型理论。荣格认为,原型是一种根植于一种我们共同分享的集体无意识之中的精神意象。原型所拥有的这种强烈感情是已经丢失的集体悲欢喜乐记忆的遗迹。曼宁说,为了寻找这种理论的启发性,我们不必将荣格的理论作为一种真理来接受。

三十多年前,歌手莫尼克 莫瑞利(Monique Morelli)录制了一盘皮埃尔 迈克奥兰(Pierre Macorlan)作词的唱片。其中一首歌是《死城》(La ville Morte),萦绕于心的旋律切合着莫瑞利深沉的低音,随着歌声的对位,一个具有强烈冲击力的死城形象生动地出现了。歌声并没有特殊之处:

“当我们走进这座死城,我的手牵着玛戈特……我们带着受伤的脚从墓地中走出,沉默无言,走过这些没有上锁的门,这些模模糊糊可以瞥见的洞,我们走过这些门,沉默无言,垃圾埇里充满惊声尖叫。”

每次聆听这首歌,我的情感都极为强烈。我常常问自己:为什么这首歌的简单歌词似乎与一些深厚的无意识记忆产生了共鸣?那些死亡的灵魂似乎通过莫瑞利的歌声在述说。现在,意料之外,我在曼宁的书中找到了答案。在“空城原型”一章中,曼宁描述了从古至今,从人类聚集在城市开始,从人类聚集成军队去蹂躏它们开始,死城原型如何在建筑学、文学、艺术和电影的创作中反复出现。在迈克奥兰歌词中,一位述说主角是一位占领军中的老兵,当他与妻子穿过那座尘埃满布的死城时,他听到了更多:“在一个时辰的时间里,在一个老兵梦里,神奇号角声复活了。。”

迈克奥兰的歌词和莫瑞斯的歌声好像唤醒了来自我们集体无意识的一个梦,一位在死城中穿越的老兵的梦。像死城的概念一样,集体无意识的概念可能就是一个神话。曼宁的篇章描绘了这两个可能的神秘概念投向彼此的隐晦之光。他将集体无意识描述为一种无理性力量,这种强大的力量将我们拉向死亡和毁灭。死亡之城的原型是自从城市和抢劫军队出现后,几百座真正被毁灭的城市的痛苦的升华。我们逃离疯狂的集体无意识的唯一方法是基于希望和理性的理智集体意识。我们今天文明面临的伟大任务是创建这样一个集体意识。(完)(译者说明:在翻译后本文后,我请一位数学家朋友帮助校译,他推荐了发表在2010年第一卷《数学译林》上的一篇译文“飞鸟与青蛙”,文章的译者是赵振江,校译是陆柱家。我根据这篇译文对自己的译文进行了校译,特别是其中的数学术语部分,特此说明。)


 

戴森传奇——从数论、QED到科普写作大师(上)

 

作者简介:林开亮,首都师范大学数学博士,目前任教于西北农林科技大学理学院。

 

原文出处:本文原载于《数理人文》杂志第9期(2016年),简体中文版刊载于“数理人文”微信订阅号,未经授权不得转载。

 

戴森,摄于2005年(维基)

 

我人生中最重要的三件事,依序是:家庭、朋友和工作。所以我最大的贡献是养育六个儿女,他们都在不同领域事业有成,也都已成家。我自己的工作则没那么重要,而且我身为作家的工作成就,或许还比我作为科学家的成就重要。—— 戴森,2012年11月21日致笔者函

 

戴森(Freeman Dyson)的名字对中国人而言应该不陌生。作为杰出的作家,他拥有广泛的读者,已有多部著作被迻译成中文(参见附录“戴森至今的科普书籍列表”),其中处女作《宇宙波澜》(Disturbing the Universe)甚至有三个中译本,而邱显正的译本更在2002年荣获台湾吴大猷学术基金会颁发的首届“吴大猷科普著作奖”。想必许多读者都为戴森的文笔所吸引,但对于他作为数学家和物理学家的身份却未必了解。本文将尝试解读这位集科学才能与人文修养于一身的大家。

现年93岁的戴森仍笔耕不辍且持续做研究,包括纯数学方面的有趣工作。十多年前,戴森曾应南开大学数学所葛墨林教授之邀访问中国,并游览了北京和古城西安。中国悠久的文化与快速的发展,让他留下深刻的印象,并对中国在世界舞台上将扮演的角色寄予厚望。此点反映在他于2013年7月26日回复给老友杨振宁的邮件中:

 

你写道,当我们年轻时,研究的重心从欧洲转移到美国。然而此刻我看到了21世纪一项最重要的事实,即世界舞台的中心将从美国转移到中国。你可以因为有幸先后为这两大转变做出贡献而骄傲。留给我们儿孙辈的主要任务是,要见证这个转变和平地发生。…… 我常常想起你的美文“父亲和我” [1]。令尊【注: 杨振宁父亲杨武之是数学家暨数学教育家,1928年在芝加哥大学代数与数论专家迪克森(L.E. Dickson)指导下获博士学位,是中国传播近代数学的先驱】也必定会为之骄傲。

 

 

英才少年

 

戴森1923年12月15日生于英国。 母亲雅特琪(Mildred L. Atkey)是律师,40岁生下爱丽丝·戴森(Alice Dyson),43岁生下戴森,之后一直以社会工作为职。父亲乔治·戴森(George Dyson)是音乐家,曾任教英国历史悠久的温彻斯特公学(Winchester College),后来升任伦敦皇家音乐学院院长。乔治对科学很有兴趣,书架上陈列众多科学书籍,如怀德海(Alfred. N. Whitehead)、 爱丁顿(Arthur Eddington)、金斯(James Jeans)、霍格本(Lancelot Hogben)和霍尔丹(John. B. S. Haldane)的作品。戴森从小就接触科学,但他认为,在成为科学家之前,他早就是作家了,因为他九岁时就创作了一篇科幻小说。这篇未完成的处女作,后来收入通俗文集《从爱神到盖娅》(From Eros to Gaia)中。

 

(左)凡尔纳。(Félix Nadar 摄)(右)法国画家 Paul D. Philippoteaux 绘製、Charles Laplante 镌刻的《太阳系历险记》插图。场景包括在太空中见到欧洲、俄国、法国;土星和卫星;漂浮的人物。引起19世纪读者对外太空的想像与热情。(维基)

戴森小时候非常迷恋凡尔纳(Jules Verne)创作于1877年的《太阳系历险记》(Hector Servadac)。他一直以为这是真实故事,日后发现原来“一切纯属编造” 时非常失望。不过,凡尔纳的科幻风格激发了戴森童年时期的写作。

戴森幼年即展现非凡的数学才能。他在为《科学的面孔》(Faces of Science)[2]所写的简短自传中讲述了一个故事。当他还小,躺在婴儿床睡午觉。有一天他不想睡,就用计算打发时间。他先算

1+1/2+1/4+1/8+1/16+…

发现最终得数为2。然后,他又计算

1+1/3+1/9+1/27+1/81+…

发现最终得数为3/2 。他再计算

1+1/4+1/16+1/64+1/256+…

发现最终得数为4/3。换句话说,他发现了无穷级数。当时他没有跟任何人说起这个奇妙的经历,觉得这仅仅是他喜欢的一个游戏。

1936年,戴森通过竞争激烈的考试,升上父亲执教的温彻斯特公学,直至1941年毕业。他与隆科希金斯兄弟(Christopher Longuet-Higgins、Michael Longuet-Higgins)、 莱特希尔(James Lighthill)结成“四人帮”,他们后来都在各自的科学领域拥有卓越的贡献,并皆入选为英国皇家学会会士。克利斯朵夫·隆科希金斯是理论化学家,同时也是音乐认知学家。麦可·隆科希金斯是数学家和海洋学家,曾与几何学家考克斯特(H.S.M. Coxeter)合作过关于均匀多面体的著名论文。莱特希尔是著名的流体力学专家,曾担任狄拉克(Paul Dirac)与霍金(Stephen Hawking)之间的卢卡斯数学讲座教授。

温彻斯特公学不赞成以正式课程逼迫有天赋的孩子提前学习高等数学与科学,认为学生自主学习更好,因而有意放任学生有更多的时间可以自由支配,戴森和其他男孩主要即靠自学。戴森说,“四人帮”之间相互学习的收获,比从老师那里学到的还要多。

在戴森看来,温彻斯特公学设有极好的评奖机制。学校每年针对各年级举行三次竞赛,优胜者可获得30先令,但只能在学校书店里消费。戴森经常在竞赛中获奖,因而拥有自己的藏书。1937年至1940年,他赢得19本书。这些书对他的兴趣发展及智力培养具有决定性作用,有些书甚至成为他一生的珍爱。

其中最具影响的几本是:贝尔(Eric T. Bell)的《数学精英》(Men of Mathematics,[3])、哈代(Godfrey H. Hardy)与莱特(Edward M. Wright)合著的《数论导引》(An Introduction to the Theory of Numbers,[4])、约斯(Georg Joos)的《理论物理》(Theoretical Physics)和拉马努金(Srinivasa Ramanujan)的《数学论文集》(Collected Papers)。

戴森被贝尔的数学科普书《数学精英》深深吸引。他在[2]中曾回忆道:

 

14岁时我读了贝尔的《数学精英》,书中记载了许多伟大数学家的传奇故事。贝尔是加州理工学院的数学教授,同时也是极具天赋的作家。他令人信服地向读者介绍了数学界的精英,擅于打动情感敏锐的青少年心弦。贝尔的书造就了整整一代的年轻数学家。尽管书中许多细节与事实不符,但主要情节是真实的。在贝尔笔下,数学家是有血有肉的人,也会做错事,也有瑕疵。数学俨然成了各式各样的人都能涉足的魔法王国。该书传递给年轻读者的资讯是:“如果他们能做到,你为何不能?” 

