Python数据结构与算法分析(二、算法分析)
算法分析
时间空间复杂度
程序和算法不同,其执行的时间和占用的空间也不同,如何比较两种算法的优劣呢?引入大 \(O\) 记法进行算法复杂度的评价。
| \(f(n)\) | 名称 |
|---|---|
| \(1\) | 常数 |
| \(logn\) | 对数 |
| \(n\) | 线性 |
| \(nlogn\) | 对数线性 |
| \(n^2\) | 平方 |
| \(n^3\) | 立方 |
| \(2^n\) | 指数 |
【举例】
- 常数 \(O(1)\)
n = 1024
m = 512
z = n + m
print(z)
变量的变化并不影响执行指令的条数,此时复杂度为\(O(1)\),与数据输入的规模无关
- 对数 \(O(logn)\)
i = 1
while(i < n):
i = i * 2
\(2^k = n, k = logn(以2为低)\),此时,执行\(1+logn\) 次,算法复杂度为\(logn\)
- 线性 \(O(n)\)
sum = 0
for i in range(n):
sum += i
循环体内按步长1循环,循环一轮,也即 \(n\) 次
- 对数线性 \(O(nlogn)\)
i = 1
for i in range(n):
while(i < n):
i = i * 2
内层为对数,外层为线性
- 平方 \(O(n^2)\)
sum = 0
for i in range(n):
for j in range(n):
sum += j
两层 \(n\) 次循环,一般用于二维数组
- 立方 \(O(n^3)\)
sum = 0
for i in range(n):
for j in range(n):
for k in range(n):
sum += k
三层 \(n\) 次循环
- 指数 \(O(2^n)\)
def f(n):
if n < 3:
return 1
else:
return f(n-2) + f(n-1)

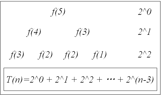
上述为求解第 \(n\) 个斐波那契数列的递归算法,如图所示为求解\(f(5)\),当\(n-∞\) 时,复杂度为\(2^n\)
Python数据结构的性能
列表
Python中关于列表的基本操作,如果生成一个长为n的列表,有以下四种常见的操作:
# 通过连接创建列表
def test1():
l = []
for i in range(n):
l = l + [i]
# 通过追加方式
def test2():
l = []
for i in range(n):
l.append(i)
# 列表解析式
def test3():
l = [i for i in range(n)]
# 列表构造器
def test4():
l = list(range(n))
此时可以看出,不同的列表创建方式,其执行的效率有着数量级的变化。同样的,可以使用Timer进行pop的性能分析。下表为Python中列表操作的复杂度值:
字典
注意,判断某个值是否在字典中的复杂度为\(O(1)\),时间不会随着字典长度变大而边长,但是对于列表,其复杂度为\(O(n)\),时间会随着列表的增大而增大。
讨论题
- \(O(n^2)\)
- \(O(n)\)
- \(O(n)\)
- \(O(n^3)\)
- \(O(n)\)
- \(O(n)\)
浙公网安备 33010602011771号