大一统视角理解扩散模型Understanding Diffusion Models: A Unified Perspective
大一统视角理解扩散模型Understanding Diffusion Models: A Unified Perspective
MLNLP社区是国内外知名的机器学习与自然语言处理社区,受众覆盖国内外NLP硕博生、高校老师以及企业研究人员。
社区的愿景是促进国内外自然语言处理,机器学习学术界、产业界和广大爱好者之间的交流和进步,特别是初学者同学们的进步。
转载自 | 极市平台
作者 | 中森
来源 | https://zhuanlan.zhihu.com/p/558937247
1
『资料来源』
这篇文章是近期笔者阅读扩散模型的一些技术博客和概览的一篇梳理。主要参考的内容来自Calvin luo的论文,针对的对象主要是对扩散模型已经有一些基础了解的读者。Calvin luo 的这篇论文为理解扩散模型提供了一个统一的视角,尤其是其中的数理公式推导非常详尽,本文将试图尽量简要地概括一遍大一统视角下的扩散模型的推导过程。在结尾处,笔者附上了一些推导过程中的强假设的思考和疑惑,并简要讨论了下扩散模型应用在自然语言处理时的一些思考。
本篇阅读笔记一共参考了以下技术博客。其中如果不了解扩散模型的读者可以考虑先阅读lilian-weng的科普博客。Calvin-Luo的这篇介绍性论文在书写的时候经过了包括Jonathan Ho(DDPM作者), SongYang博士 和一系列相关扩散模型论文的发表者的审核,非常值得一读。
-
What are Diffusion Models? by Lilian Weng
-
Generative Modeling by Estimating Gradients of the Data Distribution by Song Yang
-
Understanding Diffusion Models: A Unified Perspective by Calvin Luo
生成模型希望可以生成符合真实分布(或给定数据集)的数据。我们常见的几种生成模型有GANs,Flow-based Models, VAEs, Energy-Based Models 以及我们今天希望讨论的扩散模型Diffusion Models. 其中扩散模型和变分自编码器VAEs, 和基于能量的模型EBMs有一些联系和区别,笔者会在接下来的章节阐述。
常见的几种生成模型

『ELBO & VAE』
在介绍扩散模型前,我们先来回顾一下变分自编码器VAE。我们知道VAE最大的特点是引入了一个潜在向量的分布来辅助建模真实的数据分布。那么为什么我们要引入潜在向量?有两个直观的原因,一个是直接建模高维表征十分困难,常常需要引入很强的先验假设并且有维度诅咒的问题存在。另外一个是直接学习低维的潜在向量,一方面起到了维度压缩的作用,一方面也希望能够在低维空间上探索具有语义化的结构信息(例如图像领域里的GAN往往可以通过操控具体的某个维度影响输出图像的某个具体特征)。
引入了潜在向量后,我们可以将我们的目标分布的对数似然logP(x),也称为“证据evidence“写成下列形式:
z是隐变量, p是去噪分布, q是加噪音分布.
