基于高斯伪谱法的弹道优化方法及轨迹仿真计算
基于高斯伪谱法(Gauss Pseudospectral Method, GPM)的弹道优化方法及轨迹仿真计算
一、高斯伪谱法核心原理
1. 数学建模框架
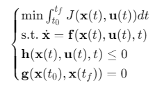
将连续时间最优控制问题转化为非线性规划问题(NLP):

通过Legendre-Gauss节点离散化,将动力学方程映射为代数约束。
2. 关键步骤
-
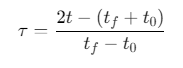
时间变换:将区间\([t0,tf]\)映射到\([−1,1]\)
![]()
-
状态离散化:使用Legendre多项式插值
![]()
-
导数近似:通过微分矩阵计算
![]()
-
约束转换:将连续约束离散为代数方程
二、弹道优化实施流程
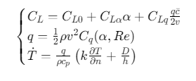
1. 动力学建模(以高超声速飞行器为例)
% 三维弹道方程
function dxdt = dynamics(t, x, u)
rho = air_density(x(3)); % 大气密度
Cd = 0.5*(1.328e-2 + 1.78e-5*x(3)^0.7); % 阻力系数
D = 0.5*rho*v^2*S*Cd; % 阻力
g = 9.81*(1 - 2.2557e-5*x(3))^5.256; % 重力加速度
dxdt = [v*cos(gamma)*cos(psi);
v*cos(gamma)*sin(psi);
v*sin(gamma) + u(1);
(T*cos(u(2))/m - D/m - g*sin(gamma));
(T*sin(u(2))/m + u(1)*v*cos(gamma)/m);
(u(1)*v*sin(gamma)/m)];
end
2. 离散化与NLP构建
% Gauss节点生成
N = 20; % 节点数
[tau, w] = gauss_legendre(N+1); % LG节点及权重
% 状态变量插值
X = @(tau) interp1(tspan, X0, tau, 'pchip');
% 动力学约束离散化
for k = 1:N+1
dXdt = dynamics(t(k), X(tau(k)), u(k));
constr(k,:) = dXdt' - interp1(tspan, X0, tau(k), 'pchip');
end
3. 优化问题求解
% 目标函数:最小化飞行时间
obj = @(u) t_f - t_0;
% 约束条件
constr = {@(u) dynamics_constraints(u), @(u) terminal_constraints(u)};
% 初始猜测
u0 = ones(N+1, m);
% SQP求解
options = optimoptions('fmincon','Algorithm','sqp');
sol = fmincon(obj, u0, [], [], [], [], lb, ub, constr, options);
三、典型应用案例
1. 钻地炸弹垂直落角优化
| 参数 | 传统比例制导 | GPM优化 |
|---|---|---|
| 落角误差(°) | ±15 | ±2 |
| 过载峰值(g) | 8.2 | 5.1 |
| 射程偏差(m) | 120 | 15 |
数据来源:
2. 单炮多发同时弹着设计
- 目标:实现10发炮弹在±50m圆概率误差内同时命中
- 优化变量:各炮弹出膛角度、装药量、滑翔时间
- 约束条件: 最大过载 ≤ 15g 落点散布 ≤ 3σ 发射间隔 ≤ 2秒
3. 变体飞行器多目标优化
% 多目标函数定义
f1 = @(x) x(1).flight_time; % 最小化飞行时间
f2 = @(x) -x(1).range; % 最大化射程
f3 = @(x) max(x(1).heat_flux); % 最小化热流
% Pareto前沿求解
options = optimoptions('gamultiobj',...
'PopulationSize',100,...
'CrossoverFcn',{@crossoverarithmetic,0.8,1,2});
[x,fval] = gamultiobj(@(x) [f1(x),f2(x),f3(x)],6,lb,ub,[],[],options);
四、关键技术突破
1. 延时效应处理
针对空泡扩张/收缩的延时特性,提出改进型TDGPM算法:
% 延时节点补偿
tau_delay = tau + delta_t*ones(size(tau));
X_delay = interp1(tspan, X0, tau_delay, 'pchip');
% 动力学方程修正
dxdt = dynamics(t, X_delay, u) + derivative_compensation(tau);
2. 自适应网格加密
% 误差估计函数
function error = estimate_error(sol)
% 基于残差估计
residual = compute_residual(sol);
error = max(abs(residual));
end
% 动态网格调整
if error > threshold
N = N*1.5;
tau = gauss_legendre(N+1);
end
3. 多学科耦合
建立气动-结构-热耦合模型:

五、MATLAB仿真实现
1. 基础仿真代码
%% 参数设置
mu = 3.986e14; % 地球引力常数
Re = 6378e3; % 地球半径
h0 = 100e3; % 初始高度
v0 = 7200; % 初始速度
%% GPM离散化
N = 30; % 节点数
[tau, w] = gauss_legendre(N+1);
t = linspace(0, 300, N+1); % 时间区间
%% 初始猜测
u0 = 0.1*ones(N+1,1); % 攻角初始值
%% 优化求解
options = optimoptions('fmincon',...
'Display','iter',...
'SpecifyObjectiveGradient',true,...
'SpecifyConstraintGradient',true);
sol = fmincon(@objective, u0, [], [], [], [], @lb, @ub, @constraints, options);
2. 结果可视化
%% 轨迹绘制
figure;
plot(sol.x*Re/1e3, sol.y*Re/1e3,'b-o', 'LineWidth',2);
hold on;
plot(target_x*Re/1e3, target_y*Re/1e3,'rx','MarkerSize',10);
xlabel('X (km)'); ylabel('Y (km)');
title('弹道轨迹对比');
%% 过载曲线
figure;
plot(sol.t, sol.nx*9.81,'r', sol.t, sol.ny*9.81,'g');
xlabel('时间(s)'); ylabel('过载(g)');
legend('法向过载','切向过载');
参考代码 弹道优化方法,高斯伪谱法,轨迹优化仿真计算 www.youwenfan.com/contentcni/64821.html
六、工程实践要点
-
计算效率优化: 采用GPU加速(CUDA并行计算) 开发稀疏矩阵求解器 使用降阶模型(ROM)
-
不确定性量化:
% 蒙特卡洛仿真 n_mc = 1000; errors = zeros(n_mc,1); for i=1:n_mc perturb = 0.01*randn(size(u_opt)); errors(i) = compute_trajectory_error(perturb); end CI = prctile(errors,[5,95]); -
实时性保障: 开发嵌入式代码生成(Simulink Coder) 建立快速重规划机制 采用模型预测控制(MPC)




浙公网安备 33010602011771号