阿诺尔德给5至15岁孩子出的数学题

摘要

 LaTeX模板:Tikz

这个小册子由作者挑选或者编写的79道数学题,目的是为了思维文化的发展。大部分题目不需要普通教育外的特殊知识。然而,其中的一些题对教授也是个挑战。

 

这本书是针对中学生、大学生、教师和父母, 所有认为思维文化训练是个人发展基本要素的人们。

 

作者序

 

2004年春,一些在巴黎居住的俄罗斯人要求我帮助他们的年轻孩子以传统俄罗斯的思维发展训练。

 

我深信,这个文化最早是通过早期独立思考简单但不容易的问题来培养的(我最推荐问题1、3、13)。

 

我的长期经验表明,在校学习迟钝的C级学生可以比优秀学生更好地解决这些问题,因为他们在课堂后面的智力“堪察加”的生存“要求比管理帝国所需要的更多的能力”, 正如费加罗在博马舍的戏中所说的那样。 另一方面,A级学生在这些问题上无法弄清楚“什么东西要乘以什么”。 我甚至注意到,五岁的孩子比那些被学校训练摧残的学龄儿童更能解决这样的问题,而相应地,这些学龄前儿童又比那些忙于死记硬背的大学生们更容易找到解答。 (诺贝尔奖或菲尔兹奖得主在解决这些问题上是最糟糕的。)

 

问题

 

1.    玛莎(Masha)身上的钱买一本字母书差7戈比,美莎(Misha)身上的钱买这本书差1戈比。她们把身上的钱合起来买这本书还是不够。问这本字母书多少钱?(译者注:戈比是俄罗斯最小的货币单位)

 

2.    一个带有软木塞的瓶子售价为1.1美元,而瓶子本身比软木塞高出10美分。问软木塞值多少钱?

 

3.    一块砖的重量是一磅加半块砖的重量。 问这块砖重多少磅?

 

4.    从一桶葡萄酒中取出一勺葡萄酒放入一杯茶(未满)里。 之后,将等量的一勺玻璃杯混合液体倒入葡萄酒桶中。此时,每个容器里都有一定量的“外来”液体(玻璃杯里的酒和桶里的茶)。 问哪一种外来液体的体积更大:桶里的茶还是玻璃杯中的酒?

 

5.    两名老年妇女在黎明时离开,一名从A到B,另一名从B到A. 她们(沿着同一条路)相向而行。 她们在中午见面,但并没有停下来,并且她们每个人都以以前一样的速度继续前行。 第一位女士在下午4点抵达B,第二位女士晚上9点抵达A。 问她们是当天黎明几点出发的?

 

6.   (在一个美国标准的测验中)一个直角三角形的斜边是10英寸,此斜边上的高是6英寸。求此直角三角形的面积。

 

       过去十年,美国高中生都能成功的解答这道题。而一些从莫斯科来的俄罗斯学生却不能得到他们美国同伴的答案(30平方英寸)。这是为什么呢?

 

7.    维克多 (Victor) 的姐妹比他的兄弟多2个。问维克多的父母的女儿比儿子多几个?

 

8.    南美洲有一个圆形的湖泊。 每年的6月1日,一朵王莲花 (Victoria Regia flower) 出现在它的中心。 (它的茎从湖底部升起,它的花瓣像睡莲一样躺在水面上)。 每天花的面积加倍,至7月1日,它终于覆盖整个湖泊,然后花瓣落下,其种子下沉。 问几月几号时,花的面积是湖泊面积的一半?

 

9.    一个农夫必须把一只狼,一只山羊和一棵白菜运过河。 但是这艘船太小了,他每次只能带这三个中的一个过河。 问他怎样才能把这三个都运过河去? (狼不能和山羊单独呆在一起,山羊不能和白菜单独呆在一起。)

 

10.  白天,蜗牛在一根柱子上向上爬了3厘米。 在夜间,它睡着了,向下滑了2厘米。 这根柱子有10米高,一个美味的甜点正在柱子顶端等待蜗牛。 问蜗牛要花多少天才能品尝到甜点?

 

11.    一个猎人离开他的帐篷向南走了10公里,然后向东直行,走了10公里,射杀了一头熊,然后转身向北走了10公里后发现了自己的帐篷。问熊是什么颜色?这是在哪里发生的?

 

12.   今天中午十二时发生满潮。(在同一地点)满潮明天几点发生?