 

贝尔的书激发了戴森成为数学家的抱负。他甚至兴起这样的梦想─有一天要证明出著名的黎曼假说(Riemann Hypothesis)。

1939年9月3日,英国首相张伯伦被迫对希特勒宣战,英国加入二次世界大战。圣诞假期里,为了弄懂爱因斯坦的相对论,戴森开始自修一部较高深的数学书,比雅久(Henry Piaggio)的《微分方程初步》(An Elementary Treatise on Differential Equations),是他当年在学校获得的奖品。戴森担心自己会丧生于战争,那样的话他甚至可能比贝尔书中最悲惨的数学天才伽罗瓦(Évariste Galois)还要悲惨,因为毕竟伽罗瓦在决斗前就已经创造出不朽的数学成就。当时戴森满脑子里只有伽罗瓦决斗前的遗言“我没时间了,我没时间了。”

 

母亲箴言

 

因此,戴森全心投入到数学中,从早上六点到晚上十点,除了中午休息两个小时,每天平均学习长达14个小时。虽然戴森自己乐此不疲,却令他的父母很担忧。母亲引用了乔叟(Geoffrey Chaucer)笔下牛津教士的话“一心专注求学问,无暇他顾出一声”,并警告他,长此以往将要生病甚至损坏大脑。父亲则一再建议他放下书本,一起出门干点农活以暂时放送一下。但戴森置若罔闻,继续沉迷于比雅久的《微分方程初步》中。圣诞假期即将结束时,戴森已完成书中的近700道习题,差不多要大功告成了,因此愿意抽空陪母亲一起散步。母亲对此已期盼多时,且早有准备。母亲当时说的话,对戴森产生了深远的影响。我们可从其科学自传《宇宙波澜》引述如下:

 

我母亲是个律师,对人极感兴趣,她喜欢拉丁诗人和希腊诗人。同我讲话时,她先引用原是非洲奴隶、后来成为最伟大拉丁剧作家的埃福(T. Afer)剧本《自虐者》(The Self-Tormentor)中的一句台词:“我是人,我绝不自异于人类。”这是她在漫长的一生中,直到94岁去世,一直奉为信条的箴言。当我们沿着泥沼和大海之间的堤坝漫步时,她对我说,这句话也应该成为我的信条。她了解我对比雅久抽象美的渴望和热爱,但她要求我,在渴望成为数学家的过程中,不要丢失人的本性。她说:有朝一日你成了大数学家,却醒悟到自己从未有时间交过朋友时,你将追悔莫及。如果你没有妻子和儿女来分享成功的喜悦,那么纵使你证明出黎曼假说,又有什么意义呢?如果你只对数学感兴趣,那么日后你将会感到,数学也变得索然无味,有如苦酒。

 

诚如戴森在书中所说,“母亲的箴言已经逐渐深刻地印入我的潜意识中,并不时产生意想不到的影响。”

戴森还下功夫读了哈代和莱特的《数论导引》[4],并尝试证明书中的每一个定理。要知道全书共有400多条定理,而戴森当时还不满14岁!这本书让戴森兴起对数论的浓厚兴趣,而哈代对戴森长达一生的影响也由此拉开序幕。

除了阅读自己的获奖藏书以外,戴森还与莱特希尔一起读了学校图书馆的另外两本书:怀德海和罗素(Bertrand Russell)的《数学原理》(Principia Mathematica)与约当(Camille Jordan)的《分析教程》(Cours d’Analyse)。这两本书是莱特希尔的意外发现。他们很快判断出,《数学原理》是部失败的作品,而《分析教程》则是打开现代数学殿堂之门的钥匙。他们一直很好奇,《分析教程》这本用法语写成的三卷本大部头高等数学教材,怎么会出现在学校的图书馆里。直到多年后,戴森读到哈代的《一个数学家的辩白》[5]这本经典著作时,才找到合理的解释。哈代在书中描述《分析教程》一书对他的影响:

 

我永远忘不了阅读这本伟大著作所带来的惊喜,对与我同时代的许多数学家来说,这是第一个启迪。在阅读它的时候,我第一次了解到数学的真正涵义。此后,我才走上了成为具有健康的数学志向、对数学具有真诚热情和抱负的真正数学家之路。

 

哈代的感受必定引起了戴森的共鸣。后来戴森才得知,原来哈代在40年前也曾就读于温彻斯特公学(哈代在此过得不太愉快,因而很少提及这个著名的母校)。戴森一度猜测,也许正是哈代有意在学校图书馆留下这本书,想“藏诸名山,传之其人”。后来戴森升上剑桥大学,成了哈代门生,但由于恩师高高在上难以接近,戴森没有勇气找他求证。1947年哈代去世后,这也成了戴森的一大遗憾。

在公学的最后一个暑期,戴森的高中数学老师杜雷尔(Clement Durell)安排了几何学家佩多(Daniel Pedoe)来专门辅导戴森与莱特希尔。佩多当时是20公里外南安普敦大学的助理讲师,他是戴森见到的第一位真正的数学家。佩多后来曾追忆起17岁的戴森(见[6]):

 

戴森问我有没有比中学里的无穷级数问题更有趣的东西,我建议他研究将平面内由方程

x2+y2−2px−2qy+r=0

给出的有向圆用三维空间中的点(p, q, r)表示的问题。我曾发表了一篇极其深入的论文讨论这个优美的表示。例如,共轴的圆将表示为三维空间中的直线。戴森深受吸引,至今仍然记得那件事。

 

诚如戴森所说,虽然他没有成为几何学家,却从佩多身上学到了对几何风格的鉴赏力,从而将数学看作一门艺术,而不仅只是科学。

戴森在学校里还结交长他三岁的文艺青年汤普森(Frank Thompson)。汤普森对戴森的影响比校内其他人都要大。他15岁就赢得“学校诗人”的称号,对诗歌有深厚的感情。对他来说,诗歌不仅是智力上的消遣,且一直都是人们从无法言喻的灵魂深处淬炼出的智慧结晶。身为敏感的诗人,他更关心校外的大千世界,尤其是当时正如火如荼的西班牙内战与即将来临的二次世界大战。戴森自汤普森处首度了解到战争与和平的重大道义问题,不过正如汤普森离开诗歌就不能生活一样,戴森最钟爱的依然是数学。汤普森不幸在二战中牺牲,其英雄事迹被戴森谱写进《宇宙波澜》“诗人之血”一章。

 

剑桥大学

 

1941年9月,戴森与莱特希尔双双进入剑桥大学。由于当时英国处于非常时期,所有大学都尽可能缩短课程,以便学生尽快投入战争。许多学生只学习一年就离校从军,戴森相对幸运,在剑桥听了两年课,1943年才去服兵役。

当时剑桥大学只剩下年长的教授,数学系有哈代、李托伍德(John Littlewood)、霍奇(William V.D. Hodge)、莫德尔(Louis Mordell)、贝西柯维契(Abram Besicovitch),物理系有狄拉克、爱丁顿、杰弗里斯(Harold Jeffreys)、布拉格(William L. Bragg)。学生很少,在许多课堂上,戴森与莱特希尔就占了听众中的一半,杰弗里斯的流体力学课甚至可怜到只有戴森一名学生。

 

狄拉克(维基)

 

这些教授中,以狄拉克最富名气。狄拉克是量子力学的奠基者之一,1930年出版《量子力学原理》(The Principles of Quantum Mechanics),日后成为物理学的圣经之一。狄拉克授课几乎就是一字不差地照本宣科,这让戴森很失望。这个课程完全缺乏从历史角度看待问题的意识,此外狄拉克也没有教学生如何具体计算。戴森总是在课堂上提问,狄拉克往往需要停顿很久才能答覆他,有一次狄拉克甚至不得不提前下课,以便准备正确的答复。

 

贝西柯维契(维基)

 

戴森对哈代与李托伍德的课程非常满意。他注意到这两位著名的数学搭档风格迥异,哈代将数学作为成熟的优美艺术品展现给学生,而李托伍德则将数学作为智力拼搏的过程展示给学生。戴森更喜欢李托伍德的风格。不过,最能引起戴森共鸣的还是贝西柯维契的风格。1993年,戴森专为三联版《宇宙波澜》写的序言,特别提及贝西柯维契对他的深远影响:

 

我的科学生涯是以纯数学家开始的,对我思维方式影响最深的老师是俄国数学家贝西柯维契。在我的物理和数学研究风格上,贝西柯维契的痕迹清晰可见。…… 贝西柯维契的风格是建筑式的。他依照层次分明的计划,从简单的数学元素中构造出微妙的建筑结构,而当他的建筑物完成时,整个结构通过简单的论证就引出意想不到的结论。…… 从某种程度上说,每个科学家都是艺术家。作为艺术家,我以数学思想为工具,奉贝西柯维契为楷模。

 

1943年自剑桥完成学业后,戴森服役投入战局,为皇家空军处理统计工作。直至1945年战争结束,他获得了数学学士学位,但役期还有一年,他被慨允在伦敦的帝国学院教学。战争吞噬了许多年轻的生命,校园萧条,戴森几乎没有教学任务。他的上司查普曼(Sydney Chapman)是著名的数学家和地球物理学家,鼓励他随心所欲做自己想做的事情。戴森于是成了伦敦大学伯贝克学院的数论专家戴文波特(Harold Davenport)讨论班上的常客。与剑桥的哈代、李托伍德、贝西柯维契等形单影只的局面完全不同,戴文波特的身边有一群年轻研究生,研究氛围十分热络。戴森向戴文波特提起他对西格尔猜想(Siegel's Conjecture)的兴趣,得到极大的鼓励。

 

数学 vs. 物理

 

其实当时戴森已有从数学转向物理的念头。之前他读过物理学家海特勒( Walter Heitler)的专著《辐射的量子理论》(The Quantum Theory of Radiation),该书总结了1930年代末理论物理学的状况,并提出解决基本问题的建议,深深吸引了戴森。但戴文波特的友情和他在数学上的激励,令戴森一时犹豫不决。于是戴森决定用西格尔猜想来抉择他的学术命运。如果解决这一猜想,就继续做数学,如果失败,就皈依物理。三个月的艰辛工作之后,戴森认输了。不过他虽然没有完全解决西格尔猜想,但至少取得了部分成功,改进西格尔早先的结果。这个问题最后由德裔英国数学家罗斯(Klaus Roth)给解决了。

1945-1946年是戴森在数学上的黄金年代。除了在西格尔猜想方面取得部分进展以外,他还对另外两个问题——几何数论中的闵可夫斯基猜想(Minkowski's Conjecture) 与堆垒数论中的 α-β 猜想——有重要贡献【注:α-β 猜想在1942年为曼恩(Henry Mann)证明。闵可夫斯基猜想则至今仍未解决,目前的研究进展可见http://arxiv.org/pdf/1410.5743v1.pdf】。

1946年退伍后,戴森凭藉出色的数学成就,成为剑桥三一学院的研究员。他原打算重新学习现代物理,但慢慢意识到,他真正需要的是找一名理论物理学家交谈,以获悉当前尚未解决的重要问题,如此一来,或可凭藉自己的数学功底探探深浅,检视自己是否适合投身物理。幸运的是,查普曼告诉他,在剑桥恰好有他要寻找的人——坎梅尔(Nicholas Kemmer)。

 

1940年代的坎梅尔(维基)

 

坎梅尔曾受教于苏黎世大学的泡利(Wolfgang Pauli)和温策尔(Gregor Wentzel),他将从恩师处习得的量子场论悉心传授给戴森。量子场论主要是狄拉克、海森堡(Werner Heisenberg)、泡利、费米(Enrico Fermi)的研究成果,其行家大多是欧洲人。当时懂得量子场论的人寥寥无几,有关量子场论的书籍只有一本问世,作者就是温策尔。戴森从坎梅尔那里了解到其重要性,掌握了一手绝技,这对他日后从事物理研究有莫大的帮助。坎梅尔极有耐心地指导戴森,为他详细解释温策尔书中的要点,让戴森理解并接受,量子场论提供了一种以自洽数学架构描述大自然的关键。戴森一生阅人无数,他推崇坎梅尔是平生所见最无私的科学家。

虽然有坎梅尔的指点,但有更多因素促使戴森离开剑桥,前往美国开始新生活。戴森在卡文迪什实验室邂逅了流体力学专家泰勒(Geoffrey Taylor),二战期间泰勒曾在美国的洛斯阿拉莫斯(Los Alamos)国家实验室工作。戴森向他打听美国哪些地方适合做物理,泰勒立即回答:“噢,你应该投奔到康奈尔大学贝特(Hans Bethe)门下,那是战后洛斯阿拉莫斯实验室所有聪明人向往的地方。”在泰勒的热心推荐下,1947年戴森隻身前往美国。

 

贝特摄于洛斯阿拉莫斯(维基)

 