ELBO的推理过程
其中,我们重点关注式15. 等式的左边是生成模型想要接近的真实数据分布(evidence),等式右边由两项组成,其中第二项的KL散度因为恒大于零,所以不等式恒成立。如果在等式右边减去该KL散度,则我们得到了真实数据分布的下界,即证据下界ELBO。对ELBO进行进一步的展开,我们就可以得到VAE的优化目标
ELBO等式的展开
对该证据下界的变形的形式,我们可以直观地这么理解:证据下界等价于这么一个过程,我们用编码器将输入x编码为一个后验的潜在向量分布q(z|x)。我们希望这个向量分布尽可能地和真实的潜在向量分布p(z)相似,所以用KL散度约束,这也可以避免学习到的后验分布q(z|x)坍塌成一个狄拉克delta函数(式19的右侧)。
{ps:狄拉克δ函数是一个广义函数,在物理学中常用其表示质点、点电荷等理想模型的密度分布,该函数在除了零以外的点取值都等于零,而其在整个定义域上的积分等于1}
而得到的潜在向量我们用一个解码器重构出原数据,对应的是式19的左边P(x|z)。
VAE为什么叫变分自编码器。变分的部分来自于寻找最优的潜在向量分布q(z|x)的这个过程。自编码器的部分是上面提到的对输入数据的编码,再解码为原数据的行为。
那么提炼一下为什么VAE可以比较好地贴合原数据的分布?因为根据上述的公式推导我们发现:原数据分布的对数似然(称为证据evidence)可以写成证据下界加上我们希望近似的后验潜在向量分布\(q_{\phi}(z|x)\)和真实的潜在向量分布\(p(z|x)\)间的KL散度(即式15)。如果把该式写为A = B+C的形式。因为evidence(即A)是个常数(与我们要学习的参数无关),所以最大化B,也就是我们的证据下界,等价于最小化C,也即是我们希望拟合的分布和真实分布间的差别。而因为证据下界,我们可以重新写成式19那样一个自编码器的形式,我们也就得到了自编码器的训练目标。优化该目标,等价于近似真实数据分布,也等价于用变分手法来优化后验潜在向量分布q(z|x)的过程。
但VAE自身依然有很多问题。一个最明显的就是我们如何选定后验分布q_phi(z|x)。绝大多数的VAE实现里,这个后验分布被选定为了一个多维高斯分布。但这个选择更多的是为了计算和优化的方便而选择。这样的简单形式极大地限制了模型逼近真实后验分布的能力。VAE的原作者kingma曾经有篇非常经典的工作就是通过引入normalization flow[1]在改进后验分布的表达能力。而扩散模型同样可以看做是对后验分布q_phi(z|x)的改进。
3
『Hierarchical VAE』
下图展示了一个变分自编码器里,潜在向量和输入间的闭环关系。即从输入中提取低维的潜在向量后,我们可以通过这个潜在向量重构出输入。
VAE里潜在向量与输入的关系
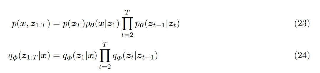
很明显,我们认为这个低维的潜在向量里一定是高效地编码了原数据分布的一些重要特性,才使得我们的解码器可以成功重构出原数据分布里的各式数据。那么如果我们递归式地对这个潜在向量再次计算“潜在向量的潜在向量”,我们就得到了一个多层的HVAE,其中每一层的潜在向量条件于所有前序的潜在向量。但是在这篇文章里,我们主要关注具有马尔可夫性质的层级变分自编码器MHVAE,即每一层的潜在向量仅条件于前一层的潜在向量。

MHVAE里的潜在向量只条件于上一层
对于该MHVAE,我们可以通过马尔可夫假设得到以下二式
\(马尔科夫假设值得是: p(z_1|z_2....z_n)=p(z_1|z_2)等\)

23和24式是用链式法则对依赖图里的关系的拆解
对于该MHVAE,我们可以用以下步骤推导其证据下界

MHVAE的变分下界推导
4
『Variation Diffusion Model』
我们之所以在谈论扩散模型之前,要花如此大的篇幅介绍VAE,并引出MHVAE的证据下界推导是因为我们可以非常自然地将扩散模型视为一种特殊的MHVAE,该MHVAE满足以下三点限制(注意以下三点限制也是整个扩散模型推断的基础):
潜在向量Z的维度和输入X的维度保持一致。
每一个时间步的潜在向量都被编码为一个仅依赖于上一个时间步的潜在向量的高斯分布。
每一个时间步的潜在向量的高斯分布的参数,随时间步变化,且满足最终时间步的高斯分布满足标准高斯分布的限制。
