559. N叉树的最大深度
给定一个N叉树,找到其最大深度。
最大深度是指从根节点到最远叶子节点的最长路径上的节点总数。
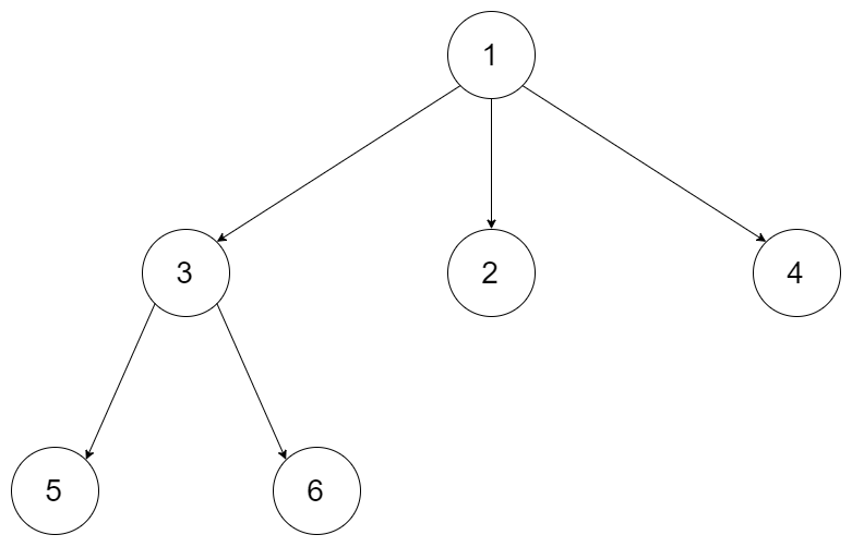
例如,给定一个3叉树:

我们应返回其最大深度,3。
说明:
树的深度不会超过1000。
树的节点总不会超过5000。
思路:
用递归解决
"""
# Definition for a Node.
class Node(object):
def __init__(self, val, children):
self.val = val
self.children = children
"""
class Solution(object):
def maxDepth(self, root):
"""
:type root: Node
:rtype: int
"""
if not root:
return 0
depth = 0
for child in root.children:
depth = max(depth, self.maxDepth(child))
return depth + 1

浙公网安备 33010602011771号