有趣的是,就在戴森决定从数学转向物理之际,剑桥的另一个人却决定从物理转向数学,即后来成为大数学家的黑利希钱德拉(Harish-Chandra)。黑利希钱德拉是印度人,起初追随狄拉克研读博士,因为缺乏狄拉克对物理那种神祕的“第六感”,最终离开物理界。黑利希钱德拉后来随导师狄拉克一起访问美国普林斯顿高等研究院时,遇到了戴森。他向戴森说道:“我为了数学而离开物理学。我发现物理学乱七八糟、不严格、难以捉摸。”戴森则回答:“恰恰出于同样的原因,我离开数学而投入物理学的怀抱。”

 

成功转行

 

1947年9月,戴森入学康奈尔师从贝特。他立即发现自己适得其所─整个康奈尔大学,居然只有他懂得量子场论。量子场论是一个成熟的数学构造,当初欧洲学者创造这个理论时,多是基于对数学美学的考虑,而不是解释实验方面的成功,多数信奉实用主义的美国物理学家因此不愿费力去学习。后来他们发现,许多实验需得运用量子场论才能解释,学习量子场论因而成为必要条件。戴森的到来恰逢其时。他一边跟随指导老师贝特与聪明的年轻教员费曼(Richard Feynman)学习物理,一边也教他们如何处理量子场论的问题。戴森带来的技巧可以计算出原子碰撞过程,得出的资料又能为实验验证,因此迅即获得师友的青睐。

在那个年代,贝特关心的是量子电动力学(quantum electrodynamics,QED)中的问题,该理论致力于精确描述原子和电子如何发射和吸收光子。如今回顾起来或许有些不可思议,因为在量子力学诞生20多年后的1947年,人们对最简单和最基本的粒子、氢原子和光量子,竟还没有精确的理论。不过尽管如此,当时也出现突破性进展:物理学家兰姆(Willis Lamb)同年测出了所谓的“兰姆位移”,引起同行们的高度关注。同年6月,美国科学院在纽约谢尔特岛专门召开会议,讨论兰姆位移及相关问题,是科学史上的盛事,虽然与会者仅有24位,但都是一流人物。正是在这次会议上,诞生了重整化(renormalization)的想法。贝特就是利用这一想法,在会后返回康奈尔的火车上粗略计算出兰姆位移。他给戴森的题目,就是深入探究重整化,给出严格的处理。这在当时是最热门、最前沿的理论问题。

1948-1949年,戴森遵循贝特的建议,前往普林斯顿高等研究院访问一年。这是戴森科学生涯中最关键的一年。那一年,年仅25岁的戴森做出了他在物理学上最重要的贡献——量子电动力学的重整化。一年之间,他从无名小卒一跃成为物理学界闪亮的新星。他成功转行了!

当时美国物理学界研究重整化的活跃份子有两个物理学家─康奈尔的费曼与哈佛的史温格(Julian Schwinger)。两人都是物理奇才,但品味与风格大相径庭。1948年,凭藉出色的数学天分与社交能力,戴森直接从费曼与史温格身上,学到他们各自对量子电动力学的处理方法,并完美吸取两种方法的优点,从数学角度为量子电动力学重整化提出自洽表述。在《宇宙波澜》 第六章中,他曾回忆起灵光一闪、豁然开朗的美妙瞬间:

 

第三天,当巴士徐徐驶过内布拉斯加的时候,奇迹发生了——我搁置两周没有思考的物理,此刻排山倒海一股脑儿地涌进我的脑海里。费曼的图像和史温格的方程式,在我脑中自动地一一对应,无与伦比地清晰。我生平第一次将这两个观点连接在一起。有一两个小时里,我将那些片段不停地重组再重组,忽然领悟到,他们其实可以彼此配合得天衣无缝。虽然手边没有笔和纸,但一切都是那么清晰,根本不需要记录下来。费曼和史温格其实是从不同角度看待同一个思想,若将两人的方法结合起来,就可以得到一个兼顾史温格数学上的严谨,以及费曼应用上灵活的,理想的量子电动力学理论。

 

1957年代的杨振宁(维基)

 

返回普林斯顿后,戴森透过奥本海默(J. Robert Oppenheimer),了解到日本物理学家朝永振一郎(Sinichiro Tomonaga)的早期贡献,其后精心完成论文“朝永、史温格和费曼的辐射理论”(The radiation theories of Tomonaga, Schwinger, and Feynman),日后影响深远。此论文标题或多或少留给读者的印象是——理论是属于朝永、史温格和费曼三人的,戴森只是做了简单的整合。然而事实并非如此简单,诺贝尔物理学奖得主杨振宁对戴森的工作即有高度评价(见[7]):

 

费曼(左) 、史温格(中) 、朝永振一郎(右)(Nobel Foundation)

 

重整化纲领是物理学的伟大发展。这个理论的主要缔造者是朝永、史温格、费曼和戴森。1965年诺贝尔物理学奖授予朝永、史温格和费曼时,我就认为,诺贝尔委员会没有一併认可戴森的贡献,乃铸成了大错。直到今天,我仍然这么认为。朝永、史温格和费曼并没有完成重整化纲领,因为他们只做了低阶的计算。只有戴森敢于面对高阶计算,并完成这一纲领。在他那两篇极富洞察力的高水准论文里,戴森指出这种极端困难的分析主要的症结所在,并且解决了问题。重整化这种纲领,把可加的减法转化成可乘的重整化,其有效性还需要一个绝非平凡的证明,而这个证明是戴森提出的。他定义了本原发散性(primitive divergence)、骨架图(skeleton graph)以及重叠发散(overlapping divergence)等概念。利用这些概念,他深刻分析问题,完成了量子电动力学可以重整化的证明。他的洞察力和能力是惊人的。

 

错身而过的荣耀

 

杨振宁提到的两篇论文就是“朝永、史温格和费曼的辐射理论”及其续篇“量子电动力学的 S 矩阵”(The S matrix in quantum electrodynamics)。杨振宁曾在给笔者的邮件中特别指出,这两篇论文各有其重要性:前者证明了费曼图的正确性,而在此之前费曼仅只提出了构想;后者则解决了高阶计算的难题,登上朝永、史温格和费曼此前从未达到的高度。后来一般咸认:与朝永、史温格和费曼一样,戴森也是量子电动力学的奠基人。这尤其体现在史韦伯(Silvan Schweber)1994年出版的《QED 及其缔造者:戴森、费曼、史温格和朝永振一郎》(QED and the Men Who Made It: Dyson, Feynman, Schwinger, and Tomonaga)一书中,该书第九章专门介绍了戴森的贡献。

对戴森未能获得诺贝尔奖,深表惋惜的还有1979年诺贝尔物理学奖得主温伯格(Steven Weinberg),温伯格认为“诺贝尔委员会‘耍了(fleeced)’他”。但戴森对与诺贝尔奖无缘并不遗憾。他说:“无庸置疑的是:为了获得诺贝尔奖,你必须有持久的注意力,要抓住某些深刻而重要的问题,至少坚持十年。但这不是我的风格。”(维基百科)这句大实话切中肯綮,不由让人联想起杨振宁论述科学家的风格与贡献之关系的一段著名论断([7]):

 

在创造性活动的每个领域里,一个人的品味,加上他的能力、气质和际遇,决定了他的风格,而这种品味和风格又进一步决定了他的贡献。品味和风格竟然与他对物理学的贡献如此关系密切,乍听之下也许会令人感到惊讶,因为物理学通常被认为是一门客观地研究物质世界的学问。然而,物质世界有其结构,而一个人对这些结构的洞察力,对这些结构某些特点的喜爱、某些特点的憎恶,正是他形成自己风格的要素。因此,品味和风格之于科学研究,就像它们对文学、绘画和音乐一样至关重要,这其实并不是稀奇的事情。

 

以上这段话深得戴森欣赏,他在纽约州立大学石溪分校为杨振宁荣誉退休举办的晚宴讲演“杨振宁——保守的革命者”(Chen Ning Yang, A Conservative Revolutionary,见[8]),也引用了这段话。戴森很清楚,他本人就是“品味和风格决定贡献”的一个明证。

再度借用杨振宁常说的语汇——我们可以说,戴森在这一年完成了他作为年轻人的“猛冲(push)”。重要的结果是,普林斯顿高等研究院院长奥本海默授予他长期研究职位,这对年仅25岁的年轻人来说是极为难得的。此后,奥本海默持续器重戴森,甚至期望他成为新的波耳(Niels Bohr)或爱因斯坦。然而,这不是戴森的风格。戴森在《宇宙波澜》中曾如此评价这位如父亲般待他的长者:

 

奥本海默对物理学怀抱真正终生不倦的热情。他总持续不断努力,去认识自然界的基本祕密。我因为没能成为深刻的思想家而令他失望。当他一时冲动指定我担任研究院的长期职位时,他期望得到的是年轻的波耳或爱因斯坦。如果那时他征求我的意见,我会告诉他,迪克(Dick, 费曼的昵称)才是你要的人,我不是【注:根据费曼在《别逗了,费曼先生》(Surely You’re Joking, Mr. Feynman! )中的自述,高等研究院元老确实对费曼有如此期许,也给费曼发过聘函,但被费曼拒绝了】。一直以来,我都是个问题解决者,而不是思想创造者。我不能像波耳和费曼那样,持续经年,将全部心血都倾注在同一个深奥的问题上。我感兴趣的不同事情太多了。

 

康奈尔与普林斯顿

 

1949年,戴森回到英国,在伯明罕大学担任研究员。物理系主任派尔斯(Rudolf Peierls)热忱欢迎他的到来,刚取得博士学位的萨拉姆(Abdus Salam)打电话给他的“偶像”戴森,请求拜访。这次会面激发萨拉姆推进了戴森关于重整化的工作,开启他个人辉煌的学术生涯。

1950年,戴森与当时在普林斯顿高等研究院访问的数学家胡贝尔(Verena Huber)结婚。

1951年,戴森返美。为了争取人才,康奈尔大学破格聘任没有博士学位的戴森为物理教授【注:戴森本人并无博士学位,贝特虽然指导戴森,但他们不是正式的导师研究生关系。戴森之成才,主要是靠自学】。一直到1953年,戴森在康奈尔一边授课,一边指导麾下的博士后和研究生做理论计算【注:在康奈尔,戴森还与年轻的华裔数学家钟开莱有过学术交往,解决了钟开莱向他提出的一个数学问题】。他的讲义《高等量子力学》(Advanced Quantum Mechanics)帮助许多学子进入这个领域,60多年后正式出版成书。

 

1940年代的费米(维基)

 

而在指导学生方面,戴森自认是极其失败的,此后不再带研究生。故事是这样的:当戴森与学生获得某些进展后,他前往芝加哥大学拜访该领域的专家费米。戴森自豪地呈交计算结果,期待费米的认可与激动反应。出乎意料的是,费米竟然丝毫不为所动,只是平静指出,“计算方法有两种:第一种是我所钟爱的,基于清晰的物理图像;第二种是基于严格的数学构架。你的计算,两个条件无一符合。”对于费米的批评,戴森心悦诚服。事实上他们的计算结果与实验资料也并非特别吻合。1999年,在费米的学生、同时也是戴森的老同事杨振宁的荣休晚宴上,戴森心存感激地回忆起费米为他上的这堂关键课程(见[8]):

 

…… 虽然我不是费米的学生,但我有幸在学术生涯的关键时刻与费米相谈20分钟。我从这20分钟里所学到的,比我从奥本海默20年里学到的还要多。…… 在这20分钟里,他脚踏实地的见识,省掉了我们好几年的无谓计算。

 

回到康奈尔,戴森意识到学生这两年的功夫白费了,这让他极为愧疚,并造成极大的阴影。为了避免再度误人子弟,他决定不再带研究生。将戴森从沮丧与内疚中拯救出来的,是奥本海默的聘约。1953年,戴森告别康奈尔,来到普林斯顿,而立之年的戴森被聘为高等研究院的教授,直到1994年退休。应该说,戴森在这里如鱼得水,找到了家。

 

高等研究院院徽。左边是 Truth,右边是 Beauty。整个设计受到济慈名诗《希腊古瓮颂》(Ode on a Grecian Urn)的启发:美者真,真者美─此即尔等在人世所共知,所应共知。(余光中译)

 

《规范理论与对称之美——杨振宁传》(天下文化)的作者、台湾《中国时报》前科学主笔江才健曾在对戴森的访谈中,问起他对高等研究院的看法(见[9]):

 

江才健问:我记得杨振宁由芝加哥大学来这里(普林斯顿高等研究院)工作以前,他的老师费米告诉他,说这里像修道院,可以待一阵子但不能久留。杨振宁在此待了17年,而您却待了40年,对于费米的话,您有什么看法?