因为第一点维度一致的原因,在不影响理解的基础上,我们将MHVAE里的Zt表示为Xt(其中x0为原始输入),则我们可以将MHVAE的层级潜在向量依赖图,重新画为以下形式(即将扩散模型的中间扩散过程当做潜在向量的层级建模过程):

扩散过程的直观解释:在数据x0上不断加高斯噪声直至退化为纯噪声图像Xt
直至这里,我们终于见到了我们熟悉的扩散模型的形式。
而在将上面的公式25-28里的Zt与Xt替换后,我们可以得到VDM里证据下界的推导公式里的前四行,即公式34-37。并且在此基础上,我们可以继续往下推导。37至38行的变换是链式法则的等价替换(或上述公式23和24的变换),38至39行是连乘过程的重组,39至40行是对齐连乘符号的区间,40至41行应用了Log乘法的性质,41至42继续运用该性质进一步拆分,42至43行是因为和的期望等于期望的和,43至44是因为期望目标与部分时间步的概率无关可以直接省去,44至45步是应用了KL散度的定义进行了重组。
图片
VDM的证据下界推导
至此,我们又一次将原数据分布的对数似然,转化为了证据下界(公式37),并将其转化为了几项非常直观的损失函数的加和形式(公式45),他们分别为:
重构项,即从潜在向量x1到原数据x0的变化。在VAE里该重构项写为logP(x|z),而在这里我们写做logP(x0|x1)
先验匹配项。回忆我们上述提到的MHVAE里最终时间步的高斯分布应建立为标准高斯分布
一致项。该项损失是为了使得前向加噪过程和后向去噪的过程中,Xt的分布保持一致。直观上讲,对一个更混乱图像的去噪应一致于对一个更清晰的图像的加噪。而因为一致项的损失是定义于所有时间步上的,这也是三项损失里最耗时计算的一项。
虽然以上的公式推导给了我们一个非常直观的证据下界,并且由于每一项都是以期望来计算,所以天然适用蒙特卡洛方法来近似,但如果优化该证据下界依然存在几个问题:
我们的一致项损失是一项建立在两个随机变量(Xt-1, Xt+1)上的期望。他们的蒙特卡洛估计的方差大概率比建立在单个独立变量上的蒙特卡洛估计的方差大。
我们的一致项是定义于所有时间步上的KL散度的期望和。对于T取值较高的情况(通常扩散模型T取2000左右),该期望的方差也会很大。
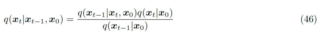
所以我们需要重新推导一个证据下界。而这个推导的关键将着眼于以下这个观察:我们可以将扩散过程的正向加噪过程q(xt|xt-1)重写为q(xt|xt-1, x0)。之所以这样重写的原因是基于马尔可夫假设,这两个式子完全等价。于是对这个式子使用贝叶斯法则,我们可以得到式46.(使用条件概率的贝叶斯公式)

公式的表达约定:左边表示 \(x_t在x_t-1,x_0下的条件概率\), 先看竖线表示谁对于谁的条件概率. 然后再看逗号用来表示一些事件的交事件.
对前向加噪过程使用马尔可夫假设和贝叶斯法则后的公式
基于公式46,我们可以重写上面的证据下界(式37)为以下形式:其中式47,48和式37,38一致。式49开始,分母的连乘拆解由从T开始改为从1开始。式50基于上文提及的马尔可夫假设对分母添加了x0的依赖。式51用log的性质拆分了对数的目标。式52代入了式46做了替换。式53将划掉的分母部分连乘单独提取出来后发现各项可约剩下式54部分的log(q(x1|x0)/q(xT|x0))。式54用log的性质消去了q(x1|x0)得到了式55。式56用log的性质拆分重组了公式,式57如同前述式43-44的变换,省去了无关的时间步。式58则用了KL散度的性质。
图片
应用了马尔可夫假设的扩散模型证据下界推导1
图片
应用了马尔可夫假设的扩散模型证据下界推导2
至此,我们应用了马尔可夫假设得到了一个更优的证据下界推导。该证据下界同样包含几项直观的损失函数:
重构项。该重构项与上面提及的重构项一致。
先验匹配项。与上面提及的形式略有差别,但同样是基于最终时间步应为标准高斯的先验假设
去噪匹配项。与上面提及的一致项的最大区别在于不再是对两个随机变量的期望。并且直观上理解p(xt-1|xt)代表的是后向的去噪过程,而q(xt-1|xt, x0)代表的是已知原始图像和目标噪声图像的前向加噪过程。该加噪过程作为目标信号,来监督后向的去噪过程。该项解决了期望建立于两个随机变量上的问题。
