Partial Person Re-identification(一)
作者针对之前一些模型都是假设给以完整行人图像probe情况下,进行行人重识别任务,独辟蹊径,主要解决reid最难处理的遮挡问题,研究给以不完整的行人图像块来进行ReID任务建模。

下图所示为我们实际中的检索图像,以及我们手工框出来的输入图像,及对应的库中的图像。

针对局部行人检索问题,我们提出以下框架来解决:

如图3所示,我们的部分人员re id框架有两个主要匹配组件:局部到局部re id模型和全局到局部re-id模型。使用局部-局部匹配模型,我们将部分观测分解为小块,并在小块级别执行匹配。相反,使用全局到局部匹配模型,我们将局部观察作为一个整体,并使用滑动窗口搜索策略在每个画廊图像中搜索。
两种模型都有明显的优缺点:局部补丁受视图/姿势变化和人体变形的影响较小。然而,它包含的信息比整个部分少,并且在匹配过程中忽略了不同补丁的空间布局信息,从而导致错误对齐问题。相反,使用整个或部分观察作为搜索单元可以增强空间布局的一致性,但会受到视图/姿势变化和身体变形的影响。因此,在我们的框架中,这两个模型被组合以产生最终的匹配模型。
Local-to-Local Matching
我们首先从图库图像构造多组补丁级描述符,以形成字典。更具体地,首先为每个图像提取多块特征。假设每张图片分成kc块,,pc1、pc2、···、pckc为画廊中的c类,接下来,对于每个补丁pci,我们生成M维特征向量dci。然后,我们有kc块特征向量dc1,dc2,···,dckc。
因此,gallery字典构建为
所以D的总和为
产生一个M×K字典,其中C是库中的类数。
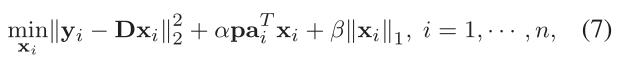
为了实现无需手动对齐的基于patch的匹配,我们希望计算每个探测patch特征yi相对于图库字典D的编码,并将这种编码表示为xi。我们可以通过使用字典最小化重建误差来估计xi:
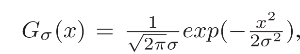
对于给定一个探针片,每个图库片重建探针片的适用性使用一个分数来衡量,我们称之为模糊分数。模糊度分数由高斯形核定义![]()
所以探针片的模糊分数表示为:![]()
其中D(·)是欧几里得距离。对于具有n个补丁的探针图像,计算补丁模糊度得分矩阵![]()

我们认为,yi和dj之间越模糊(即paij越大),则选择dj重建yi的可能性越小。因此,我们希望找到编码向量xi。这由以下稀疏编码模型表示:

其中α≥ 0。在实践中,可以进一步约束编码向量xi的稀疏性,因为重构每个探测片时应该使用很少的图库片。因此,我们的稀疏表示公式变为:

其中β≥ 0约束稀疏约束的强度。
设Y=[y1,···,yn],其中列为探针图像中包含的n个片的特征,X=[x1,··xn]∈ RK×n是对应的模糊(编码)矩阵。类似于稀疏表示分类,我们通过以下方式将探测部分人物图像Y分类为类ˆc

其中δc是选择与c类相关的系数的函数。n个片特征的重建残差之和是我们确定同一性的基础。我们将上述分类器称为模糊敏感匹配分类器(AMC)。
Global-to-Local Matching
上述基于局部片的匹配模型不捕获空间布局信息,不能保证给定部分探针图像匹配的图库局部块形成对应于探针中相同身体部位的相干和紧凑区域。为了克服这一限制,我们进一步考虑滑动窗口匹配(SWM)过程来执行全局到局部匹配。

具体地说,给定一个人的探针部分图像,我们使用与上一节相同的特征来表示它。我们设置了一个与探针图像大小相同的滑动窗口。然后,我们通过滑动每个库图像中的窗口来搜索每个库图像内最相似的图像区域(在我们的实验中,滑动搜索步骤是5个像素)。我们使用L1范数来测量滑动窗口内探针和画廊图像区域之间的距离。我们计算第c类画廊图像的最小距离lc。因此,所有C类的最小距离向量表示为:![]()

Classification
我们将 Local-to-Local Matching 和 Global-to-Local Matching 两个结果结合起来,得到 AMC-SWM
我们将 Local-to-Local Matching 和 Global-to-Local Matching 两个结果结合起来,得到 AMC-SWM
最后的结果如下所示:


浙公网安备 33010602011771号