戴森答:这因人而异。我想杨振宁离去是对的,因为他需要更大的天地,成就更大的事业。对我来说,留在这里很好,因为我不是一个帝国建造者,我在此很开心,花时间于做研究与写书,我很满意。虽然年岁日老,但可以一直维持我的活力。

 

能够在普林斯顿高等研究院这个修道院里工作,当属戴森一生中最大的幸运。戴森在高等研究院结交了许多科学同仁。例如,在研究院的同事与访问学者中就有杨振宁、李政道、梅塔(Madan Lal Mehta)、约斯特(Res Jost)、勒纳(Andrew Lenard)。与戴森交流频繁的还有附近普林斯顿大学的教授威格纳(Eugene Wigner)、巴格曼(Valentine Bargmann)、利柏(Elliott Lieb)等。戴森的许多工作,就是藉由与他们的交流讨论而成型的。

 

利柏(2011)(维基)

 

1957年,出于细故——英国政府不承认戴森在瑞士和美国生的孩子,拒绝核发护照——导致戴森最终加入美国籍。戴森在收于《从爱神到盖娅》的“引路人”一文中写道:「我原是英国人,只是阴错阳差才加入美国籍。我同时为这两个国家而骄傲。」笔者曾向戴森请教英美两国间的文化差异。他答复说:

 

英、美两国的文化在许多方面都不同。英国历史更悠久、文化更灿烂,但对生活持悲观态度。而美国有更多样化的公民,科技强盛,并为年轻人提供了许多机会。最明显的一个差别体现在对待游戏和竞技体育的态度上。英国的孩子受到的教育是:最重要的事情是成为大度的失败者,竞争必须确保公平,纵使失败也必须不失风度。而美国的孩子接受的教育是,成为胜利者才是最重要的,要想方设法赢得胜利。这两种文化都很珍贵。我很高兴这个世界同时保有它们存在的空间。

 

延伸阅读

 

1.  戴森所有科普著作,参考底下列表。也可参阅本刊两篇译文。
赵学信译“鸟与蛙”,《数理人文》2014年第2期。
http://yaucenter.nctu.edu.tw/journal/201406/ch9/main.php

赵学信译“漫步在冯诺曼的花园”,《数理人文》2015年第3期。
http://yaucenter.nctu.edu.tw/journal/201501/ch4/main.php

2. Dreams of Earth and Sky(地与天之梦)。 2013年 IAS 为戴森举办90大寿暨任职60周年庆祝会网页:
https://www.ias.edu/ideas/2013/dreams-of-earth-and-sky-celebratio

3. P.F. Schewe,  Maverick Genius: The Pioneering Odyssey of Freeman Dyson(2013), Thomas Dunne Books/St. Martin's Press.

 

4. S. Schweber, QED and the Men who Made it: Dyson, Feynman, Schwinger, and Tomonaga (1994), Princeton UP.

 

 

戴森至今的科普性书籍列表

[1979] Disturbing the Universe (1979), Basic Books. 中译本:陈式苏等译《宇宙波澜》(1982)上海科学技术文献出版社. 邱显正译《宇宙波澜:科技与人类前途的自省》(1993)天下文化, (1998)三联书店.

[1984] Weapons and Hope (武器与希望, 1984) Harper & Row.

[1986] Origins of Life (生命的起源, 1986), 2nd ed. (1999), Cambridge University Press.

[1988] Infinite in All Directions (1988), Harper & Row. 中译本:李笃中译《全方位的无限》, 两册本(1991), 合订本(1996)天下文化, (2004)三联书店.

[1992] From Eros to Gaia (从爱神到盖娅, 1992), Pantheon Books.

[1997] Imagined World (1997), Harvard University Press. 中译本:杨玉龄译《想像的未来》(1999)天下文化. 庞秀成、刘莉译《想像中的世界》(2001)吉林人民出版社.

[1999] The Sun, the Genome and the Internet (1999), Oxford University Press。中译本:席玉苹译 《21 世纪三事》(1999)台湾商务. 覃方明译《太阳、基因组与互联网》(2000)三联书店.

[2006] The Scientist as Rebel (2006), New York Review Books. 中译本:萧明波、杨光松译《反叛的科学家》(2013)浙江大学出版社. 戴森书评合集.

[2007] A Many-Colored Glass (2007), University of Virginia Press. 中译本:萧明波、杨光松译《一面多彩的镜子》(2014)浙江大学出版社.

[2015] Dreams of Earth and Sky (2015), New York Review Books. 中译本:《天地之梦》将由浙江大学出版社出版. 戴森书评合集. 另外, 戴森还有两本文章选集, 其中也不乏他的科学传记材料, 第二本更收有许多科普性文章.

Selected Papers of Freeman Dyson with Commentary (1996), AMS.

Birds and Frogs: Selected Papers, 1990-2014 (2015), World Scientific.

 

 

 

 

参考文献

 

[1] 杨振宁, Father  and  I (1991), 收入C. N. Yang, Selected Papers II With Commentaries(2013), World Scientific. 有中译文《父亲和我》, 收入杨振宁《曙光集》, 北京三联书店,2008. 

 

[2] M. Cook, Faces of Science (2005). New York, London: Norton and Company.

 

[3] E.T. Bell, Men of Mathematics (1937). 有两个中译本:《数学精英》(在2004年上海科技教育出版社的再版中更名为《数学大师》), 徐源译. 北京: 商务印书馆. 1991; 《大数学家》, 井竹君等译, 台北: 九章出版社, 1998.

 

[4] G. H. Hardy, E. M. Wright, An Introduction to the Theory of Numbers. 中译本《哈代数论》(D.R. Heath-Brown 与 J.H. Silverman 修订), 张明尧、张凡译, 人民邮电出版社, 2010年.

 

[5] G. H. Hardy, A Mathematician’s Apology. 这本书有三个中译本:有两本译作《一个数学家的辩白》, 分别是: 王希勇译, 商务印书馆, 2007年; 李文林、戴宗铎、高嵘译, 大连理工大学出版社, 2014年; 另一本译作《一个数学家的自白》, 李泳译, 湖南科学技术出版社, 2007年.

 

[6] D. Pedoe, In Love with Geometry ,College Mathematics Journal, Vol. 29, No. 3 (May, 1998), pp. 170--188.

 

[7] C.N. Yang, Selected Papers 1945-1980, with Commentary (1983), W.H. Freeman & Company.

 

[8] 戴森, Chen Ning Yang, A Conservative Revolutionary (1999). 有中译文,《杨振宁——保守的革命者》, 收入杨振宁2008. 重刊于2015年4月29日《中华读书报》.

 

[9] 江才健, 《戴森:科学是更接近艺术而非哲学》(1998). 台湾《中国时报》1998年1月30日(社会综合版).

 

[10] C.N. Yang, Hermann Weyl’s contribution to physics (1985). 收入 C.N. Yang (2013). 有中译文, 《外尔对物理学的贡献》, 收入杨振宁《曙光集》, 北京三联书店, 2008. 

 

作者附语:本文初稿以“弗里曼·戴森:科学家与作家的一生”为题发表于《科学文化评论》2013年第3期,2014年重印于《一面多彩的镜子》中译本附录,2015年刊登于香港《数学文化》第3期,2016年发表于台湾《数理人文》第9期,并收入即将出版的戴森中译著作《生命起源》。

致谢:本文的写作得到了清华大学高等研究院杨振宁先生的鼓励和支持;杨先生对初稿提出了许多有价值的评论。戴森通过邮件对笔者提供了不遗余力的帮助,不仅为本文提供了照片,还根据英译稿(感谢陈关荣教授的润色)指正了原文的错误。作者在写作与修改过程中,还得到了苏珊·希金斯(S.B. Higgins)女士、江才健先生、陈关荣教授、汤涛教授、丁玖教授、欧阳顺湘教授、葛墨林教授、周坚教授、肖明波教授、张淑娥教授、刘云朋教授、赵振江教授、付晓青教授、崔继峰博士、张海涛博士的鼎力相助,在此一并表示感谢。


 

戴森传奇——从数论、QED到科普写作大师(下)

 

作者简介:林开亮,首都师范大学数学博士,目前任教于西北农林科技大学理学院。

 

原文出处:本文繁体版原载于《数理人文》杂志第9期(2016年),简体版刊载于“数理人文”微信订阅号,未经授权不得转载。

 

戴森,摄于2005年(维基)

 

我人生中最重要的三件事,依序是:家庭、朋友和工作。所以我最大的贡献是养育六个儿女,他们都在不同领域事业有成,也都已成家。我自己的工作则没那么重要,而且我身为作家的工作成就,或许还比我作为科学家的成就重要。—— 戴森,2012年11月21日致笔者函

 

后续的物理与数学工作

 

美国数学学会(AMS)1996年出版的《戴森论文选集及评注》(Selected Papers of Freeman Dyson with Commentary),收录了戴森至1990年为止最重要的科学成果。该书模仿杨振宁1983年出版的《杨振宁论文选集及评注》(Selected Papers of Chen Ning Yang with Commentary)的格式,将49页的评注集结在一起,置于全书开端,构成他的科学自传。正如杨振宁的评注描述了杨振宁之所以成为杨振宁,戴森的评注也描述了戴森之所以成为戴森。

《戴森论文选集及评注》收入的研究成果分为三个领域─数学、物理、工程学与生物学。本文只介绍他的物理和数学工作。

在戴森1948年后的所有物理研究中,特别值得一提的有两笔。其一是1961年关于随机矩阵的工作,这是戴森与其创立者威格纳交谈的结果。对戴森而言,这个成果令他极为兴奋,他在选集评注中写道:

 

1961年我在布鲁克海文度学术假,以极快的速度写完了三篇系列论文。彷彿我每天都发现全新待解答的问题,每一个优美的等式,第二天又引出另一个更加优美的等式。

 