注意,以上的推导完全基于马尔可夫的性质所以适用于所有MHVAE,所以当T=1的时候,以上的证据下界和VAE所推导出的证据下界完全一致!并且本文之所以称为大一统视角,是因为对于该证据下界里的去噪匹配项,不同的论文有不同的优化方式。但归根结底,他们的本质互相等价,且皆由该式展开推导得到。下面我们会从扩散模型的角度做公式推导,来展开计算去噪匹配项。(注意第一版的推导里的一致项,也完全可以通过下一节的方式得到q和p的表达式,再通过KL来计算解析式)
5
『Diffusion Model recap』
在扩散模型里,有几个重要的假设。其中一个就是每一步扩散过程的变换,都是对前一步结果的高斯变换(上一节MHVAE的限制条件2):
图片
与MHVAE不同,编码器侧的潜在向量分布并不经过学习得到,而是固定为线性高斯模型
这一点和VAE有很大不同。VAE里编码器侧的潜在向量的分布是通过模型训练得到的。而扩散模型里,前向加噪过程里的每一步都是基于上一步结果的高斯变换。其中 alpha_t 一般当作超参设置得到。这点对于我们计算扩散模型的证据下界有很大帮助。因为我们可以基于输入x0确切地知道前向过程里的某一步的具体状态,从而监督我们的预测。
基于式31,我们可以递归式地对x0不断加噪变换,得到最终xt的表达式:
图片
xt可以写为关于x0的一个高斯分布的采样结果
所以对于式58里噪音匹配项里的监督信号,我们可以重写成以下形式,其中根据式70,我们可以得到q(xt|x0)和q(xt-1|x0)的表达式,而q(xt|xt-1, x0)因为是前向扩散过程,可以应用马尔可夫性质看做q(xt|xt-1)使用式31得到具体表达式。
图片
式58里的监督信号可以通过x0计算具体的值
代入每一项q所代表的高斯函数表达式后,我们最后可以得到一个新的高斯分布表达式,其中每一项都是具体可求的:
图片
q(xt-1|xt,x0)的解析形式
参考已经证明了前向加噪过程可以写为一个高斯分布了。在扩散模型的初始论文[2]里提到,对于一个连续的高斯扩散过程,其逆过程与前向过程的方程形式(functional form)一致。所以我们将对去噪匹配项里的p_theta(xt-1|xt)也采用高斯分布的形式(更加具体的一些推导放在了末尾的补充里)。注意式58里,对两个高斯分布求KL散度,其解析解的形式如下:
图片
两个高斯分布的KL散度解析解
我们现在已知其中一个高斯分布(左侧)的参数,现在如果我们令右侧的高斯分布和左侧高斯分布的方差保持一致。那么优化该KL散度的解析式将简化为以下形式:
图片
式58的噪音匹配项简化为最小化前后向均值的预测误差
如此一来式58的噪音匹配项就被简化为最小化前后向均值的预测误差(式92)。读者请注意,以下的大一统的三个角度来看待Diffusion model,实质上都是对式92里mu_q的不同变形所推论出来的。 其中mu_q是关于xt, x0的函数,而mu_theta是关于xt和t的函数。其中通过式84,我们有mu_q的准确计算结果,而因为mu_theta是关于xt的函数。我们可以将其写为类似式84的形式(注意,有关为什么可以忽略方差并且让均值选取这个形式放在了最末尾的补充讨论里。但关于这个形式的选择的深层原因实质上开辟了一个全新的领域来研究,并且关于该领域的研究直接导向了扩散模型之后的一系列加速采样技术的出现)
图片
将后向预测的均值写为类似前向加噪的形式
比较式84与94可知,x_hat是我们通过噪音数据xt来预测原始数据x0的神经网络。那么我们可以将式58里证据下界的噪音匹配项,最终写为
图片
噪声匹配项的最终形式
那么,我们最后得到扩散模型的优化,最终表现为训练一个神经网络,以任意时间步的噪音图像为输入,来预测最初的原始图像!此时优化目标转化为了最小化预测误差。同时式58上的对所有时间步的噪音匹配项求和的优化,可以近似为对每一时间步上的预测误差的期望的最小值,而该优化目标可以通过随机采样近似:
图片
该优化目标可以通过随机采样实现
6
『Three Equivalent Perspective』
为什么Calvin Luo的这篇论文叫做大一统视角来看待扩散模型?以上我们花了不菲的篇幅论证了扩散模型的优化目标可以最终转化为训练一个神经网络在任意时间步从xt预测原始输入x0。以下我们将论述如何通过对mu_q不同的推导得到类似的角度看待扩散模型。
首先,我们已经知道给定每个时间步的噪声系数alpha_t之后,我们可以由初始输入x0递归得到xt。同理,给定xt我们也可以求得x0。那么对式69重置后,我们可以得到式115.