 

13.  两卷普希金的书,第一卷和第二卷,并排放在书架上。 每卷书的页面总厚度(不包含封面和封底)为2厘米,封面和封底各有2毫米厚。 书虫从第一卷第一页啃到第二卷的最后一页(垂直于页面啃咬)。问书虫的轨迹有多长?[ 这个拓扑问题有个令人难以置信的答案 — 4mm — 这对于院士来说是完全不可能的,但是一些学龄前儿童可以轻松应对。]

 

 

作者注:在提出这个问题的时候,我试图在2000年“物理学进展”杂志百周年期刊的邀请论文中说明数学家和物理学家在研究方法上的差异。 我的成功远远超过了我所想到的目标:我的设计是基于学龄前儿童的经验,与编辑们的经验不同,所以编辑们不能解决这个问题。 所以他们为了得到答案4毫米把题目改成了下面的方式:他们改成了“从第一卷的最后一页到第二卷的第一页”,而不是“从第一卷的第一页到第二卷的最后一页”。

 

这个真实的故事是如此令人难以置信,所以我要把这个题目写进来:证据是杂志发表的编辑版本。

 

14.   从上面和从前面看,某个物体(多面体)的形状如下。 画出从侧面看它的形状。 (多面体的隐藏边用虚线显示。)

俯视

             

  前视

 

15.  有多少种方法将数字64分成十个自然数之和,其中每个自然数不超过12? 只有加数顺序不同的和不能算作不同的和。

 

16.  我们有一些质地相同的块(比如,多米诺骨牌)。我们把这些块堆放起来,使得最上面的块比最底下的块移出x长度。问:x最大可能是多少?

 

17.   A镇和B镇之间的距离是40公里。 两名骑自行车的人从A和B同时离开相向而行,一个以10 km / h的速度行驶,另一个以15 km / h的速度行驶。 一只苍蝇与第一个骑手一起离开A,以100公里/小时的速度飞向第二个骑手。 苍蝇遇到第二个骑手时,触碰到他的额头,然后飞回到第一个骑手,碰到他的额头,再返回到第二个骑手,一直这样下去,直到两个骑手的额头碰撞并压扁苍蝇。 问:苍蝇一共飞行了多少公里呢?

 

18.  瓦尼亚(Vanya)解决了一个关于两个学龄前(preschool)儿童的问题。 在给定两个孩子年龄乘积的情况下,瓦尼亚必须找出他们的年龄(这是整数)。

瓦尼亚说这个问题不能解决。 老师称赞他说得对,然后给这个了问题增加了条件:大孩子的名字是佩蒂娅(Petya)。 这时瓦尼亚可以马上解决这个问题。 现在请你解答这个题。(译者注:美国的学龄前(preschool)指的是不超过5岁的孩子。)

 

 

19.  整数140 359 156 002 848是否能被整数 4 206 377 084 整除?

 

20.  一块多米诺骨牌可以覆盖棋盘的两个方格。请用31块多米诺骨牌盖满一个除去左上和右下方格(在同一对角线上)的棋盘。(一个棋盘由8×8 = 64个方格组成)

 

21.   一只毛毛虫想要从一个立方体房间的地板的左前角爬到另一个角落(天花板的右后角)。 请找出沿着房间墙壁的最短路线。

 

22.  你有两个容器:分别为5升和3升。 用它们测量出一升液体,并将液体留在其中一个容器中。

 

23.  家里有五个脑袋和十四条腿。 问家里有多少人,多少只狗?

 

24.  在三角形 ABC 的边 AB,BC 和CA的外部构造三个等边三角形。 证明这些等边三角形的中心(在图上用星号标记)构成一个等边三角形。

 

25.  用平面切割立方体得到的截面可能会是什么多边形? 我们能得到五边形吗? 七边形? 正六边形吗?

 

26.   画一条直线穿过一个立方体的中心,使得从立方体的八个顶点到它的距离的平方和为(a)最大,(b)最小(与其它这样的直线相比)。

 

27.  一个正圆锥体沿着一条闭合的曲线被一个平面切割。 圆锥体的两个内切球与平面相切,一个在A点,另一个在B点。在横截面上找到一个点C,使距离CA + CB之和为(a)最大,(b)最小。

 

28.  地球表面投射到一个圆柱体上,这个圆柱体由与经线相切的直线构成,这些直线与赤道的交点正是直线与经线的切点。这个投影是沿着平行于赤道平面的光线作出的,并通过连接地球的北极和南极的地球轴线。问:法国的投影面积是否大于或小于法国的面积呢?

 

29.  证明除奇素数p的余数为1.

