算法 | 基础 - [常见问题]
@
小和问题
问题说明:
若某数组 [2,3,1,4,8,6,5],分别计算每个元素左侧比它小的数字之和,在将这些和求和,即小和,
例子中为 0+2+0+6+10+10+10 = 38
思路:
转换为:计算元素右侧比它大的元素的个数的加权和
即:\(\sum_0^{length-1}(arr[i] * count_{big})\)
例子中为 2 * 5 + 3 * 4 + 1 * 4 + 4 * 3 + 8 * 0 +6 * 0 + 5 * 0 = 38
结合归并排序,示意图如下
排序可以方便的比较比某元素大或小的个数(计算索引就行)
归并可以使上一级归并复用下一级归并的统计结果
PS:归并遇到两侧相等时,优先归并右侧,否则无法准确记录个数
如 [1,1,2,2] 与 [1,1,1,3,4],优先归并左侧会变为 [1,1,2,2] 与 [1,1,1,3,4]
此时,不能通过索引计算统计大于个数左侧元素的个数

复杂度: \(O(n * \log{n})\),\(O(n)\)
套用 master :\(T(n) = 2 * (n / 2) + O(n)\)
逆数对问题
若某数组 [2,3,1,4,8,6,5],左侧数比右侧大,则构成逆数对,统计逆数对的个数
如 2,1、3,1、8,6、8,5、6,5
思路:使用归并排序(反序),可以快速统计右侧小于左侧的元素数量,每个数量使逆序对数量 + 1
注意:左右一样先排右侧,否则不能准确统计个数
几乎有序数组排序问题
几乎有序的数组:每个元素举例它们排序后位置不超
过 k
以 k=6 为例
- 转化数组前 k + 1 = 7 个元素为小根堆
因为 7 以后的元素不可能调整到 0 上 - 小根堆中移除 0 ,增加数组的下一个元素,以此类推
复杂度: \(O(n)\),\(O(1)\)
因为堆相对于数组可以忽略不计,所以 heapify、heap insert 的负载度可以认为是 \(O(1)\)
每个元素执行一轮,因此是 \(O(n)\)
反转链表
注意 若反转链表后要求 head 符合反转后的情况,需要设置返回值,返回新的 head
回文链表
如 [1,2,3,2,1] 或 [2,3,1,1,3,2] 类似的单向链表
压栈法,\(O(n)\),\(O(n)\)
改序法,\(O(n)\),\(O(1)\)
- 记录头结点
- 使用快慢指针找到中点位置
- 从中点向尾遍历,中点指向 null,获取 next 和 next 的 next 后,next指针指向当前
- 遍历至结束,记录尾结点位置
- 头尾节点向中间遍历,比较节点,不一样就不是
- 遍历的同时,从原尾开始还原链表

