论文解读-《Order Learning – An Overview》
1. 论文介绍
论文题目:Order Learning – An Overview
论文领域:顺序学习的综述
论文发表:APSIPA Transactions on Signal and Information Processing 2023
论文背景:

2. 论文摘要
顺序学习是通过比较对象来学习对象之间的顺序关系。近年来,几种有序学习技术在各种计算机视觉任务中取得了良好的性能。在本文中,我们概述了这些顺序学习技术。首先,我们简要讨论了与阶学习相关的传统秩估计算法。其次,我们详细回顾了顺序学习技术。第三,我们讨论了顺序学习在三个视觉应用中的结果:面部年龄估计,彩色图像e的拍摄年代(HCI)分类和美学质量评估。
3. 介绍
顺序回归(ordinal regression),是一个典型的秩估计rank estimation的方法。但是在一般应用中,秩和秩之间没有明确的边界,如人脸年龄估计,每一个个体的年龄都有很大的个体差异性。
秩估计可以分为三个类:分类,有序回归,成对比较。

每一个分类有着不同的架构。

分类器方法:使用二分类,每一个只判断是否大于,最后的结果由K(rank的个数)个分类结果综合得到。
有序回归(Ordinal Regression)直接使用分类器或回归器来判断样本的rank。
LTR方法(Learning-to-rank),使用一个排序网络,输出样本与样本之间的关联关系。
4. 主要内容
4.1 顺序学习
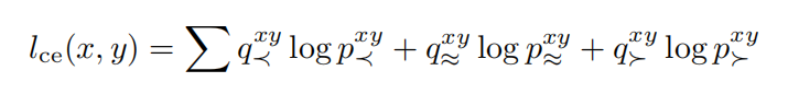
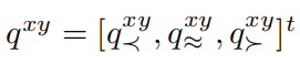
成对比较:给定样本x和y,比较器训练的最终优化的是交叉熵损失函数为

其中

是ground-truth的独热编码。
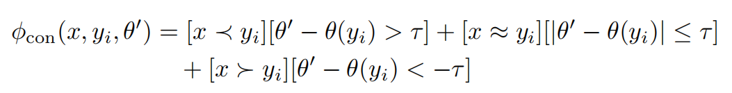
秩估计:评估样本x是需要把x和m个参考样本进行比较,这m个样本是根据可信分数从训练集中选择,对于参考样本y来说,可信分为

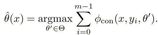
那么评估一个样本的预测函数为

所以决定最终标签的是根据最大一致性原则,从m个参考样本中选择最大一致性的标签,公式为

4.2 DRC-ORID
DRC-ORID算法可以把信息分解为顺序特征和身份特征。根据身份特征分为k个集合,在集合内部在进行顺序特征的排序。
ORID,(Order-Identity Decomposition)顺序-身份的信息分解
整个ORID架构分为:自动编码器,分类器,判别器

DRC,(Deep Repulsive Clustering)深度互斥聚类方法
对于身份信息的样本x,聚成k类后,衡量聚类质量函数为

DRC是一个迭代算法,有以下两个规则
- 1,中心点规则;通过固定中心点,最大化质量函数,更新中心点。基于拉格朗日乘子,最优中心点为
![olao11]()
- 2,最近邻规则
![olao12]()
4.3 MWR(Moving Window Regression)移动窗口回归
MWR更加高效,同时把测试样本跟两个参考样本对比。所以可以获取到比Ordered learning 更精确的顺序关系
MWR使用一个连续回归分数p-rank,作用是ρ-rank量化了输入实例与参考实例在排序上的序数关系:它测量输入值比第一个参考值大多少,以及比第二个参考值小多少。

为了评估p-rank,提出p-regressor,其中h是特征提取器,最终的回归模块同时基于三者的特征来做回归估计。

整个MWR算法是:先提取特征,然后使用KNN找到对应的聚类中,最后是迭代算法,通过多次迭代找样本算法来找到最后的

参考样本选择:为了更高效的评估其秩,需要采用高效选择比较样本的方法。首先基于回归误差

其中W是 y1-a,y2+a区间内的所有样本。最优的y1和y2的选择有着最小的回归误差,满足以下的

和

4.4 几何顺序学习
在秩估计中顺序与度量传达互补信息:顺序提供等级间的方向性信息,而度量则传递长度(或差异幅度)信息。
几何顺序学习是同时关注顺序和度量关系,去评估一个样本的秩。

GOL目的是要构建一个特征空间,样本之间方向和距离分别可以表示两者之间的顺序和度量关系。
顺序约束:有方向向量表示r到s的方向的单位向量

其中正向和反向的方向向量为

所以有:

为了计算限制,有softmax概率为

可以得到顺序损失函数为

度量限制:度量限制被定义为

其中de是欧式距离,δ是一个边界量。
当x < y 的时候,有损失函数

当两者近似时候,有损失函数

总的损失函数为

4.5 链条化 Chainization
对于X是样本集合,L是一个线性序列。

上面的L是一个全量集合,包含了所有的x和y的对,为了减少量,给出部分有序集P为

链式化算法的目标是将部分有序集P线性扩展或"链式化"为一个线性有序集L。
序列的图表示:上面的部分有序集P可以转为一个有向无环图G,那么从P到L的表示可以找到一个顶点排序函数

对于一个顺序,链条排序算法使用成对比较器,算法可以在已知序列集合P上进行训练,损失函数为

其中,D是KL散度,衡量两个概率分布差异的指标,替代交叉熵。
链条化算法伪代码为

整个架构为

5. 应用
顺序学习可以应用广泛,有脸部年龄估计,HCI分类,图像美学质量评估,
脸部年龄识别,实验设置,给出了文中所列算法的优势

6. 结论
有序学习的综述论文,主要是在排序算法的比较子上下功夫。算是拿特征提取和排序比较子的一个好的结合。



浙公网安备 33010602011771号