图片
将式69里的xt和x0关系重置后可得式115
重新将式115代入式84里,我们所得的关于时间步t的真实均值表达式mu_q后,我们可以得到以下推导:
图片
在推导真实均值时替换x0
注意在上一次推导的过程中,mu_q里的xt在计算kl散度的解析式时被抵消掉了,而x0我们采取的是用神经网络直接拟合的策略。而在这一次的推导过程中,x0被替换成了关于xt的表达式(关于alpha_bar和epsilon_0)后,我们可以得到mu_q的新的表达式,依旧关于xt,只是不再与x0相关,而是与epsilon_0相关(式124)。其中,和式94一样,我们忽略方差(将其设为与前向一致)并将希望拟合的mu_theta写成与真实均值mu_q一样的形式,只是将epsilon_0替换为神经网络的拟合项后我们可以得到式125。
图片
与上次推导时替换x0为神经网络所拟合项一样,这次换为拟合初始噪声项
将我们新得到的两个均值表达式重新代入KL散度的表达式里,xt再次被抵消掉(因为mu_theta和mu_q选取的形式一致)最终只剩下epsilon_0和epsilon_theta的差值。注意式130和式99的相似性!
图片
最终对证据下界里的去噪匹配项的优化可以写成关于初始噪声和其拟合项的差的最小化
至此,我们得到了对扩散模型的第二种直观理解。对于一个变分扩散模型VDM,我们优化该模型的证据下界既等价于优化其在所有时间步上对初始图像的预测误差的期望,也等价于优化在所有时间步上对噪声的预测误差的期望! 事实上DDPM采取的做法就是式130的做法(注意DDPM里的表达式实际上用的是epsilon_t,关于这点在文末也会讨论)。
下面笔者将概括第三种看待VDM的推导方式。这种方式主要来自于SongYang博士的系列论文,非常直观。并且该系列论文将扩散模型这种离散的多步去噪过程统一成了一个连续的随机微分方程(SDE)的特殊形式。SongYang博士因此获得了ICLR2021的最佳论文奖!后续来自清华大学的基于将该SDE转化为常微分方程ODE后的采样提速论文,也获得了2022ICLR的最佳论文奖!关于该论文的一些细节和直观理解,SongYang博士在他自己的博客里给出了非常精彩和直观的讲解。有兴趣的读者可以点开本文初始的第二个链接查看。以下只对大一统视角下的第三种视角做简短的概括。
第三种推导方式主要基于Tweedie's formula.该公式主要阐述了对于一个指数家族的分布的真实均值,在给定了采样样本后,可以通过采样样本的最大似然概率(即经验均值)加上一个关于分数(score)预估的校正项来预估。注意score在这里的定义是真实数据分布的对数似然关于输入xt的梯度。即
图片
score的定义
根据Tweedie's formula,对于一个高斯变量z~N(mu_z, sigma_z)来说, 该高斯变量的真实均值的预估是:
图片
Tweedie's formula对高斯变量的应用
我们知道在训练时,模型的输入xt关于x0的表达式如下
图片
上文里的式70
我们也知道根据Tweedie's formula的高斯变量的真实均值预估我们可以得到下式
图片
将式70的方差代入Tweedie's formula
那么联立两式的关于均值的表达式后,我们可以得到x0关于score的表达式133
图片
将x0写为关于score的表达式
如上一种推导方式所做的一样,再一次重新将x0的表达式代入式84对真实均值mu_q的表达式里:(注意式135到136的变形主要在分子里最右边的alpha_bar_t到alpha_t, 约去了根号下alpha_bar_t-1)
图片
将x0的关于score表达式代入式84
同样,将mu_theta采取和mu_q一样的形式,并用神经网络s_theta来近似score后, 我们得到了新的mu_theta的表达式143。
图片
关于score的mu_theta的表达式