按基准值整理链表
对单向链表,取一个基准值,小的放左边,等于放中间,大于放右边,元素相对顺序不变,要求 \(O(n)\)
数组法,\(O(n)\),\(O(n)\)
链表改数组然后归并排序然后还原
区域指针法,\(O(n)\),\(O(1)\)
- 准备一个数组 p[6],元素分别为小中大于区的头尾指针
- 遍历节点,放入对应的区
- 首次放入时,此区域头尾指针都指向此节点(因此,一个区域要不收尾指针都有,要不都没有)
- 其余放入时,区域尾结点的 next 指向此节点,此节点变为新的尾
- 整理指针,以串联三个区域的边界,但需要考虑区域缺失的问题
- 从左到右串联指针数组
- 跳过 null
- 跳过 01、23、45 之间的串联,因为是区域内
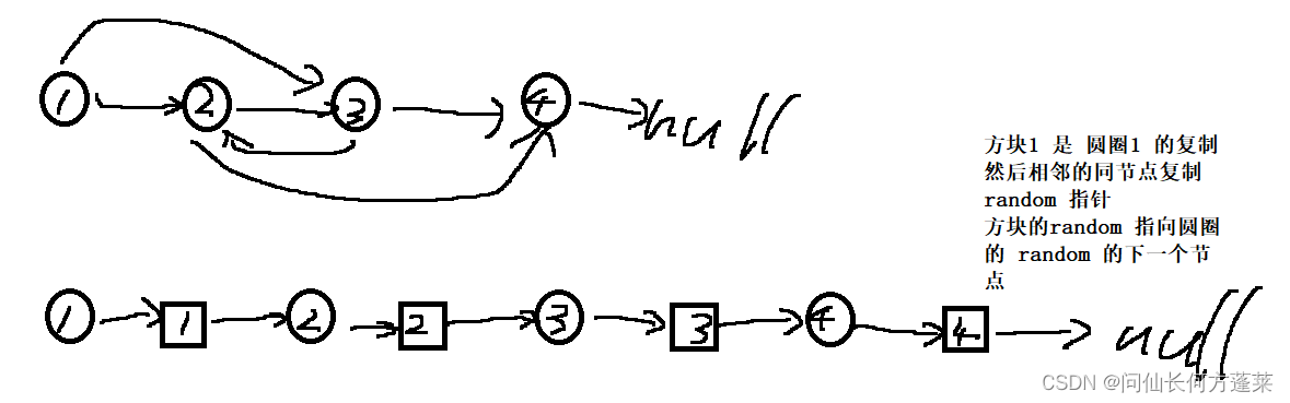
有随机指针的单向链表复制
单向链表,要求复制此链表,其节点结构如下
Class Node<V>{
V value;
Node next;
Node random;
}
random 指针可能指向链表中任意节点,或指向 null
Map 法,\(O(n)\),\(O(n)\)
原节点和它的复制节点作为键值对存 map,然后遍历设置
原地克隆法,\(O(n)\),\(O(1)\)
- 一次克隆每个节点,新节点挂在原节点之后
- 两两节点一组,遍历复制
random指针
复制节点的random指向原节点random所指节点的下一个节点 - 删除原节点,返回头

链表成环
单向链表是否有环,如果有返回入环第一个节点
Hash 法,\(O(n)\),\(O(n)\)
遍历链表,每遍历一格节点先检查是否存在于 Hash,若不存在就存入 Hash,若遍历完之前检查到存在,就有环
被检查到的节点就是入环节点
快慢指针法,\(O(n)\),\(O(1)\)
- 两个指针,一快一慢,慢指针每次走一格,快指针每次走两格
- 若两指针再次相遇就是有环
- 重合后,快指针回到 head,快慢指针都走一格
- 再次重合,指向的节点就是第一个入环节点
两条链表相交
两条单向链表,可能有环,可能没环,判断是否相交,如果重合,返回重合的第一个节点
解法如下,需要分步骤分情况套路,\(O(n)\),\(O(1)\)
- 先判断两条链表分别是否有环
- 如果无环
- 分别遍历两条链表,记录长度与 tail
- 判断两个 tail 是否是同一个节点,是则相交,否则不相交
- 如果相交,两链表都从 head 开始遍历,但较长的链表先遍历 两链表长度之差 格
- 继续遍历,一次一格,相遇即是相交第一个元素

