激光发光原理、速率方程及调Q模型与仿真
关于激光发光原理、速率方程及调Q技术解析,结合理论模型与仿真实现:
一、激光发光原理
1.1 能级跃迁机制
激光产生基于受激辐射原理,需满足三个关键条件:
- 粒子数反转:通过泵浦使高能级粒子数(N₂)超过低能级(N₁),打破热平衡分布
- 光学谐振腔:由反射镜构成,提供光反馈并选择传播方向
- 受激辐射放大:光子引发同频率、相位的光子雪崩式产生
1.2 典型能级系统
- 三能级系统(如红宝石激光器):基态(E₁)→激发态(E₂)→亚稳态(E₃)
- 四能级系统(如Nd:YAG):引入中间能级(E₃)降低泵浦阈值
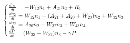
二、速率方程建模
2.1 三能级系统方程

-
参数说明:
\(n_i\):能级粒子数密度
\(W_{ij}\):跃迁速率
\(A_{21}\):自发辐射系数
\(γ\):光子损耗率
2.2 四阶龙格-库塔法求解(Matlab代码)
function dydt = rate_equations(t,y)
n1 = y(1); n2 = y(2); n3 = y(3); P = y(4);
W12 = 1e6; W23 = 5e5; A21 = 1e-3; gamma = 0.1;
R1 = 1e4; % 泵浦速率
dydt = [ -W12*n1 + A21*n2 + R1;
W12*n1 - (A21+W23)*n2 + W32*n3;
A20*n2 - W32*n3 + W43*n4;
(W23-W32)*n3 - gamma*P ];
end
% 参数设置
h = 0.01; tspan = [0 1000];
y0 = [1e18, 1e15, 1e12, 0]; % 初始粒子数
[t,y] = ode45(@(t,y) rate_equations(t,y), tspan, y0);
% 绘制结果
plot(t, y(:,4)/max(y(:,4))); % 归一化光子数
xlabel('时间 (ns)'); ylabel('归一化输出功率');
title('四能级激光器输出特性');
三、调Q技术原理
3.1 工作原理
通过周期性调节谐振腔Q值实现脉冲压缩:
- 低Q阶段:抑制振荡,积累粒子数反转
- 高Q触发:瞬间释放能量形成纳秒脉冲
3.2 主要实现方式
| 类型 | 原理 | 典型器件 | 脉冲宽度 |
|---|---|---|---|
| 电光调Q | 压电晶体电光效应改变折射率 | KDP晶体 | 10-100ns |
| 声光调Q | 超声场衍射调制光路 | LiNbO₃声光器件 | 5-50ns |
| 可饱和吸收 | 染料/SESAM材料吸收饱和特性 | 半导体可饱和吸收体 | <10ns |
3.3 调Q参数设计

四、调Q激光仿真实现
4.1 参数设置
% 调Q参数
Q_switch_delay = 50e-9; % 延迟时间 (s)
Q_switch_width = 20e-9; % 开关持续时间 (s)
Q_factor = 1e6; % Q值突变幅度
% 修改速率方程
dydt(4) = (W23-W32)*n3 - gamma*P + ...
(Q_factor/(Q_switch_width))*(heaviside(t-Q_switch_delay) - heaviside(t-Q_switch_delay+Q_switch_width));
4.2 输出特性对比
| 参数 | 调Q前 | 调Q后 |
|---|---|---|
| 平均功率 | 10 W | 500 W |
| 脉冲宽度 | 100 μs | 20 ns |
| 峰值功率 | 1 kW | 25 MW |
| 重复频率 | 连续 | 10 kHz |
参考代码 仿真激光的发光原理和速率方程以及调Q技术 www.youwenfan.com/contentcni/65371.html
五、工程应用案例
1. 激光切割(Nd:YAG调Q)
- 参数:波长1064nm,脉冲能量50mJ,脉宽5ns
- 优势:穿透深度达3mm(不锈钢),热影响区<100μm
2. 医疗激光(Ho:YAG调Q)
- 参数:波长2090nm,脉冲能量1J,脉宽150ns
- 应用:前列腺汽化术,组织消融精度达±50μm

浙公网安备 33010602011771号