再再再同样,和上种推导里的做法一样,我们再将新的mu_theta, mu_q代入证据下界里KL散度的损失项我们可以得到一个最终的优化目标
图片
将新的mu的表达式代入证据下界的优化目标里
事实上,比较式148和式130的形式,可以说是非常的接近了。那么我们的score function delta_p(xt)和初始噪声epsilon_0是否有关联呢?联立关于x0的两个表达式133和115我们可以得到
图片
score function和初始噪声间的关系
读者如果将式151代入148会发现和式130等价!直观上来讲,score function描述的是如何在数据空间里最大化似然概率的更新向量。而又因为初始噪声是在原输入的基础上加入的,那么往噪声的反方向(也是最佳方向)更新实质上等价于去噪的过程。而数学上讲,对score function的建模也等价于对初始噪声乘上负系数的建模!
至此我们终于将扩散模型的三个形式的所有推导整理完毕!即对变分扩散模型VDM的训练等价于训练一个神经网络来预测原输入x0,也等价于预测噪声epsilon, 也等价于预测初始输入在特定时间步的score delta_logp(xt)。
读到这里,相比读者也已经发现,不同的推导所得出的不同结果,都来自于对证据下界里去噪匹配项的不同推导过程。而不同的变形,基本上都是利用了MHVAE里最开始提到的三点基本假设所得。
7
『Drawbacks to Consider』
尽管扩散模型在最近两年成功出圈,引爆了业界,学术界甚至普通人对文本生成图像的AI模型的关注,但扩散模型这个体系本身依旧存在着一些缺陷:
扩散模型本身尽管理论框架已经比较完善,公式推导也十分优美。但仍然非常不直观。最起码从一个完全噪声的输入不断优化的这个过程和人类的思维过程相去甚远。
扩散模型和GAN或者VAE相比,所学的潜在向量不具备任何语义和结构的可解释性。上文提到了扩散模型可以看做是特殊的MHVAE,但里面每一层的潜在向量间都是线性高斯的形式,变化有限。
而扩散模型的潜在向量要求维度与输入一致这一点,则更加死地限制住了潜在向量的表征能力。
扩散模型的多步迭代导致了扩散模型的生成往往耗时良久。
不过学术界对以上的一些难题其实也提出了不少解决方案。比如扩散模型的可解释性问题。笔者最近就发现了一些工作将score-matching直接应用在了普通VAE的潜在向量的采样上。这是一个非常自然的创新点,就和数年前的flow-based-vae一样。而耗时良久的问题,今年ICLR的最佳论文也将采样这个问题加速和压缩到了几十步内就可以生成非常高质量的结果。
但是对于扩散模型在文本生成领域的应用最近似乎还不多,除了prefix-tuning的作者xiang-lisa-li的一篇论文[3]
之外笔者暂未关注到任何工作。而具体来讲,如果将扩散模型直接用在文本生成上,仍有诸多不便。比如输入的尺寸在整个扩散过程必须保持一致就决定了使用者必须事先决定好想生成的文本的长度。而且做有引导的条件生成还好,要用扩散模型训练出一个开放域的文本生成模型恐怕难度不低。
本篇笔记着重的是在探讨大一统角度下的扩散模型推断。但具体对score matching如何训练,如何引导扩散模型生成我们想要的条件分布还没有写出来。笔者打算在下一篇探讨最近一些将扩散模型应用在受控文本生成领域的方法调研里详细记录和比较一下
8
『补充』
关于为什么扩散核是高斯变换的扩散过程的逆过程也是高斯变换的问题,来自清华大神的一篇知乎回答里[4] 给出了比较直观的解释。其中第二行是将p_t-1和p_t近似。第三行是对logpt(x_t-1)使用一阶泰勒展开消去了logpt(xt)。第四行是直接代入了q(xt|xt-1)的表达式。于是我们得到了一个高斯分布的表达式。
图片
扩散的逆过程也是高斯分布