- 如果一个有环一个无环
不存在,如下图所示,红圈处节点不可能存在于单链表

- 都有环
- 分如下图三种情况,两环独立、共用入环节点、不共用入环节点

- 比较两个链表的入环点
- 若两个链表入环点相同,说明是 共用入环节点 情况
- 若两个链表入环点不同,从任意一个入环点向下遍历,先遇到自己,说明是 两环独立 情况
- 若两个链表入环点不同,从任意一个入环点向下遍历,先遇到另一个入环点,说明是 不共用入环节点 情况
- 两环独立时,即 不相交,返回 null
- 共用入环节点 时,两链表 相交
- 取共用的入环节点为两个链表共同的尾,两个链表的头为分别的头
- 其余流程同 两链表都无环,如上图最右侧红点处
- 不共用入环节点 时,两链表 相交,返回 任意一个入环点 都符合要求
- 分如下图三种情况,两环独立、共用入环节点、不共用入环节点
二叉树的递归遍历
二叉树的递归遍历类似下面伪代码
scanNode(node){
if(node == null) return;
//1
scanNode(node.left);
//2
scanNode(node.right);
//3
}
注意,// 1 ~ 3 处都会回到对 当前节点 的遍历逻辑
下面的三种递归顺序分别对应在 // 1 ~ 3 处输出自己
根据遍历每一个节点自身 (或称:头) 和 左右子树 的顺序衍生出三种递归遍历
- 先序遍历
对每个节点,按 头、左子树、右子树 的顺序遍历 - 中序遍历
对每个节点,按 左子树、头、右子树 的顺序遍历 - 后序遍历
对每个节点,按 左子树、右子树、头 的顺序遍历

