最长公共子序列问题(动态规划)
动态规划一般也只能应用于有最优子结构的问题。最优子结构的意思是局部最优解能决定全局最优解。
动态规划算法分以下4个步骤:
描述最优解的结构
递归定义最优解的值
按自底向上的方式计算最优解的值 //此3步构成动态规划解的基础。
由计算出的结果构造一个最优解。 //此步如果只要求计算最优解的值时,可省略。
最优子结构
如果问题的最优解所包含的子问题的解也是最优的,我们就称该问题具有最优子结构性质(即满足最优化原理)。意思就是,总问题包含很多个子问题,而这些子问题的解也是最优的。
重叠子问题
子问题重叠性质是指在用递归算法自顶向下对问题进行求解时,每次产生的子问题并不总是新问题,有些子问题会被重复计算多次。动态规划算法正是利用了这种子问题的重叠性质,对每一个子问题只计算一次,然后将其计算结果保存在一个表格中,当再次需要计算已经计算过的子问题时,只是在表格中简单地查看一下结果,从而获得较高的效率。
问题描述:字符序列的子序列是指从给定字符序列中随意地(不一定连续)去掉若干个字符(可能一个也不去掉)后所形成的字符序列。令给定的字符序列X=“x0,x1,…,xm-1”,序列Y=“y0,y1,…,yk-1”是X的子序列,存在X的一个严格递增下标序列<i0,i1,…,ik-1>,使得对所有的j=0,1,…,k-1,有xij=yj。例如,X=“ABCBDAB”,Y=“BCDB”是X的一个子序列。
考虑最长公共子序列问题如何分解成子问题,设A=“a0,a1,…,am-1”,B=“b0,b1,…,bm-1”,并Z=“z0,z1,…,zk-1”为它们的最长公共子序列。不难证明有以下性质:
(1) 如果am-1=bn-1,则zk-1=am-1=bn-1,且“z0,z1,…,zk-2”是“a0,a1,…,am-2”和“b0,b1,…,bn-2”的一个最长公共子序列;
(2) 如果am-1!=bn-1,则若zk-1!=am-1,蕴涵“z0,z1,…,zk-1”是“a0,a1,…,am-2”和“b0,b1,…,bn-1”的一个最长公共子序列;
(3) 如果am-1!=bn-1,则若zk-1!=bn-1,蕴涵“z0,z1,…,zk-1”是“a0,a1,…,am-1”和“b0,b1,…,bn-2”的一个最长公共子序列。
这样,在找A和B的公共子序列时,如有am-1=bn-1,则进一步解决一个子问题,找“a0,a1,…,am-2”和“b0,b1,…,bm-2”的一个最长公共子序列;如果am-1!=bn-1,则要解决两个子问题,找出“a0,a1,…,am-2”和“b0,b1,…,bn-1”的一个最长公共子序列和找出“a0,a1,…,am-1”和“b0,b1,…,bn-2”的一个最长公共子序列,再取两者中较长者作为A和B的最长公共子序列。
求解:
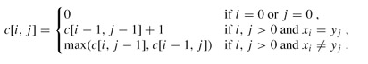
引进一个二维数组c[][],用c[i][j]记录X[i]与Y[j] 的LCS 的长度,b[i][j]记录c[i][j]是通过哪一个子问题的值求得的,以决定搜索的方向。
我们是自底向上进行递推计算,那么在计算c[i,j]之前,c[i-1][j-1],c[i-1][j]与c[i][j-1]均已计算出来。此时我们根据X[i] = Y[j]还是X[i] != Y[j],就可以计算出c[i][j]。
问题的递归式写成:

回溯输出最长公共子序列过程:

package dp; import java.util.Random; //使用动态规划找出最长公共子序列 public class LCS { public static void main(String[] args) { //随机生成指定长度的字符串 int size = 20; String x = generateRandomStr(size); String y = generateRandomStr(size); int m = x.length(); int n = y.length(); //创建二维数组,也就是填表的过程 int[][] c = new int[m+1][n+1]; //初始化二维数组 for (int i = 0; i < m+1; i++) { c[i][0] = 0; } for (int i = 0; i < n+1; i++) { c[0][i] = 0; } //实现公式逻辑 int[][] path = new int[m+1][n+1];//记录通过哪个子问题解决的,也就是递推的路径 for (int i = 1; i < m+1; i++) { for (int j = 1; j < n+1; j++) { if(x.charAt(i-1) == y.charAt(j-1)){ c[i][j] = c[i-1][j-1] + 1; }else if(c[i-1][j] >= c[i][j-1]){ c[i][j] = c[i-1][j]; path[i][j] = 1; }else{ c[i][j] = c[i][j-1]; path[i][j] = -1; } } } //输出查看c System.out.println("c:"); for (int i = 0; i < m+1; i++) { for (int j = 0; j < n+1; j++) { System.out.print(c[i][j]+"\t"); } System.out.println(); } //输出查看path System.out.println("path:"); for (int i = 0; i < m+1; i++) { for (int j = 0; j < n+1; j++) { System.out.print(path[i][j]+"\t"); } System.out.println(); } System.out.printf("%s与%s的最长公共子序列为:\n",x,y); PrintLCS(path,x,m,n); } public static String generateRandomStr(int length) { String base = "ABCDEFGHIJKLMNOPQRSTUVWXYZ"; Random random = new Random(); StringBuilder sb = new StringBuilder(); for (int i = 0; i < length; i++) { int number = random.nextInt(base.length()); sb.append(base.charAt(number)); } return sb.toString(); } public static void PrintLCS(int[][]b,String x,int i,int j){ if(i == 0 || j == 0){ return; } if(b[i][j] == 0){ PrintLCS(b,x,i-1,j-1); System.out.printf("%c",x.charAt(i-1)); }else if(b[i][j] == 1){ PrintLCS(b,x,i-1,j); }else{ PrintLCS(b,x,i,j-1); } } }
部分引用:https://blog.csdn.net/yysdsyl/article/details/4226630
浙公网安备 33010602011771号