在式94和式125,我们都将对真实高斯分布q的均值mu_q的近似mu_theta建模成了与我们所推导出的mu_q一致的形式,并且将方差设置为了与q的方差一致的形式。直观上来讲,这样建模的好处很多,一方面是根据KL散度对两个高斯分布的解析式来说,这样我们可以约掉和抵消掉绝大部分的项,简化了建模。另一方面真实分布和近似分布都依赖于xt。在训练时我们的输入就是xt,采取和真实分布形式一样的表达式没有泄漏任何信息。并且在工程上DDPM也验证了类似的简化是事实上可行的。但实际上可以这样做的原因背后是从2021年以来的一系列论文里复杂的数理证明所在解释的目标。 同样引用清华大佬[4]的回答:
图片
DDPM里简化去噪的高斯分布的做法其实蕴含着深刻的道理
在DDPM里,其最终的优化目标是epsilon_t而不是epsilon_0。即预测的误差到底是初始误差还是某个时间步上的初始误差。谁对谁错?实际上这个误解来源于我们对xt关于x0的表达式的求解中的误解。从式63开始的连续几步推导,都应用到了一个高斯性质,即两个独立高斯分布的和的均值与方差等于原分布的均值和与方差和。而实质上我们在应用重参数化技巧求xt的过程中,是递归式的不断引入了新的epsilon来替换递归中的x_n里的epsilon。那么到最后,我们所得到的epsilon无非是一个囊括了所有扩散过程中的epsilon。这个噪声即可以说是t,也可以说是0,甚至最准确来说应该不等于任何一个时间步,就叫做噪声就好!
图片
DDPM的优化目标
关于对证据下界的不同简化形式。其中我们提到第二种对噪声的近似是DDPM所采用的建模方式。但是对初始输入的近似其实也有论文采用。也就是上文提及的将扩散模型应用在可控文本生成的论文里[3]所采用的形式。该论文每轮直接预测初始Word-embedding。而第三种score-matching的角度可以参照SongYang博士的系列论文[5]来看。里面的优化函数的形式用的是第三种。
本篇笔记着重于讲述扩散模型的变分下界的公式推导,关于扩散模型与能量模型,朗之万动力学,随机微分方程等一系列名词的关系本篇笔记并无涉及。 笔者将在另外一篇笔记里梳理相关的理解。
参考
^Improving Variational Inference with Inverse Autoregressive Flow https://arxiv.org/abs/1606.04934
^Deep Unsupervised Learning using Nonequilibrium Thermodynamics https://arxiv.org/abs/1503.03585
^abDiffusion-LM Improves Controllable Text Generation https://arxiv.org/abs/2205.14217
^abdiffusion model最近在图像生成领域大红大紫,如何看待它的风头开始超过GAN?- 我想唱high C的回答 - 知乎 https://www.zhihu.com/question/536012286/answer/2533146567
^SCORE-BASED GENERATIVE MODELING THROUGH STOCHASTIC DIFFERENTIAL EQUATIONS https://arxiv.org/abs/2011.13456
技术交流群邀请函
图片
△长按添加小助手
扫描二维码添加小助手微信
请备注:姓名-学校/公司-研究方向
(如:小张-哈工大-对话系统)
即可申请加入自然语言处理/Pytorch等技术交流群
关于我们
MLNLP 社区是由国内外机器学习与自然语言处理学者联合构建的民间学术社区,目前已经发展为国内外知名的机器学习与自然语言处理社区,旨在促进机器学习,自然语言处理学术界、产业界和广大爱好者之间的进步。
社区可以为相关从业者的深造、就业及研究等方面提供开放交流平台。欢迎大家关注和加入我们。
图片
浙公网安备 33010602011771号