二叉树的栈遍历
二叉树的栈遍历类似下面伪代码
前序 (同时也是宽度遍历)
stack.add(root);
while(!stack.isEmpty()){
curr == stack.pop();
if(curr== null) return;
//1
if(curr.right != null)
stack.push(curr.right);
if(curr.left != null)
stack.push(curr.left);
}
流程
- 先将 root 压栈
- 开始循环
- 只要栈里还有元素,就不退出循环
- 弹出栈顶
- 如果有右孩子,右孩子压栈
- 如果有左孩子,做孩子压栈
- // 1 处打印 curr
- 重复
后序
stack.add(root);
while(!stack.isEmpty()){
curr == stack.pop();
stack2.push(curr);
if(curr== null) return;
if(curr.right != null)
stack.push(curr.right);
if(curr.left != null)
stack.push(curr.left);
}
while(!stack2.isEmpty())
print(stack2.pop());
流程
- 先将 root 压第一个栈
- 开始循环第一个栈
- 只要栈里还有元素,就不退出循环
- 弹出栈顶,压入第二个栈
- 如果有右孩子,右孩子压栈
- 如果有左孩子,做孩子压栈
- 重复
- 遍历第二个栈,顺次打印
中序
while(!stack.isEmpty() || curr != null){
if(curr!= null){
stack.push(curr);
curr = curr.left;
}else{
curr = stack.pop();
print(curr);
curr = curr.right;
}
}
流程
- 先将 root 压第一个栈
- 开始循环第一个栈
- 只要栈里还有元素,就不退出循环
- 弹出栈顶,压入第二个栈
- 如果有右孩子,右孩子压栈
- 如果有左孩子,做孩子压栈
- 重复
- 遍历第二个栈,顺次打印
二叉树宽度优先遍历
即按层遍历,先遍历第一层,然后第二层、第三层
队列法
- 根节点进队列
- 循环,只要队列里有值,就不退出循环
- 取出队列中的头
- 打印头
- 如果头有孩子,头的左孩子、右孩子依次进队列
- 重复
queue.add(root);
while(!queue.isEmpty()){
curr == queue.poll();
queue.add(curr.left);
queue.add(curr.right);
}
二叉树的序列化
- 同各种遍历
- null 使用 # 表示
- 使用 _ 连接各个节点值
String serial2String(node){
if(null==node)
return "#_";
String serial = node.value + "_";
serial += serial2String(node.left);
serial += serial2String(node.right);
return serial ;
}
二叉树的反序列化
按序重建二叉树
- 按 _ 拆分字符串为数组
- 重建顺序同二叉树遍历顺序
- 遇到 # 表示轮到的需要创建的节点为 null
queue split2queue(str){
string[] nodes = str.split("_");
queue<String> queue = new LinkedList<String>();
for(string node:nodes){
queue.add(node);
}
}
node deserial(queue){
str = queue.poll();
if(str.equals("#"))
return null;
node = new Node(str);
node.left = deserial(queue);
node.right = deserial(queue);
return node;
}
二叉树的最大宽度
map 法,\(O(n)\),\(O(n)\)
map;
currLevel,currLevelNodeCount;
maxLevel,maxLevelNodeCount;
queue.add(root);
while(!queue.isEmpty()){
curr == queue.poll();
if(map.get(curr)==currLevel){
currLevelNodeCount++;
}else{
if(currLevelNodeCount > maxLevelNodeCount){
maxLevel = currLevel;
maxLevelNodeCount = currLevelNodeCount;
}
currLevel++;
currLevelNodeCount = 1;
}
if(curr.left != null){
map.put(curr.left,currLevel+1);
queue.add(curr.left );
}
if(curr.right != null){
map.put(curr.right,currLevel+1);
queue.add(curr.right );
}
}
流程
- 准备一个 map ,存节点和它层数的映射
- 准备遍历存储当前层数、当前层节点数、历史最多节点最多的层和节点数
- 先将 root 放入队列
- 开始循环
- 只要队列里还有元素,就不退出循环
- 取出队列中第一个节点
- 是当前层,层节点 +1;否则统计当前层数量与历史比对,且层数 +1
- 如果有左孩子,左孩子进队列,存入map
- 如果有右孩子,右孩子进队列,存入map
- 重复
队列节点标记法,\(O(n)\),\(O(1)\)
流程
- 准备两个 node,为 当前层尾节点(ct)、下一层尾节点(nt)
- 准备一个 int count,max,为当前层节点数量、最大层节点数量;
- 先将 root 放入队列,ct = root
- 开始循环
- 只要队列里还有元素,就不退出循环
- 取出队列中第一个节点,count++
- 如果有左孩子,左孩子进队列,nt = left
- 如果有右孩子,右孩子进队列,nt = right
- 当前节点是否是 ct,是就结算,比较count和max
- ct = nt,nt = null,count = 0
- 重复
二叉树题目(二叉树动态规划)通用思路
- 思考完成题目的条件
- 确定需要向左右子树索要哪些信息
- 递归完成
示例见 判断是否是平衡二叉树
最近共同祖先节点
node1,node2 在树中,求其最近共同祖先节点
补完全二叉树法
将数按宽度遍历,null也进入数组,弹出节点的操作用指针模拟,
遇到 null 认为是节点,加入数组,弹出 null 后认为其有两个节点都是 null,也加入数组
遇到 node1,node2 时,额外记录位置
直到把 node1,node2 放入数组,认为树补充完
选择 node1,node2 中索引靠前的,通过 \((index-1)/2\) 找爹找爷爷找祖宗,存入 set
选择另一个,重复上一步过程,直到 set 里存在
(或从索引较大的开始找,每计算一步比较是否在另一个节点之前了,如果是换另一个节点计算,直到重合)
父节点 map 法
宽度遍历,遍历是记录和父节点的映射,直到 node1、node2都存入map
其他逻辑类似 补完全二叉树法
递归包含判断法
若某节点是 node1、node2 的最近共同祖先,满足下面场景之一
- 节点的左右子树,分别包括 node1、node2
- 节点的左右子树之一,和节点自身,分别包括 node1、node2
因此递归所有节点,直到遇到第一个这样的节点
//考虑二者可能不在树中的情况
node origin(node,origin){
if(origin!=null)//找到了
return origin;
if(node == null)//分支遍历到头了
return null;//没有
if(node == node1)//此分支包含 node1,下同理
return node1;
if(node == node2)
return node2;
left = origin(node.left);
right = origin(node.right);
if(left != null && right!=null){ //左右本别有俩目标的
origin = node;
return node;
}
if((left!=null || right!=null) && (node==node1 || node==node2)){ //自己本身就是祖宗的
origin = node;
return node;
}
//如果有值
return left!=null?left:right;
}
后继节点
若某树节点上有指向父节点的指针,且指针都是对的,求某节点的后继节点
后继节点:按中序变量,某节点的后一个节点
前驱节点:按中序变量,某节点的前一个节点
- 若有右孩子
- 右孩子有左孩子,返回右孩子的子树下最左的左孩子
- 右孩子没有左孩子,返回右孩子(这是上一条的特例)
- 若没有右孩子
- 若是父的左孩子,返回父(这是下一条的特例)
- 若是父的右孩子,查找父的父级,直到某一级不是更上级的右孩子,更上级就是后继
node successor(node){
if(null == node)
return null;
if(node.right != null){
node = node.right;
while(node.left != null)
node = node.left;
return node;
}else{
p = node.parent;
while(parent!=null && parent.left!=node){
node = p;
p = node.parent;
}
return parent;
}
}
判断搜索二叉树
做中序遍历,只要遍历过程中没有降序(包括相等节点),记为搜索二叉树
判断完全二叉树
节点判断法
做宽度遍历,出现下面情况任意则不是完全二叉树
- 某节点没有左孩子但有右孩子
- 第一个有左无右的节点之后,任意节点不是叶子节点(无左无右)
null 节点信号法
做宽度遍历,弹栈时出现的第一个 null 后,不能出现其他非 null 的节点
递归判断法
递归二叉树,对任意节点满足下面条件
- 左树、右树都是搜索二叉树
- 左树的最大值 < 节点
- 节点 < 右树的最小值
判断满二叉树
数数法
宽度遍历,获取最大深度 d 与总元素个数 c,判断 \(c=2^d-1\)
判断平衡二叉树
对二叉树上任意节点,需要满足下列条件
- 左右子树都是平衡二叉树
- 左右子树的高度不能超过 1
class Result{
private int d;
private boolean bbt;
}
Result check(node){
if(null==node)
return new Result(true,0);
Return left = check(node.left);
Return right = check(node.right);
int d = max(left.d,right.d)+1;
boolean bbt = left.bbt && right.bbt && Math.abs(left.d -right.d) <2;
return new Result(bbt,d);
}
折纸问题
一张纸,对折,记录折痕方向为 O;再对折,发现有反向折痕,记为 X,且所有折痕为 OOX
求:对折 n 次,所有折痕 顺序
分析,如下图,可见每次对折
- 会在上一次对折的折痕之外,产生两倍的新折痕
- 新折痕产生于上一次对折的新折痕两侧
- 两侧的新折痕,总是上端与老折痕一致,下端与老折痕相反

