会员
众包
新闻
博问
闪存
赞助商
HarmonyOS
Chat2DB
所有博客
当前博客
我的博客
我的园子
账号设置
会员中心
简洁模式
...
退出登录
注册
登录
北极星!
最迷人的地方不是远方,而是在这里却没有欣赏到此刻的美丽—北极星!
首页
新随笔
管理
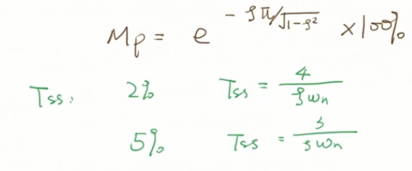
12_二阶系统的性能分析与比较_科学分析方法
我们向往远方,却忽略了此刻的美丽
posted @
2021-01-27 19:20
北极星!
阅读(
264
) 评论(
0
)
收藏
举报
刷新页面
返回顶部
公告