 

30.  将一根10厘米长的针随机扔到格子纸上。 纸上相邻线之间的距离也是10厘米。 重复N(比如一百万)次。 问:多少次(在百分之几的误差内)针会落下与纸上的一条线相交?

 

      人们可以用N = 100而不是一百万次投掷来进行 这个实验。 (我十岁的时候做过这个实验。)

 

      这个问题的答案是令人惊讶的:(2/π)N. 而且,即使对于长度为a·10 cm的弯曲针,在N次投射中观察到的相交的次数也约为(2a/π)N. 由此得到 

 

31.  有些多面体只有三角形面。 例如某些柏拉图立体: (正)四面体(4面),八面体(8面)和二十面体(20面)。 二十面体的面全等,有12个顶点,有30个边。对于任何这样的立体图形(具有三角形面的有界凸多面体),面的个数是否等于顶点个数的两倍再减去四?

四面体

 

  八面体

   

二十面体

 

32.  还有一个柏拉图立体(总共有5个):十二面体。 它是一个凸多面体,具有12(正)五边形面,20个顶点和30条边(其顶点是二十面体的各个面的中心)。将五个立方体内接于十二面体内,其顶点也是十二面体的顶点,其边是十二面体的面的对角线。 (立方体有12条边,每条边落在十二面体的一个面上)。[ 这个构造由开普勒发明,用来描述他的行星模型。]

 

33.  两个正四面体可以内接于一个立方体中,使得它们的顶点也是立方体的顶点,它们的边是立方体面的对角线。 描述这两个四面体的相交部分。正方体体积和这两个四面体相交部分体积的比值是多少?

 

33(之二).给定正方体边上三个点,构造出通过这三点的平面与正方体的截面。[ 绘制平面与立方体相交的多边形。]

 

34.  四面体有多少个对称? 立方体? 八面体? 二十面体? 十二面体? 图形的对称是这个图形保持长度的变换。这些对称中有多少个是旋转,有多少个是平面的反射(对上面五种多面体分别作答)?

 

35.  有多少种方法可以用六种颜色(1,...,6)来涂相似立方体的六个面(每个面一种颜色),以使得到的彩色立方体中没有两个是相同的(也就是说,没有两个可以通过旋转变换变成彼此)?

 

36.  有多少种不同的方法来排列n个对象? 对于n = 3,有6种方式:(1,2,3),(1,3,2),(2,1,3),(2,3,1),(3,1,2),( 3, 2, 1)。 如果对象的个数是n = 4? n = 5? n = 6? n=10呢?

 

37.   一个立方体有4个主对角线(连接其相对的顶点)。 通过旋转立方体能得到这四个主对角线的多少种不同排列?

 

38.  一些整数和的立方减去这些整数的立方和。得到的差总能被3整除吗?

 

39.  与38题类似。问一些整数和的5次方减去这些整数的5次方和,得到的差总能被5整除吗?一些整数和的7次方减去这些整数的7次方和,得到的差总能被7整除吗?

 

40.  计算下式的和(误差不超过正确答案的1%)

 

41.  如果两个多边形具有相等的面积,则可以将它们切割成有限个的子多边形,使得重新排列这些子多边形可以得到第一个和第二个多边形。 证明这个结论。[ 对于空间体而言情况并非如此:立方体和等体积的四面体不能通过这种方式得到!]

 

42.  一张方格纸上的四个格子点是平行四边形的顶点。 事实上,在这个平行四边形的边上或其内部没有其它格子点。 证明这个平行四边形的面积等于方格纸的一个方块的面积。

 

43.   假设在问题42中,一个平行四边形内部有a 个格点,边上有b个格点。 求这个平行四边形的区域。(译者注:平行四边形的顶点不算做边上的点,见上图。)

 

44.  在三维平行六面体中有类似与43题的结果吗?

 

45.  斐波那契(“兔”)数是序列(a1=1 ),1, 2, 3, 5, 8, 13, 21, 34,... ,对于任何n = 1,2,...,.  an+2=an+1+an求 a100和 a99的最大公约数。

 

46.  沿不相交的对角线切割能将凸n边形切割成三角形。 不同的切割方式的个数称为卡塔兰 (Catalan) 数,记为 c(n)。 例如,c(4)= 2,c(5)= 5,c(6)= 14。求 c(10)?

 

47.  有n个队伍参加一个锦标赛。 每场比赛之后,负的队将被淘汰出局。经过n-1场比赛之后的胜者将成为锦标赛的冠军。比赛的赛程可用以下符号记录(例如) ( (a,(b,c)),d )。 这个记号表示有4个队伍参加。 首先b对阵c,然后赢家对阵a,最后,第二场比赛的胜者对阵d.