按上面归类整理可得

则所有折痕顺序为上图思路的 中序遍历
node = new Node("O");
// 用于生长这棵树,但并不必要
node group(node,n){
if(n<0)
return null;
node.left = group(new node("O"),n-1);
node.right = group(new node("X"),n-1);
return node;
}
// 不用生长直接打印
printTree(node,n){
if(n<0)
return null;
printTree("O",n-1);
sout("node");// 整体保持中序遍历
printTree("X",n-1);
}
// 用下面调用
printTree("O",n);
图表达方式的转化
若有如下二维数组,将其转化为 通用代码表达
{
[2,4,5], // 0 表示从哪个顶点出发,1 表示连接到哪个顶点,2 表示边的权重
[8,3,4],
...
}
Graph createGraph(int[][] matrix){
Graph g = new Graph();
for(int[] arr: matrix){
int from = arr[0];
int to = arr[1];
int weight = arr[2];
if(!g.nodes.containsKey(from))
g.nodes.put(from,new Node(from));
if(!g.nodes.containsKey(to))
g.nodes.put(to,new Node(to));
Node fn = g.nodes.get(from);
Node tn = g.nodes.get(to);
Edge e = new Edge(weight,from,to);
g.edges.add(e);
fn.edges.add(e);
fn.nexts.add(tn);
fn.out++;
tn.in++;
}
return g;
}
图的宽度优先遍历
因为图是很可能有环的,所以遍历的过程中需要查重机制
- 准备队列和 set
- 将一个顶点放入队列
- 开始循环,队列中只要还有顶点,就不退出循环
- 从队列中取顶点
- 打印顶点
- 将顶点的相邻节点,不在 set 中的部分加入队列,并在 set 中注册
图的深度优先遍历
因为是对图的遍历,所以栈里需要保存完整的遍历路径
- 准备栈和 set
- 将一个顶点放入栈
- 开始循环,栈中只要还有顶点,就不退出循环
- 从栈中弹出顶点
- 打印顶点
- 若顶点还有相邻顶点,拿到其中一个
- 如果新顶点在 set 里,拿原顶点的下一个相邻顶点
- 如果新顶点不在 set 里
- 原顶点压回栈
- 原顶点的当前相邻顶点压栈
- 原顶点的当前相邻顶点加入 set
- break
图的拓扑排序
对项目进行编译,编译时需要将项目的依赖先行编译,项目的依赖又可能存在依赖关系
此时就是拓扑排序
- 找到图中入度为 0 的点 a,认为它是起点
- 打印 a
- 将 a 点与其影响擦掉
- 重复上面过程
List<Node> topology(Graph g){
Map<Node,Integer> inMap = new HashMap();
Queue<Node> zeros = new LinkedList<>();
List<Node> sorted = new ArrayList();
for(Node node : g.nodes.values()){
inMap.put(node,node.in);
if(node.in == 0)
zeros.add(node);
}
while(!zeros.isEmpty()){
Node curr = zeros.poll();
sorted.add(curr);
inMap.remove(curr);
for(Node n: curr.next){
if(inMap.get(n)-1 == 0)
zeros.add(n);
inMap.put(n,inMap.get(n)-1);
}
}
return sorted;
}
克鲁斯卡尔算法(kruskal)
用于计算网的 最小生成树
以边为切入点,适合边少的图