其后若干年,戴森仍不时回到这一主题。由于威格纳、梅塔、高登(Michel Gaudin)、戴森等人的努力,随机矩阵发展成一门系统性学问,直到今日依旧热门。戴森与造访高等研究院的数论专家蒙哥马利(Hugh Montgomery)是在偶然交谈下,促成两人发现了随机矩阵与数论中的黎曼假设之间的微妙关联,此事常被传为美谈。

戴森的另一项重要成果属于统计物理。1965-1966年他与勒纳合作,首次从数学上严格证明了物质的稳定性。这是一年前由费雪(Michael Fisher)和卢埃勒(David Ruelle)提出悬赏的问题(奖品是香槟一瓶)。戴森与勒纳应用的数学技巧,源于他1957年的一篇论文,该篇论文曾改进了杨振宁和李政道的工作。戴森与勒纳将近40页的复杂证明,在10年后被利柏和提林(Walter Thirring)简化到不足三页。对此,戴森在《戴森论文选集及评注》中反省到:

 

为什么我们的证明如此糟糕,而他们(利柏和提林)的证明如此优美?原因很简单。我和勒纳的证明是从一些数学技巧出发,在不等式的丛林中披荆斩棘,没有任何来自物理方面的想法作指引。而利柏和提林是从物理思想——物质之所以稳定,是因为经典的汤玛斯费米原子模型(Thomas-Fermi model)是稳定的——出发,寻求合适的数学语言将这个想法转化为严格的证明。我在剑桥求学时,数学家李托伍德曾在课堂上讲,第一流的数学家是那些发表糟糕证明的数学家。一流的数学家发表糟糕的证明之后,二流数学家研究细节并给出更好的证明。物质稳定性的两个证明,为李托伍德的格言提供了反例。利柏和提林找到了好的证明,他们既是一流的数学家,也是一流的物理学家。我们的糟糕证明主要价值在于,它激励了利柏和提林去寻求更优美的证明。

 

2007年,戴森摄于普林斯顿高等研究院(维基)

 

数学界的影响力

 

虽然身在主流数学之外,戴森在数学界也颇有影响力。整体而言,数学家更欣赏他的数学观,因此戴森常受邀到各种场合演讲。例如,1965年他应美国工业与应用数学会(SIAM)邀请,以“群论在粒子物理中的应用”为题出席冯·诺伊曼讲座(John von Neumann Lecture)。1972年,他应美国数学学会之邀,做了题为“错失的机会”(Missed opportunities)的吉布斯讲座(Josiah Willard Gibbs Lecture)。

在吉布斯演讲中,戴森列举许多案例,有力地表明,数学家由于与物理学家的疏远,错失了许多重要发现的机会(例如麦克斯韦方程中所隐含的狭义相对论原理)。戴森以他本人的教训现身说法,呼吁数学家多与物理学家对话,一起推动科学研究——他错失了独立于数学家麦克唐纳(Ian Macdonald)发现模形式与仿射李代数之间的奇妙联系的机会,“而这仅仅是因为数论学家戴森和物理学家戴森没有彼此沟通。”

 

 

戴森心中最美的方程—— Macdonald 等式,其中左边的 τ(n) 是拉马努金的 τ 函数,而右边的求和取遍所有满足下述三个条件的五元整数组 (a, b, c, d, e):

 

a, b, c, d, e ≡ 1, 2, 3, 4, 5 (mod 5),

a+b+c+d+e=0,

a2+b2+c2+d2+e2=10n.

 

戴森的演讲才能也许受到了马丁·路德·金(Martin Luther King)的激发。他在《宇宙波澜》书中曾提起金恩在1963年8月28日的著名演讲“I have a dream”:

 

金讲得像《旧约全书》里的预言家。我离他极近,听他演讲时我流泪了,流泪的也不止我一个。“I have a dream.”他在向我们描述他对和平与正义的展望时,一遍又一遍地重复着这句话。我在那天夜里的家书中写道:“我随时准备为他蹲监狱。”当时我并不知道自己听到的是人类历史上最著名的演讲,只知道这是我听过的最伟大的演讲。我更没想到,金会在五年之后遇刺身亡。

 

拉马努金(维基)

 

1987年,伟大的印度传奇数学家拉马努金百年诞辰,戴森因为早年对拉马努金的工作有过研究而受邀参加学术纪念活动。他以“拉马努金花园漫步”为题演讲。在演讲中,他希望数学家与物理学家关注拉马努金生前的最后一项卓越发现——仿 theta 函数(mock theta functions)。他充满寄託的说道(令人联想起马丁·路德·金):

 

我的梦想是,在我有生之年能看到,我们年轻的物理学家实现超弦理论所预言的内容与大自然的事实之间的对应,从 theta 函数扩展到仿 theta 函数。

 

15年后的200 年,荷兰的青年数学家茨威格斯(Sander Zwegers)在德国普朗克数学研究所的数学家札基尔(Don Zagier)的指导下,完成了题为“仿 theta 函数”的博士学位论文。在此基础上,2008年,美国威斯康辛大学的数学家布瑞曼(Kathrin Bringmann)与小野健(Ken Ono)又向前推进一步。与戴森的预言更契合的,是出生于台湾的数学物理学家程之宁(Miranda Chih-Ning Cheng)及其合作者在2012年提出、并由小野等人在2015年证明的“伴影月光猜想(Umbral Moonshine Conjecture)”。这一点连程之宁教授本人也是同意的,她在邮件中答复我说,她当初提出这个猜想时并没有想到戴森的话。他们的工作一起回应戴森的呼吁,实现了他的部分梦想。戴森的数学远见由此可见一斑。

 

鸟与蛙

 

2008年,戴森为美国数学学会的爱因斯坦讲座准备了以“鸟与蛙”(Birds and Frogs)为题的演讲。讲座因戴森生病而临时取消,但讲稿则公开发表。该演讲的基本观点取自《全方位的无限》,但立意更高,提及许多有趣味富哲理的话题。戴森在开篇写道:

 

有些数学家是飞鸟,其他的是蛙。鸟儿高翔天际,遍览直至天际的广阔数学远景,他们所喜爱的,是能统摄我们的思想、将散布于地上各处的种种问题整合起来的概念。青蛙住在泥地里,只能看到长在附近的花朵。他们喜爱特定事物的细节,一次只解决一个问题。我刚好是一隻蛙,但是我的许多好友都是飞鸟。我今晚演讲的主题是这样的:数学需要鸟,也需要蛙。数学既丰富而且优美;因为有飞鸟赋予它宽阔的远景,有蛙儿赋予它精致的细节。数学既是伟大的艺术,也是重要的科学;因为它结合了概念的普遍性和结构的深刻性。倘若有人宣称鸟儿因为看得更辽远而胜过蛙,或是青蛙因为观察更深刻而胜过鸟,两种说法都是愚蠢的。数学的世界既广阔又深刻,我们需要鸟与蛙齐心协力才能探索。

 

鸟与蛙这个比喻如此之妙,不由得令人怀疑,戴森是不是引申了古希腊诗人阿基罗库斯(Archilochus)关于刺蝟和狐狸的比喻,如同作家伯林(Isaiah Berlin)曾藉此评论托尔斯泰(Leo Tolstoy)的历史观一样。笔者曾透过邮件询问戴森,“鸟与蛙”这个标题,是否受到阿基罗库斯关于哲学家分为“狐狸与刺猬”两类的启发?他答复说:“是,演讲的标题来自希腊戏剧家阿里斯多芬(Aristophanes),他曾写过两部著名的戏剧《鸟》与《蛙》,但其思想则又近似阿基罗库斯的狐狸/刺猬的二分法。我发现,对两种数学家来说,青蛙与飞鸟是更好的比喻。”

戴森在文中举出了青蛙与飞鸟的诸多例子,如培根与笛卡儿、贝西柯维契与魏尔(Hermann Weyl)、冯·诺伊曼与马宁(Yurin Manin),并含蓄地将他本人与杨振宁作为另一对比较的例子:

 

在我受业于贝西科维契之后过了几年,我来到普林斯顿,并结识了魏尔。…… 他对我印象很好,因为那一年我在美国的《数学年刊》(Annals of Mathematics)发表了数论的论文,在《物理评论》(Physical Review)发表了量子辐射理论的论文。魏尔是当时世上少数几个能够同时悠游于这两个领域的人之一。他欢迎我来到研究院,期望我能和他一样成为飞鸟。我令他失望了,我仍固执地当一只蛙。…… 在魏尔离开普林斯顿后不久,杨振宁从芝加哥过来,搬进魏尔的旧宅。杨振宁接替魏尔的位子,成为我们这一代物理学家领头的飞鸟。在魏尔仍在世时,杨振宁和他的学生米尔斯(Robert Mills)发现了非交换规范场的杨-米尔斯理论【注:魏尔 1955年去世,杨-米尔斯论文 1954 年发表】,这是魏尔的规范场极其优雅的推广。

 

魏尔(左)、奥本海默(右)(维基)

 

第一段话与前述戴森追忆奥本海默的话何其神似!真是难以想像,年仅25岁的戴森能同时被数学界的领袖魏尔和物理学界的首脑奥本海默如此垂青。要知道,身为魏尔物理学传人的杨振宁,毕生最大的遗憾之一,就是不知道曾经近在咫尺的魏尔,原来一直对规范原理念念不忘。杨振宁曾写道(见[10]):

 

在物理学家中,没有人知道他(魏尔)对规范场思想的兴趣如此锲而不舍。无论是奥本海默还是包立,都从未提及这点。猜测他们也没有把我和米尔斯1954年发表的论文告诉他。如果他们告诉他,或者他偶然发现了我们的文章,那么可想而知,他一定会非常高兴、非常激动。因为我们把他最珍爱的两样东西——规范场和李群——放在一起了。

 

杨振宁的遗憾真可以用“世界上最遥远的距离不是生离死别,而是我站在你面前,你却不知道我爱你”来形容。这里的“你”就是飞鸟魏尔。鸟与蛙的比喻凸显了杨振宁与戴森的差别,正如杨振宁曾借用狐狸与刺猬的比喻来彰显中国近代两位著名数学家华罗庚与陈省身的不同。

戴森在这篇讲稿中,还以开玩笑方式建议了解决黎曼假说的可能途径(转而考虑准晶体的枚举与分类)。可以看出,戴森一直没有放下他年少时的梦想(证明黎曼假说),就像屈原所说的“余幼好此奇服兮,年既老而不衰”。

由于戴森对冯·诺伊曼的工作(如博弈论与电脑理论)至感兴趣,2010年5月,他应邀在布朗大学提出“漫步在冯·诺伊曼的花园”的通俗演讲。从两次演讲的标题“漫步在冯·诺伊曼的花园”和“漫步在拉马努金的花园”可以看出,戴森倾向于将数学视为智力上的消遣。也许,数学在他眼里,与其说是智力的拼搏,毋宁说是探险猎奇。

戴森仍然不时回到纯数学研究中。2012年,将近90高龄的戴森还在数学刊物《拉马努金期刊》(The Ramanujan Journal)上发表题为“分拆与巨正则系综”(Partitions and the grand canonical ensemble)的论文, 还与普雷斯(William Press)合作在《美国国家科学院院刊》(PNAS)上发表了一篇关于博弈论中“囚徒困境”的研究论文“迭代囚犯困境具备宰制任何演化对手的策略”(Iterated Prisoner's Dilemma contains strategies that dominate any evolutionary opponent)。