       如果锦标赛有10支参赛队伍,问有多少个不同的赛程?

       如果2支队伍参赛,我们只有(a,b)这一个赛程。

      如果3支队伍参赛,则可能的赛程是3个:它们是((a,b),c)或((a,c),b)或((b,c),a)。

       如果对于4支队伍参赛,我们有15种可能的赛程:

 

48.  我们用 n - 1 条线段连接n个点1,2,... , n 组成一棵树。有多少个不同的树? (即使是n = 5的情况也很有趣!)

树的个数 = 1,

树的个数=3,

树的个数=16.

 

49.  数字 {1,2,…, n} 的一个排列称为一条蛇(长度n),如果x1 < x2 > x3 < x4 >... .例如,

n=2, 只有 1 < 2,蛇的个数=1;

n=3, 1 < 3 > 2,2 < 3 > 1, 蛇的个数=2;

n=4, 1 < 3 > 2 < 4,  1 < 4 > 2 < 3,  2 < 3 > 1 < 4,  2 < 4 > 1 < 3,  3 < 4 > 1 < 2, 蛇的个数=5;

求,长度为10的蛇的个数。

 

50.  长度为n的蛇的个数记为sn。注意到

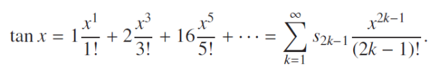
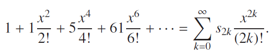
证明正弦函数的泰勒展式:

 

51.  求以下级数

 

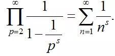
52.  对 s > 1, 证明下面的等式

 

(左边对所有素数p做乘积,右边的对所有自然数n求和)

 

(译者注:原文的右边级数求和的下标是n = 1,而不是n + 1)

 

53.  求以下级数

(证明这个级数等于π^2/6,或近似等3/2)

 

54.  求分式q/p 在最小项意义下的概率。这个概率是这样定义的:在圆盘p^2+q^2<=R^2 中, 我们用N(R) 来记圆盘中的所有满足坐标p和q互素的整数点 (p, q) 的个数, 用 M(R) 来记圆盘中所有整点的个数。这个概率等于 N(R)/M(R), 当 R趋向于无穷时的极限。(M~πR^2 )

 

55.  在45题中,我们定义了斐波那契数列。求当n趋向于无穷时,an+1/an的极限

答案是“黄金分割率”,。这个比率正是一张明信片两边的比例。在明信片上减去以此明信片短边为边长的正方形后剩下长方形的两边比率也近似于黄金分割率。黄金比例与正五边形和五角星有什么关系?

 

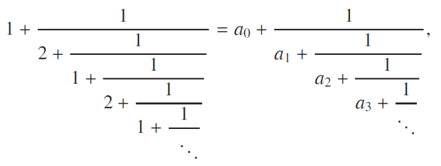
56.  计算下面无限连分数的和。

其中,a2k=1,a2k+1=2,即,求当n趋向于无穷时,下式的极限

 

57.  以多项式形式表示: y=cos 3( arccos x),  y=cos 4(arccos x),  y=cos n(arccos x), 其中|x|≤1

 

58.  计算n次单位根的k次方的和。

 

59.  在 (x, y) 平面上,作出下面参数方程定义的曲线:

 

60.  计算下面的积分(误差不超过10%)

 

61.  计算下面的积分(误差不超过10%)

 

62.  求单位球面上角度为(α,β,γ)的球面三角形的面积。(球面三角形的边长是大圆;即,过球心的平面与球面的交线。)

答案是: S=α+β+γ-π(例如,假设这个球面三角形的三个内角都是直角,则S=π/2 即球面面积的1/8)

 

63.  一个半径为r的圆在半径为1的圆内滚动(不滑动)。分别对下述情况绘制滚动圆上一个点的整个轨迹(该轨迹称为内摆线): r=1/3,r=1/4,r=p/q,r=1/2;

 

 

64.  在一个有n个学生的班级里,估计两个同学生日相同的概率。这会是一个大概率事件,还是小概率?

答案:当学生人数大于某个数n0时,概率是(非常)大的;当学生人数小于n0时,概率是(非常)小的。这题真正问的是n0具体是多少(当概率p≈1/2时)?

