FM, FFM
一、简介
单纯的线性模型可能忽略了特征之间的关系。因此有了FM,FFM
二、FM
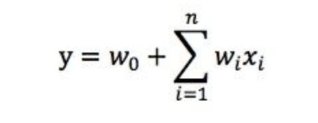
常用的线性模型结构为

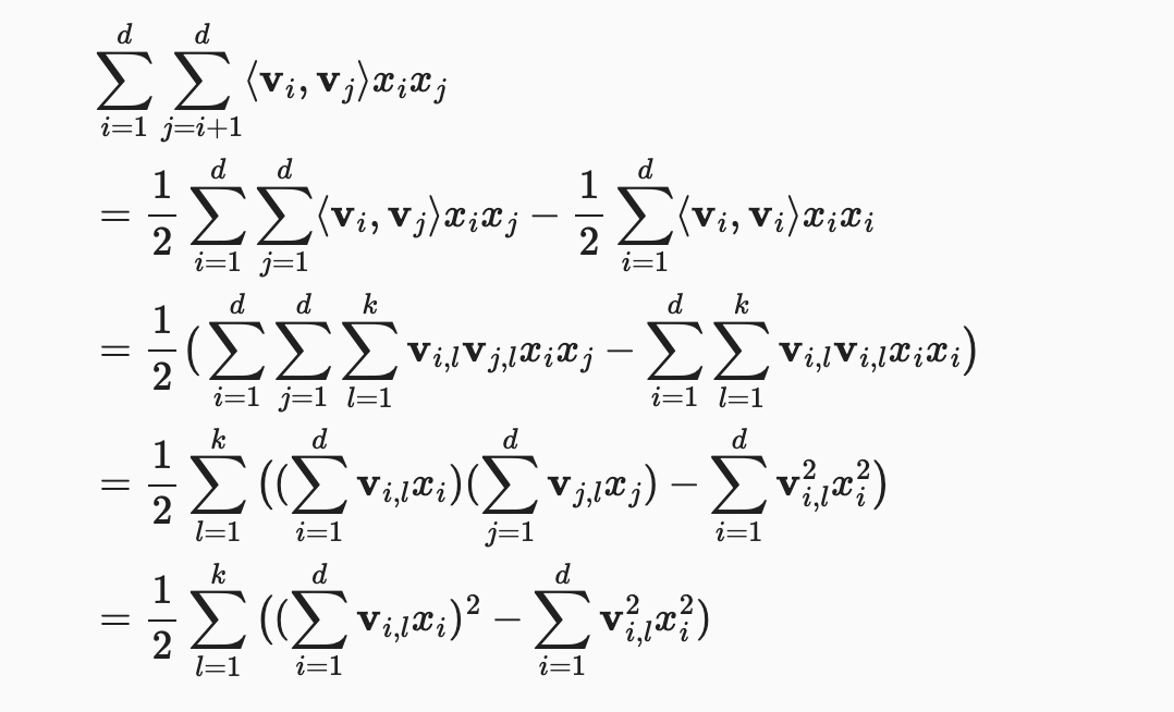
但是如果特征俩俩是相关的,那么就需要对特征进行组合:

其中可以进行变换:

因此可以看到,当特征特别稀疏的时候,FM依然可以很好的组合特征但是不提升计算复杂度。
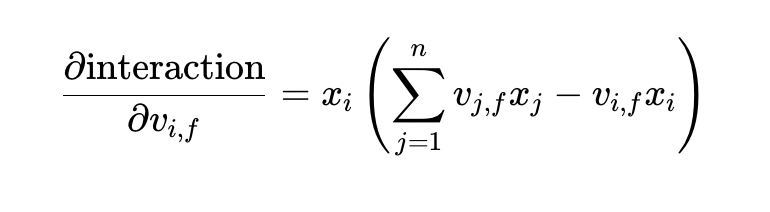
这一部分的求导,梯度下降的部分:

优化用随机梯度下降
三、FFM (field aware FM)
把特征放在了不同的场。例如有3个特征能one-hot,id,类别,节假日,那么就有3个field。FFM的二阶交互式

与FM不同的是FM所有特征对都共享同一个隐向量,而FFM每一对场之间的交互使用了特定的隐向量。特征数更多。
四、DeepFM
模型结构。架构跟wide & deep一样。将所有filed 进行例如one hot编码后,再通过一个共享的embedding当作输入层,传入到FM,隐藏层,最后结果过一个 sigmoid

参考:
https://d2l.ai/chapter_recommender-systems/fm.html
谢谢!

浙公网安备 33010602011771号