不过戴森认为,他自1990年以后的那些数学与物理研究,较侧重其趣味性,谈不上特别的学术性。他在为《科学的面孔》写的自传中说道(见[2]):

 

大多数科学家把科学当成类似盖房子或烹饪的技能,少数科学家把科学当作哲学探索。我属于前者。我从不关心我要解决的问题是否重要。纯数学领域无关紧要的问题,与原子物理学和生物学的重要问题同样有趣。


2015年5月,新加坡世界科学出版社出版了戴森的一本新书,收集了他自选1990-2014年间的代表性文章,书名就叫《鸟与蛙》(Birds and Frogs: Selected Papers, 1990-2014)。此书可看作他1996年《论文选集及评注》的续篇,但其侧重点跟《从爱神到盖娅》一样,收入的大多是通俗文章而非专业论文。

 

科学人文写作

 

1975年,美国史隆基金会(Alfred P. Sloan Foundation)邀请戴森写一本科学自传。在考虑如何回复时,戴森想起了老师哈代的话「年轻人应该证明定理,而老年人应该写书。」于是接受邀约,开启了他的写作生涯。这引出了他的处女作《宇宙波澜》(1979)。戴森曾说,他的生命是从55岁开始的,因为在那年,他完成了第一部作品。自此以后,戴森花费在研究和写作的时间各占一半。戴森作为作家的名声,很快超越了他作为科学家的名望,其作品列表可见附录。因其杰出成就,1996年戴森获得了享有“诗人科学家”美誉的汤玛斯奖(Lewis Thomas Prize)。

《宇宙波澜》可谓戴森最重要的科普著作。该书曾被译成七种语言。书名 Disturbing the Universe 取自诗人艾略特(T.S. Eliot)的名作“普鲁弗洛克的情歌”(The Love Song of J. Alfred Prufrock)。据戴森给笔者的回信,书名的含义是——我们未来的活动将改变宇宙的命运。1993年,戴森为邱显正译的《宇宙波澜》写过一篇精彩的序言,其中他写道:

 

本书从浪漫的角度来看科学世界,把科学家的生活比作个人灵魂的航程;它有意略过每个科学家生活、工作所在的机构,以及政治、经济的既定框架。在科学史上,团体与个人是等量齐观的,但大多数历史学家往往侧重于机构与团体的活动。本书特别强调个人,因为我希望写点新鲜而与众不同的东西。我对科学的浪漫观点虽然并不代表全部的真理,却是真理中不可或缺的重点。…… 本书于14年前在美国付梓,之后我又陆续为非专业的读者写了四本书,然而《宇宙波澜》仍然是我的最爱。它是我的第一本书,字字发自肺腑,比其他几本书投注了更多的心血和情感。如果我的著作只有一本能流传千古,而我又有权选择哪一本的话,我将毫不犹豫选择这一本。

 

《宇宙波澜》 想必能够流传千古。因为戴森兴趣广泛,人生阅历丰富,本书读起来颇有趣味。书中第六章专门回忆了他与费曼1948年为期四天的阿布奎基驾车之旅,途中与费曼的反复讨论,使戴森终于对费曼的路径积分法(也称“对历史求和”)有了深刻的领悟。戴森与费曼的结伴同行,起初只是一个偶然的局部事件,但对戴森和费曼两人的一生都产生了深远的影响,最后并深刻改变了20世纪物理学的整体面貌。戴森认为这是他一生最幸运的际遇。

这些年来,戴森一直笔耕不辍。除了著书以外,他还写了许多有趣的文章。例如1955年,普林斯顿高等研究院的永久成员魏尔逝世,戴森为英国顶级科学刊物《自然》(Nature)撰写一篇简短的追悼文,转述了魏尔身为当世纪大数学家的价值观:

 

他[魏尔]曾半开玩笑地对我说:“我的研究永远试图将真与美结合;但若两者只能择其一,我选择的通常是美。”

 

1988年费曼过世时,戴森根据他过去写给双亲的家书,编辑成一篇回忆文章“费曼在1948”(Feymann in 1948,收于《从爱神到盖娅》)。事实上,近年来出生于20世纪初的大物理学家相继去世,而新世纪的到来又适逢许多大物理学家的百年诞辰。许多与戴森有过交往的学者,例如泡利、费米、狄拉克、奥本海默、贝特、泰勒(Edward Teller)、钱卓拉赛卡(S. Chandrasekhar)、坎梅尔、惠勒(J. A. Wheeler)、萨拉姆等,他都写了忆旧文。

戴森还不时为《纽约客》(New Yorker)与《科学美国人》(Scientific American)撰稿,也常常为新出版的各类科学著作写序文和书评,因此他的名字频繁出现在《纽约书评》(New York Review of Books)杂志上。2013 年,浙江大学出版社出版了戴森书评集 The Scientist as Rebel 的中译本《反叛的科学家》。2015年,戴森出版第二本书评集《天地之梦》(Dreams of Earth and Sky),即将由浙江大学出版社出版。近年来台湾或大陆出版的许多优秀的科普书,其中许多戴森都写过书评。

 

游走数学和物理的边缘

 

作为数学家,戴森的数学能力毋庸置疑。但他并不以数学家的身份为傲。在他看来,有些数学家过于离群索居、缺乏人情味。他日后之所以与妻子赫伯离婚,正是因为她是个数学疯子,沉湎于数学不能自拔,甚至置子女于不顾,而且从来未被点醒过——不像戴森年少时曾被母亲点醒。1958年,戴森与马拉松长跑运动员容格(Imme Jung)再婚。戴森共有六个孩子,其中五个是女儿,唯一的儿子乔治(George Dyson)是著名的科学史家。

 

哈代(维基)

 

戴森的数学生涯与剑桥数学学派,尤其是哈代有密切关联。正是哈代与莱特合著的《数论导引》,引发了戴森对数论长达一生的兴趣。应该指出,虽然戴森学习和吸收新知的能力很强,但他在两年大学期间,学到的数学其实很有限。正如戴森在给笔者的信中说起的,他的老师哈代和李托伍德身为英国的数学领袖,甚至阻碍了英国数学的进展:

 

哈代和李托伍德是旧式的数学家,他们虽然活在20世纪,做的却是19世纪的数学。他们虽然做出了漂亮的工作,但他们对源于法国和德国的新抽象思想没有兴趣。以致于年轻一代的英国数学家,包括我,成长的环境皆距离繁荣于法国的新数学十分遥远。

 

事实上,数学1930-40年代经历了迅猛的发展,然而哈代和李托伍德忙于研究古典数学(解析数论与古典分析),导致英国下一代数学家没有及时跟上抽象代数与拓扑学兴起的现代数学潮流。在当时的剑桥,只有霍奇是唯一的例外。他不仅跟上现代数学的步伐,而且就在戴森入学剑桥前后,做出丰硕的成果,然而戴森并不受霍奇的讲课所吸引。凡此种种,皆导致戴森对数学缺乏较为全面的了解。戴森的数学视野和品味也就局限于哈代、李托伍德与拉马努金的范围之内。而这些人的工作(解析数论与离散数学)都偏离后来主流数学太远了。戴森虽然早期在数论研究中做出了一些有价值的成果,但他对纯数学中曲高和寡的冷清氛围不满意,于是决定离开纯数学而转向应用数学。他在《太阳、基因组与互联网》的导言中写道:

 

在日后的科学生涯中,我并未忠于哈代的理想。起初我步他的后尘进入数论领域,并解决了几个数论问题。这些问题虽然优美,但无关宏旨。后来,在作为数论专家工作了三年之后,我决定做应用数学家。我认为,比起继续证明只能引起一小撮数学家感兴趣的定理,理解自然的基本奥祕要令人激动得多。

 

作为物理学家,在很早的时候,由于费米的提点,戴森意识到物理研究不能仅仅靠纯粹的数学演算,更需要物理直觉的指引。戴森很清楚,他缺乏物理直觉。他在物理学上的成功得益于与物理学家的广泛交流,得益于他的数学品味和才能─他以数学家的价值观来做物理。

 

他在1964年发表于《科学美国人》的文章《物理科学中的数学(Mathematics in Physical Sciences)》中写道:“数学之于物理,不仅是计算现象的工具,更是创造新理论的概念和原理的主要源泉。” 有如共鸣,杨振宁也曾表达过类似的见解(见[7]):“我的大多数物理学同事对数学采取一种功利主义的态度,而也许是因为受父亲的影响,我较为欣赏数学。我欣赏数学家的价值观,崇拜数学的优美和力量:它有战术上的巧妙灵活,又有战略上的雄才远虑。而且,奇迹的奇迹,它的一些美妙概念,竟是支配物理世界的基本结构!” 

但是,物理学家与数学家有不同的价值观,戴森的价值观并没有得到物理学家的广泛认同。这与数学家对他的看法恰好形成鲜明对比。数学家不认为戴森的数学工作很重要,但愿意听他的数学见解【注:例如当代著名数学家阿提雅(M. Atiyah)在他的第五卷《论文选集》序言中,就提到了曾受益于与戴森的交谈】;而物理学家虽认可戴森的物理成就(例如他荣获1981年沃尔夫物理奖),但拒绝他的数学价值观。

戴森在《不合时尚的追求(Unfashionable pursuits)》一文中,将自己定位为“数学物理学家”。他将数学物理这门学科的宗旨理解为─用纯数学的严格风格和方法来理解物理现象。数学物理学家的目标是,澄清那些作为物理理论奠基石之概念的精确数学意义。戴森是名符其实的数学物理学家,并且得到了高度认可。在2012年的国际数学物理大会(ICMP)上,戴森获得了该领域的最高奖——国际数学物理协会颁发的庞加莱奖(Henri Poincaré Prize)。

然而,不论是作为数学家还是物理学家,戴森都只获得部分的成功。唯有作为作家的戴森,才算是取得全面的成功。如果要从20世纪的数学家中挑选出100位最有成就的数学家,戴森应该是无法入围。因此,他年少时期望名列20世纪《数学精英》系列人物之一的梦想势必落空。而作为物理学家,虽然他早在25岁就名扬四海,但他也从来没有自我期许成为像他的同事杨振宁那样的伟大人物。

 

结语:以作家名世

 

一直以来,物理学界似乎都对戴森有更高的期许,例如普林斯顿大学物理教授、1977年诺贝尔物理学奖得主安德森(Philip Anderson),在针对谢尔维(P. F. Schewe)的戴森传记撰写的书评“一个多面手的生涯”(An iconoclast's career)中写道:“戴森是个能力超强的人,并且成就巨大,然而,如果他术业有专攻,又会是怎样呢?” 这大概是在期待戴森成为“刺猬”或“飞鸟”。但应该指出的是,戴森的广泛兴趣与大胆假设,使他看起来像个擅长综合的人,人们也期待他成为能够总揽全域的人,但其实他的第一身份是数学家,更擅长的是分析和小心求证。

也许戴森在20世纪的数学界和物理学界无法佔有特别高的地位,但作为科学家中的作家,他绝对是首屈一指的。

戴森曾回复笔者,在写作上对他影响最大的是哈代,因为他为非数学专业的读者写出了优秀的书籍《一个数学家的辩白》。哈代的写作确实吸引人,这也许肇因于他曾经历过数学史上最浪漫的传奇,发现了自学成才的印度数学拉马努金,所以写作也富有激情。不过,哈代的言论较为极端,一旦绝对化,就会创造出奇异的美感和坚不可摧的力量,往往令读者不自觉地信以为真。例如哈代在《一个数学家的辩白》中曾写道:

