图的边存储--链式前向星
链式前向星是在看差分约束的题的时候偶然间看到的,一开始没太重视它,感觉好像没怎么听说过。还要定义结构体,而且需要辅助数组,感觉挺麻烦的。还不如直接用STL的vector+pair定义的邻接表好用。但是后来发现大家写SPFA的时候都用的链式前向星,感觉还是写个博客学习一下吧,以前都没听说过,太菜了。。。
边存储结构存的都是有向边!!!
优缺点
优点
- 适用范围广,基本上所有图论的题都能用链式前向星来存储。
- 存储效率高,像邻接表一样不会存储不存在的边
- 可以用来替代邻接表,用vector实现邻接表好像容易爆内存(看别人说的)好像也确实,vector在容量不够时会重新开辟一个两倍于原来大小的数组。
缺点
- 邻接表的缺点它都有,
- 无法判断重边(必须遍历查找)
- 无法操作某个特定的边(必须遍历查找)
- 相对于邻接矩阵来说不容易实现和理解
代码实现
struct Edge
{
int net;//1.
int to;
int w;
}edge[maxn];
int head[maxn], cnt=0;//2.
void add_dege(int u, int v, int w)
{
edge[cnt].to = v;
edge[cnt].net = head[u];//3.
edge[cnt].w = w;
head[u] = cnt++;
}
for(int i=head[u]; i!=-1; i=edge[i].net)//4.
注释:
- net是next,有时候定义next可能会和系统关键字重复,所以定义为net。net指向当前边的出发结点的下一条边在edge数组中的下标。SPFA是一个bfs的过程,进行广搜时会先遍历某个顶点的所有出边,net即指向当前结点的下一条出边。to即当前边的尾结点。w即权重。
- head[u]即存储u结点的第一个出边在edge数组中的下标。cnt即记录当前存储到edge数组的第几位了,用来设置数组下标。
- 链式前向星是反着存储的,即先输入的边存在后面,有些类似于栈,后进先出。当a的第一条出边存入edge数组中,net等于head[u],即-1。(所有head初始化为-1,-1表示没有边存入)之后head[u]被赋值为cnt,即刚输入的那条边在edge数组中的下标。当a的第二条边存入edge数组时,net等于head[u],此时head[u]存的是上一次存储以u为出边的边在edge数组中的下标。每次head[u]存储的都是上一个u的边,所以遍历的时候是先遍历最后输入u的边。
- 链式前向星遍历结点u所有出边的方法,当等于-1时表示没有下一条边了,遍历结束。
举例

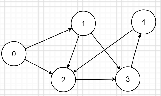
输入顺序为:
| u = 0 | v = 1 |
|---|---|
| u = 1 | v = 3 |
| u = 0 | v = 2 |
| u = 2 | v = 3 |
| u = 1 | v = 2 |
| u = 3 | v = 4 |
| u = 4 | v = 2 |
手动模拟一下
| edge[0].to = 1 | edge[0].net = -1 | head[0] = 0 | cnt = 0 |
|---|---|---|---|
| edge[1].to = 3 | edge[1].net = -1 | head[1] = 0 | cnt = 1 |
| edge[2].to = 2 | edge[2].net = 0 | head[0] = 2 | cnt = 2 |
| edge[3].to = 3 | edge[3].net = -1 | head[2] = 0 | cnt = 3 |
| edge[4].to = 2 | edge[4].net = 0 | head[1] = 4 | cnt = 4 |
| edge[5].to = 4 | edge[5].net = -1 | head[3] = 5 | cnt = 5 |
| edge[6].to = 2 | edge[6].net = -1 | head[4] = 6 | cnt = 6 |
上图中0的出边有两条,在edge数组中的存储位置分别为0、2,最后head[0] = 2;当遍历以0为起点的边时,先从edge[2]开始遍历,可发现edge[2].net = 0;即以0为起点的最后一条边。可看出,遍历和输入顺序是相反的,但是并不影响结果。

浙公网安备 33010602011771号