 

65.  斯涅尔定律(Snell’s Law)描述的是入射角 α 满足方程 n(y)sinα=常数,其中 α是光束与分层介质法线所成的夹角,n ( y ) 是层高 y 处的折射率。(如果我们假设光速在真空中为1,量n与介质中的光速成反比例。在水中,n = 4/3)。画出在介质“沙漠上的空气”中光线的轨迹,其中折射率n ( y ) 在某个高度达到最大值。(见下面的右图)

 

(对于那些理解物体发出光线的轨迹是怎样与它们的像联系的人,这道题的解答可以解释海市蜃楼现象。)

 

66.  在一个锐角三角形ABC中做出一个周长最小的内接三角形KLM(顶点K在AB边上,L在BC边上,M在CA边上)。

提示:非锐角三角形的答案并不像锐角三角形的答案那样完美。

 

67.  计算函数1/r 在以点(X,Y,Z)为圆心半径为R的球面上的均值,其中r是点 (x, y, z) 到原点的距离, 。

 

提示:这个问题与牛顿的万有引力定律和电场里的库仑定律有关。 在问题的二维版本中,给定的函数应该用ln r来代替,球面用圆来代替。

 

68.  利用2^10=1024≈10^3不难得到lg2≈0.3 ,估计近似值0.3和lg2 的差,并且计算lg2(保留小数点后3位)。

 

69. 用与68题相同的精度计算lg4,lg8,lg5,lg50,lg32,lg128,lg125 和lg64.

 

70.  利用7^2≈50计算lg7的近似值。

 

71.假设已知 lg64 和 lg7 的值,求 lg9,lg3,lg6,lg27 和lg12.

 

72.  利用 ln(1+x)≈x(其中 ln 指的是loge ),再利用关系lg a=ln a / ln10 和之前计算的lg a (例如,a=128/125, a=1024/1000等)的值来计算lg e 和 ln 10.

 

花半个小时计算后,利用第67-71题结果,我们可以得到任意数的4位对数表,其中用到了对数乘积公式和以下公式

(这也是牛顿编制40位对数表的方法!)

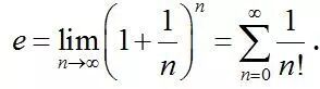
作者注:欧拉常数 e=2.71828……其严格定义为

它也可以通过公式来定义。


73.  考虑2的幂次序列:1, 2, 4, 8, 16, 32, 64, 128, 256, 512, 1024, 2048, … 在前12个数字中,4个以1开头,没有以7开头的。证明当n→∞时 每个数都可能成为2^m,0≤m≤n,的首位数,并且它们出现的频率为p1≈30%,p2≈18%……p9≈4%:

 

74.  验证3的幂次序列的首位数:1,3,9,2,8,2,7,… 证明,每个数在3的幂次序列中出现的频率和它在2的幂次序列出现的频率一致。求出p1,...,p9 的准确公式。

 

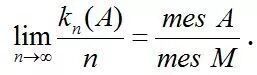
提示:x 的首位数由lg x的小数部分决定。因此,我们需要考虑 ma 小数部分的序列,其中a=lg2。证明这些小数部分在 [0,1] 内均匀分布:n 个ma的小数部分,  且 0<=m<n,且的长度,其中A是一个子区间,kn(A)是子区间包含的n个小数部分序列落在子区间A中的个数。  

 

75.  设g:M→M 是一个有界域到自身的一对一的光滑映射,g保持这个域的面积(体积,在高维的情形)。证明:在M中任一点的任意领域U中,对于任意数N,存在一个点x和某个整数T>N 使得(回归定理)。

 

76. 令M是一个环面( 坐标为(α(mod2π),β(mod2π)) ), g(α,β)=(α+1,β+2^(1/2))  .证明:对于M上任一点x,序列,T=1,2,...在环面M上稠密。

 

77.  记号同76题。令g(α,β)=(2α+β,α+β)(mod2π) . 证明环面上存在一个处处稠密的子集,由x 的周期点构成(即,对某个整数T(x)>0, 有有下面式子成立)

 

78.  继续77题中的记号,证明对于环面上的几乎所有点x,点的序列,T=1,2,...在环面上处处稠密(即,不满足以上性质的点x构成的集合测度为0).

 

79.  在76和78题中,证明序列,T=1,2,...在环面上一致分布:如果一个域A包含n个点中的kn(A)个点,T=1,2,…,n,则 

(例如,对一个约当可测集A,其测度为mes A.)

 

(翻译自阿诺德的书《讲义和问题:给青年数学家的礼物》, V. I. Arnold,Lectures and Problems: A Gift to Young Mathematicians)

 

posted on 2018-01-25 12:00  Eufisky  阅读(17708)  评论(0)    收藏  举报

导航