 

只有少部分数学有用,而即此少部分也较为乏味。“纯正”数学家的“纯正”数学(无论其为“应用”数学或“纯粹”数学),即费马、欧拉、高斯、阿贝尔、黎曼的数学,几乎全部无用。如能解释真正数学的存在,则应解释为艺术。

 

这方面,哈代有点像英国文学家王尔德(Oscar Wilde),另一个“语不惊人死不休”的天才。又因为哈代先后经历了两次世界大战,而他慧眼识出的天才拉马努金又英年早逝,所以他暮年提笔时,处处洋溢著悲观情绪,这也许在无形中打动了某些读者。但哈代的有些话是经不起检验的,比如他说“费马、欧拉、高斯、阿贝尔、黎曼的数学几乎全部无用”就错得离谱。

对于写作和数学研究,哈代完全以美为至高法则。他在《一个数学家的辩白》中写道:

 

美是首要的试金石:丑陋的数学不可见于天日。

 

可以说,哈代是个“纯”到了极致的数学家,比魏尔还要纯。笔者曾在通信中询问戴森:真与美二选一,他会选择哪一个?他回复说,不同于哈代和魏尔,他只有在做研究时会优先考虑真实,而在讲故事时则会优先考虑美妙。

相对而言,戴森的文字则不时闪现着睿智与幽默,其评判也较中和。对于看似矛盾的说法,他可以藉由波耳的互补原理和海森堡的测不准原理为哲学基础来调和。而且,戴森的视野比哈代开阔。他早年读到的凡尔纳、托尔斯泰、威尔斯(H.G. Wells)、霍尔丹、赫胥黎(Aldous Huxley)、奥威尔(George Orwell)的作品对他有钜大影响。像那些前辈一样,戴森具有非凡的想像力与洞察力。此外,戴森在写作中常旁徵博引,尤其是戏剧和诗歌─这是自小受父母薰陶和中学时代受弗兰克影响的结果,为其作品增色不少。例如在《宇宙波澜》一书的索引中,你可以看到许多诗人和作家的名字,如奥登(W.H. Auden)、布雷克(William Blake)、歌德、弥尔顿、莎士比亚和叶慈(W.B. Yeats)。戴森在《生命起源》中说,他最喜欢的诗人是布雷克,因为即便他所作的猜想或预言最终被证明是错误的,布雷克的名句已足以让他释然:To be an Error and to be Cast out is a part of God's design(铸成错误并被摈弃,亦属上苍精心设计)。哈代与戴森的共同点,也许可以用培根的名言来概括:“绝美之中必有奇异之处。”而如果要指明戴森与哈代的差别,也许我们可以窃取哈代本人在《一个数学家的辩白》中的话:

 

假如真能把我的雕像塑在伦敦广场的纪念碑上,我会希望这座碑高耸入云,以至于人们见不到雕像呢?还是希望纪念碑矮得足以使人们对雕像一目了然呢?我会选择前者。可以想见,戴森[原文史诺博士] 会选择后者。

 

笔者曾询问戴森是否同意后面这个说法?他表示同意。事实上,戴森在《从爱神到盖娅》的序文中说:“我所有的作品,其目的都是打开一扇窗,让高居科学庙堂之内的专家望一望外面的世界,让身处学术象牙塔之外的普通大众瞄一瞄里面的天地。”他成功了。

戴森的著作不仅带给读者亲切感,更令人感受到科学家的强烈使命感。也许我们可以借用司马迁在《史记》中评价屈原的一句话,来评价作为作家的戴森:“其志洁,故其称物芳。”

 

点击阅读:戴森传奇——从数论、QED到科普写作大师(上)

 

延伸阅读

 

1.  戴森所有科普著作,参考底下列表。也可参阅本刊两篇译文。
赵学信译“鸟与蛙”,《数理人文》2014年第2期。
http://yaucenter.nctu.edu.tw/journal/201406/ch9/main.php

赵学信译“漫步在冯诺曼的花园”,《数理人文》2015年第3期。
http://yaucenter.nctu.edu.tw/journal/201501/ch4/main.php

2. Dreams of Earth and Sky(地与天之梦)。 2013年 IAS 为戴森举办90大寿暨任职60周年庆祝会网页:
https://www.ias.edu/ideas/2013/dreams-of-earth-and-sky-celebratio

3. P.F. Schewe,  Maverick Genius: The Pioneering Odyssey of Freeman Dyson(2013), Thomas Dunne Books/St. Martin's Press.

 

4. S. Schweber, QED and the Men who Made it: Dyson, Feynman, Schwinger, and Tomonaga (1994), Princeton UP.

 

戴森至今的科普性书籍列表

[1979] Disturbing the Universe (1979), Basic Books. 中译本:陈式苏等译《宇宙波澜》(1982)上海科学技术文献出版社. 邱显正译《宇宙波澜:科技与人类前途的自省》(1993)天下文化, (1998)三联书店.

[1984] Weapons and Hope (武器与希望, 1984) Harper & Row.

[1986] Origins of Life (生命的起源, 1986), 2nd ed. (1999), Cambridge University Press.

[1988] Infinite in All Directions (1988), Harper & Row. 中译本:李笃中译《全方位的无限》, 两册本(1991), 合订本(1996)天下文化, (2004)三联书店.

[1992] From Eros to Gaia (从爱神到盖娅, 1992), Pantheon Books.

[1997] Imagined World (1997), Harvard University Press. 中译本:杨玉龄译《想像的未来》(1999)天下文化. 庞秀成、刘莉译《想像中的世界》(2001)吉林人民出版社.

[1999] The Sun, the Genome and the Internet (1999), Oxford University Press。中译本:席玉苹译 《21 世纪三事》(1999)台湾商务. 覃方明译《太阳、基因组与互联网》(2000)三联书店.

[2006] The Scientist as Rebel (2006), New York Review Books. 中译本:萧明波、杨光松译《反叛的科学家》(2013)浙江大学出版社. 戴森书评合集.

[2007] A Many-Colored Glass (2007), University of Virginia Press. 中译本:萧明波、杨光松译《一面多彩的镜子》(2014)浙江大学出版社.

[2015] Dreams of Earth and Sky (2015), New York Review Books. 中译本:《天地之梦》将由浙江大学出版社出版. 戴森书评合集. 另外, 戴森还有两本文章选集, 其中也不乏他的科学传记材料, 第二本更收有许多科普性文章.

Selected Papers of Freeman Dyson with Commentary (1996), AMS.

Birds and Frogs: Selected Papers, 1990-2014 (2015), World Scientific.

 

 

参考文献

 

[1] 杨振宁, Father  and  I (1991), 收入C. N. Yang, Selected Papers II With Commentaries(2013), World Scientific. 有中译文《父亲和我》, 收入杨振宁《曙光集》, 北京三联书店,2008. 

 

[2] M. Cook, Faces of Science (2005). New York, London: Norton and Company.

 

[3] E.T. Bell, Men of Mathematics (1937). 有两个中译本:《数学精英》(在2004年上海科技教育出版社的再版中更名为《数学大师》), 徐源译. 北京: 商务印书馆. 1991; 《大数学家》, 井竹君等译, 台北: 九章出版社, 1998.

 

[4] G. H. Hardy, E. M. Wright, An Introduction to the Theory of Numbers. 中译本《哈代数论》(D.R. Heath-Brown 与 J.H. Silverman 修订), 张明尧、张凡译, 人民邮电出版社, 2010年.

 

[5] G. H. Hardy, A Mathematician’s Apology. 这本书有三个中译本:有两本译作《一个数学家的辩白》, 分别是: 王希勇译, 商务印书馆, 2007年; 李文林、戴宗铎、高嵘译, 大连理工大学出版社, 2014年; 另一本译作《一个数学家的自白》, 李泳译, 湖南科学技术出版社, 2007年.

 

[6] D. Pedoe, In Love with Geometry ,College Mathematics Journal, Vol. 29, No. 3 (May, 1998), pp. 170--188.

 

[7] C.N. Yang, Selected Papers 1945-1980, with Commentary (1983), W.H. Freeman & Company.

 

[8] 戴森, Chen Ning Yang, A Conservative Revolutionary (1999). 有中译文,《杨振宁——保守的革命者》, 收入杨振宁2008. 重刊于2015年4月29日《中华读书报》.

 

[9] 江才健, 《戴森:科学是更接近艺术而非哲学》(1998). 台湾《中国时报》1998年1月30日(社会综合版).

 

[10] C.N. Yang, Hermann Weyl’s contribution to physics (1985). 收入 C.N. Yang (2013). 有中译文, 《外尔对物理学的贡献》, 收入杨振宁《曙光集》, 北京三联书店, 2008. 

 

作者附语:本文初稿以“弗里曼·戴森:科学家与作家的一生”为题发表于《科学文化评论》2013年第3期,2014年重印于《一面多彩的镜子》中译本附录,2015年刊登于香港《数学文化》第3期,2016年发表于台湾《数理人文》第9期,并收入即将出版的戴森中译著作《生命起源》。

致谢:本文的写作得到了清华大学高等研究院杨振宁先生的鼓励和支持;杨先生对初稿提出了许多有价值的评论。戴森通过邮件对笔者提供了不遗余力的帮助,不仅为本文提供了照片,还根据英译稿(感谢陈关荣教授的润色)指正了原文的错误。作者在写作与修改过程中,还得到了苏珊·希金斯(S.B. Higgins)女士、江才健先生、陈关荣教授、汤涛教授、丁玖教授、欧阳顺湘教授、葛墨林教授、周坚教授、肖明波教授、张淑娥教授、刘云朋教授、赵振江教授、付晓青教授、崔继峰博士、张海涛博士的鼎力相助,在此一并表示感谢。


杨振宁经典数学笑话论数学和物理的关系

 

 

杨振宁是当代的大物理学家, 又是现代数学发展的重要推动者, 他的两项巨大成就: 杨–密尔斯规范场和杨–巴克斯特方程, 成为80年代以来一系列数学研究的出发点, 其影响遍及微分几何、偏微分方程、低维拓扑、辫结理论、量子群等重大数学学科。笔者曾在「杨振宁与当代数学」的访谈录中有过较为详细的介绍(此文的中文版在台湾「数学传播」1992年4月发表, 内容不全相同的英文版刊于「Mathematical Intelligencer」Vol.15,NO。.4,1993。它的中译文已被收入杨振宁的新着「读书教学再十年」(台湾时报出版公司,1995), 这里记录的有关数学与物理学的关系, 来自笔者在1995年末在纽约州立大学(石溪) 访问杨振宁先生时的一些谈话材料, 因为不是系统的谈话, 故称「漫谈」。

 

 

一.     有关数学的两则「笑话」

 

1980年代初, 杨振宁曾在韩国汉城作物理学演讲时说「有那么两种数学书: 第一种你看了第一页就不想看了, 第二种是你看了第一句话就不想看了」。当时引得物理学家们轰堂大笑。此话事出有因。1969年, 杨振宁察觉物理上的规范场理论和数学上的纤维丛理论可能有关系, 就把著名拓扑学家Steenrod着的「The Topology of Fibre Bundles纤维丛的拓扑)」一书拿来读, 结果是一无所获。原因是该书从头至尾都是定义、定理、推论式的纯粹抽象演绎, 生动活泼的实际背景淹没在形式逻辑的海洋之中, 使人摸不着头脑。

