关于打公式的一些事
作为写作时需要插入很多公式的专业来说,快速编辑、排版、添加公式是非常重要的工作,曾经自己都是手动添加公式,没有用什么专业软件,踩了一些坑,所以这里总结一下,希望能够帮助到someone。
Q1:word中怎么打公式?
1. 使用word中自带公式工具
点击插入->公式,插入新公式


每次这样点击很麻烦,所以可以使用快捷键'Alt' + '='。
也可以选中文本,按'Alt' + '='转换为Word中的公式:

2.使用专业软件mathtype/Axmath
mathtype:MathType中文官网-MathType数学公式编辑器下载,MathType教程
价格较贵,约¥338/年

Axmath:AxMath/AxGlyph (amyxun.com)
国产软件,¥36一个激活码(请注意现在激活码绑定一个设备,目前似乎还不能多设备使用,换了设备,激活码就不能用了)

两个软件在使用上大体差不多,但个人觉得Axmath功能更加人性化一点,体现在有公式库、输入Latex代码时有提示等方面。
以Axmath为例,安装好软件后,在Word中会出现其工具栏,添加第一个公式:

快捷键为:
行内公式:Ctrl+Shfit+Q
行间公式:Alt+Q
右编号公式:Alt+Shift+Q
Q2:如何提高打公式的速度?公式识别/使用Latex语言
1.使用Latex语言打公式
在Word自带公式/mathtype/Axmath中均可使用Latex语言打公式,简单来说,Latex语言就是使用代码来表示一切公式符号。
这里介绍一些常用的Latex语言,如果想要查全面的Latex语法,可以参见此博文:
LaTeX公式手册(全网最全) - 樱花赞 - 博客园 (cnblogs.com)
- 举个栗子——用Axmath打一个公式

Alt+q新建一个公式,然后使用Latex与提示符,就是这么快且优雅~

- 再来几个常用的栗子
1. 各种希腊字母(只要知道读音基本就可以打了):

\alpha \beta \delta \varepsilon \phi \eta \lambda \mu \pi \theta \rho \sigma \psi \omega
至于它们的大写,一般首字母大写就好啦

\varDelta \varPhi \varPi \varTheta \varSigma \varOmega \varPsi
如果不加前面的var,例如\Delta,一般就会变为直体
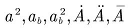
2. 上标、下标

a^2,a_b,a_{b}^{2},\dot{A},\ddot{A},\bar{A}
3. 根号

\sqrt[a]{b},\sqrt{2}
- 插入公式与公式转换
latex 的数学公式有两种:行中公式和独立公式(行间公式)。行中公式放在文中与其它文字混编,独立公式单独成行,$为定界符,就是告诉软件哪部分是公式。这里只有在公式转换的时候会用到,一般在word里用的不多。
行中公式可以用如下方法表示:
$ 数学公式 $
独立公式可以用如下方法表示
$$ 数学公式 $$
公式转换:在Word中用定界符输入公式,可以转换为Axmath格式,使用快捷键Alt+\例如:

2.使用公式识别
这里推荐一个比较好用的Mathpix软件,使用方法很简单,用Ctrl+Alt+M截图,Mathpix就将公式转换为Latex格式,并复制到剪贴板
使用需要用教育邮箱注册[每月100次识别](发邮件大概会延迟一天,不知为何) Mathpix Snip

Q3:公式编号
写文章时,常需要给每章的公式编号,最好是能自动更新编号,这样删改比较方便
1.使用Axmath或Mathtype

Axmath->插入右编号格式,或(Alt+Shift+Q)
编号格式可能不是我们想要的,需要到编号格式中修改

需要手动划分节,插入分隔标记:

2.使用word
我曾使用的一种方法是建立一个无边框表格,公式放中间,右边插入题注,题注的好处是可以通过更新域来更新编号
插入题注:引用->插入题注->新建标签->(1-
更新题注:选中内容->右键->更新域

还有一种方法不能自动编号,但可以让编号自动居右,即在公式右侧输入#,其后面的内容会居右,如:

Q4:其他问题
公式变形怎么办?
使用第三方工具插入公式,有时会发现公式产生变形,这是一个word的bug,此时可以Ctrl+A选择全部,然后重建公式:

word中自动更新域:Ctrl+shift+F9

浙公网安备 33010602011771号