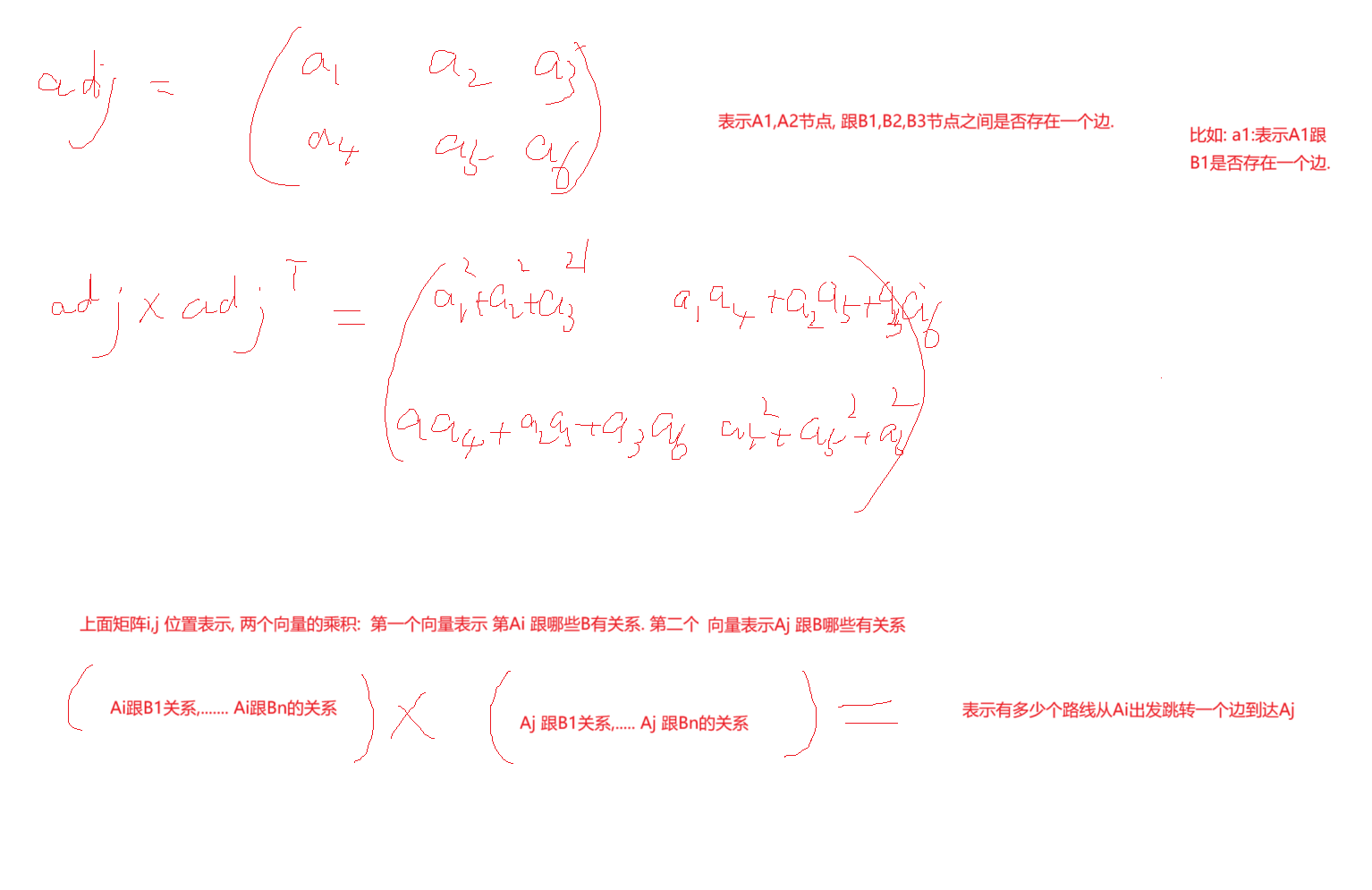
临街矩阵乘以自己转置的含义

image
总结:

临街矩阵* 邻接矩阵转置的(i,j) 位置表示有多少种线路从元素A跳转一条边最终落到元素j的路线. 这个也叫1_degree.

posted on 2024-11-03 12:23  张博的博客  阅读(22)  评论(0)    收藏  举报

导航