上述汉城演讲中那句话本来是即兴所开的玩笑, 不能当真的。岂料不久之后被「Mathematical Intelligencer」捅了出来, 公之与众。在数学界当然会有人表示反对, 认为数学书本来就应该是那样的。不过, 杨振宁先生说「我相信会有许多数学家支持我, 因为数学毕竟要让更多的人来欣赏, 才会产生更大的效果」

我想, 杨振宁是当代物理学家中特别偏爱数学, 而且大量运用数学的少数物理学者之一。如果连他也对某些数学著作的表达方式啧有烦言, 遑论其它的物理学家? 更不要说生物学家、经济学家、一般的社会科学家和读者了。

另一则笑话, 可在波兰裔美国数学名家S.M.Ulam 的自传「一个数学家的遭遇(Advantures of a mathematician) 」中读到。该书294页上写道: 「杨振宁, 诺贝尔物理学奖获得者, 讲了一个有关现时数学家和物理家间不同思考方式的故事: 一天晚上, 一帮人来到一个小镇。他们有许多衣服要洗, 于是满街找洗衣房。突然他们见到一扇窗户上有标记:『这里是洗衣房』。一个人高声问道: 『我们可以把衣服留在这儿让你洗吗?』窗内的老板回答说:『不, 我们不洗衣服。』来人又问道:『你们窗户上不是写着是洗衣房吗』。老板又回答说: 『我们是做洗衣房标记的, 不洗衣服』。这很有点像数学家。数学家们只做普遍适合的标记, 而物理学家却创造了大量的数学。

杨振宁教授的故事是一则深刻的寓言。数学圈外的人们对数学家们「只做标记, 不洗衣服」的做法是不赞成的。数学家Ulam 在引了杨振宁的「笑话」之后, 问道, 信息论是工程师C. Shannon 创立的, 而纯粹数学家为什么不早就建立起来? 他感叹地说:「现今的数学和19世纪的数学完全不同, 甚至百分之九十九的数学家不懂物理。然而有许许多多的物理概念, 要求数学的灵感, 新的数学公式, 新的数学观念。」

 

 

二.     理论物理的「猜」和数学的「证」

 

1995年12月, 杨振宁先生接到复旦大学校长杨福家的来信, 请杨振宁在1996年5月到复旦为「杨武之讲座」做首次演讲。杨武之教授是杨振宁的父亲, 又是中国数学前辈,早年任清华大学数学系系主任多年, 五十年代后则在复旦大学任教授, 所以杨振宁很愉快地接受了邀请。但是他不能像杨福家校长要求的那样做20次演讲, 只准备讲三次。顺着这一话题, 杨振宁先生又谈了理论物理和数学的一些关系。

杨先生说:「理论物理的工作是『猜』, 而数学讲究的是『证』。理论物理的研究工作是提出『猜想』, 设想物质世界是怎样的结构,只要言之成理, 不管是否符合现实, 都可以发表。一旦『猜想』被实验证实, 这一猜想就变成真理。如果被实验所否定, 发表的论文便一文不值(当然失败是成功之母,那是另一层意思了)。数学就不同, 发表的数学论文只要没有错误, 总是有价值的。因为那不是猜出来的, 而有逻辑的证明。逻辑证明了的结果, 总有一定的客观真理性。」

 

「正因为如此, 数学的结果可以讲很长的时间, 它的结果以及得出这些结果的过程都是很重要的。高斯给出代数学基本定理的五种证明, 每种证明都值得讲。如果让丘成桐从头来讲卡拉比(Calabi) 猜想的证明, 他一定会有20讲。但是教我讲『宇称不守恒』是怎么想出来的, 我讲不了多少话。因为当时我们的认识就是朝否定宇称守恒的方向想,『猜测』不守恒是对的。根据有一些, 但不能肯定。究竟对不对, 要靠实验。」

杨先生最后说:「理论物理的工作好多是做无用功, 在一个不正确的假定下猜来猜去,文章一大堆, 结果全是错的。不像数学, 除了个别错的以外, 大部分都是对的, 可以成立的」。

杨先生的这番话, 使我想起不久前Quine 和Jaffe 的一篇文章, 发表于Bulletin of AMS,1993年8月号, 曾引起相当的轰动。该文的主题是问「猜测数学是否允许存在? 」。其中提到, 物理学已经有了分工, 理论物理做「猜测」, 实验物理做「证明」。但是数学没有这种分工。一个数学家, 既要提出猜想, 又要同时完成证明。除了希尔伯特那样的大人物可以提出23个问题, 其猜想可以成为一篇大文章之外, 一般数学家至多在文章末尾提点猜想以增加读者的兴趣, 而以纯粹的数学猜想为主体的文章是无处发表的。因此, 两位作者建议允许「理论数学」, 即「猜测数学」的存在。

这样一来, 现在有两种相互对立的看法。一方面, 物理学界中像杨振宁先生那样, 觉得理论物理的研究太自由, 胡乱猜测皆成文章,认为数学还比较好的。另一方面, 数学界如Quine 和Jaffe 那样, 觉得目前数学研究要求每个结论都必需证明的要求, 太束缚人的思想。应该允许人们大胆地猜测, 允许有根据而未经完全确认的数学结论发表出来。二者孰是孰非, 看来需要一个平衡。许多问题涉及哲学和社会学层面, 就不是三言两语可以解决的了。

 


三.     复数、四元数的物理意义

 



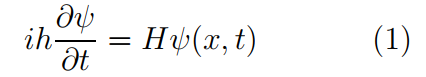
虚数i=p−1 的出现可溯源于15世纪时求解三次方程,但到18世纪的欧拉时代,仍称之为「想象的数」(imaginary)。数学界正式接受它要到19世纪, 经Cauchy, Gauss, Riemann, Weierstrass 的努力, 以漂亮的复变量函数论赢得历史地位。至于在物理学领域, 一直认为能够测量的物理量只是实数,复数是没有现实意义的。尽管在19世纪, 电工学中大量使用复数, 有复数的动势, 复值的电流, 但那只是为了计算的方便。没有复数,也能算出来, 只不过麻烦一些而已。计算的最后结果也总是实数, 并没有承认在现实中有真有「复数」形态的电流。鉴于此, 杨振宁先生说, 直到本世纪初,情况仍没有多少改变。一个例证是创立量子电动力学的薛定谔(Schrodinger)。1926年初, 据考证, 他似乎已经得到现在我们熟悉的方程

其中含有虚数单位i,是复函数, 但最后总是取实部。薛定谔因其中含虚数而对(1) 不满意, 力图找出不含复数的基本方程。于是他将上式两面求导后化简, 得到了一个没有虚数的复杂的高阶微分方程

1926年的6月6日, 薛定谔在给洛兰兹的一封长信中, 认为这一不含复数的方程(2) 「可能是一个普遍的波动方程。」这时, 薛定谔正在为消除复数而努力。但是, 到了同年的6月23日, 薛定谔领悟到这是不行的。在论文[5]中,他第一次提出: 「   是时空的复函数, 并满足复时变方程(1)。」并把(1) 称谓真正的波动方程。其内在原因是, 描写量子行为的波函数, 不仅有振幅大小, 还有相位, 二者相互联系构成整体, 所以量子力学方程非用复数不可。另一个例子是H.Weyl 在1918年发展的规范理论, 被拒绝接受, 也是因为没有考虑相因子, 只在实数范围内处理问题。后来由Fock 和London 用加入虚数i 的量子力学加以修改, Weyl 的理论才又重新复活。20 数学传播21卷2期民86年6月牛顿力学中的量全都是实数量, 但到量子力学, 就必须使用复数量。杨振宁和米尔斯在1954年提出非交换规范场论, 正是注意到了这一点, 才会把Weyl 规范理论中的相因子推广到李群中的元素, 完成了一项历史性的变革。1959年, Aharanov 和Bohm 设计一个实验, 表明向量势和数量势一样, 在量子力学中都是可以测量的,打破了「可测的物理量必须是实数」的框框。这一实验相当困难,最后由日本的Tanomura 及其同事于1982和1986先后完成。这样, 物理学中的可测量终于扩展到了复数。

 

令我惊异的是, 杨振宁教授预言, 下一个目标将是四元数进入物理学。自从1843年爱尔兰物理学家和数学家Hamiton 发现四元数之后, 他本人曾花了后半辈子试图把四元数系统, 像复数系统那样地广泛运用于数学和物理学, 开创四元数的世纪。但结果是令人失望的。人们曾评论这是「爱尔兰的悲剧」。时至今日, 一个大学数学系的毕业生可能根本不知道有四元数这回事, 最多也不过是非交换代数的一个例子而已。我还记起,1986年春, 钱学森在致中国数学会理事长王元的一封信中, 曾建议多学计算器知识, 而把研究「四元数解析」(复变函数论的推广) 的工作贬为「像上一个世纪」东西。总之, 我和许多数学工作者一样, 认为四元数发现, 只不过是「抽象的数学产物」, 不会有什么大用处的。

杨振宁向我解释了他的想法: 物理学离不开对称。除了几何对称之外, 还有代数对称。试看四元数a+bi+cj+dk , 其基本单位满足i^2 = j^2 = k^2 = −1 , 而ij = k, jk =i , ki = j ; ij = −ji , jk = −kj , ki =−ik 。像这种对称的性质在物理学中经常可以碰到。问题是这种四元数的对称还没有真正用于物理现象, 而且物理现象中的一些对称也还没有找到基本的数学源由。最近, 丘成桐等人的文章说:「我在1977年发表的一篇文章—Condition of Self-duality for SU(2) gauge fields on Euclidean fourdimensionalspace, 曾推动代数几何中稳定丛的解析处理的理论。我还没有问过数学家, 不知道这是怎么一回事。许多工作, 包括运用四元数表示的物理理论, 也许会在这种交流中逐步浮现的」。

杨振宁先生又说, 至于将复变函数论形式地推广到四元数解析理论, 由于四元数乘积的非交换性, 导数无法唯一确定, 所以不会有什么好结果出来。现在也有物理学家写成著作, 用四元数来描写现有的物理定律, 就没有引起什么注意。将来要用四元数表达的物理定律, 一定会是一组非线性微分方程组, 其解的对称性必需用四元数来表示。所以, 杨先生相信:「爱尔兰的悲剧是会变成喜剧的」。


四.     「双叶」比喻


数学和物理学的关系, 应该是十分密切的。在数学系以外的课程中, 物理系开设的数学课最多最深。「物理学公理化, 数学化」, 曾是一个时期许多大学问家追逐的目标。不过, 擅长使用数学于物理的杨振宁教授却认二者间的差别很大, 他有一个生动的双叶」比喻, 来说明数学和物理学之间的关系, 如下图。他认为数学和物理学像一对「对生」的树叶, 他们只在基部有很小的公共部分, 多数部分则是相互分离的。杨振宁先生解释说: 「它们有各自不同的目标和价值判断准则, 也有不同的传统。在它们的基础概念部分, 令人吃惊地分享着若干共同的概念, 即使如此, 每个学科仍旧按着自身的脉络在发展。」

 

本文转载自《数学传播》杂志,作者张奠宙为华东师范大学教授

 

 

posted on 2018-09-14 20:02  Eufisky  阅读(2516)  评论(0)    收藏  举报

导航