- 将所有的边按其权重排序
- 从最小的边开始添加
- 若加入某条边对导致形成环,丢弃这条边
- 直到所有边完成遍历
如何判断形成环
- 先使每个点单独存在各自的集合中
- 对任意一条边,检查边的两端是否在同一个集合
- 如果不在,可以添加边,并合并包含两个顶点的集合
- 如果在,丢弃边
如何实现形成环
并查集实现
其他实现
普里姆算法(prim)
用于计算网的 最小生成树,以点为切入点

- 任选一个节点,加入结果
- 遍历此结果的所有边,将以前没有被激活的边标记为激活
- 选取刚刚激活的边中最小的,将另一个节点拉入结果
- 重复上面过程
Set<Node> tree = new HashSet();
Set<Edge> result = new HashSet();
PriorityQueue ae = new Priority<>(new EdgeComparator());
for(Node n: graph.nodes.values()){
if(!tree.contains(n)){
set.add(n);
for(Edge e:n.edges())
ae.add(e);
while(!ae.isEmpty()){
currMin = ae.poll();
newNode = currMin.to;
if(!tree.contains(newNode)){
tree.add(newNode);
result.add(e);
for(Edge ne: newNode.edges)
ae.add(ne);
}
}
}
}
迪克斯特拉算法(Dijkstra)
用于计算网一个顶点到其他顶点的最短举例
要求网中不能存在 边权值累计为负数的环
如下图示例,从下图 a 出发

得到下表结论

过程
- 先准备下图表,自己到自己长度 0 ,其他都认为是 ∞

- 依次按 asdfe 的顺序遍历
- 取出顶点,
- 获取当前顶点的所有边
- 分别与当前顶点的值相加,若能使右边的数值变小,就更新右边的数值
- 锁定当前顶点(如果只与右边比可忽略此步骤)
- 重复


HashSet<Node> selecteds = new HashSet<>();
HashMap<Node,Integer> distances = new HashMap<>();
distances.put(node,0);
//selecteds.add(node);
min = node;
while(selecteds.size() < g.nodes.size()){
int distance = distances.get(min);
for(Edge e: min.edges){
if(!distances.containsKey(e.to))
distances.put(e.to,e.weight);
if(distances.get(min)+e.weight < distances.get(e)){
distances.put(e.to,distances.get(min)+e.weight);
}
selecteds.add(min);
min = minOfDistancesAndUnselected(distances,selecteds);
}
}
return distances;

浙公网安备 33010602011771号