卡尔曼滤波五个公式推导过程
一、假设条件
- 不确定性:所有状态量服从高斯分布,每个状态量的高斯分布有均值和方差,方差代表不确定性;
- 相关性:用协方差矩阵描述状态量间的不确定关系,一个变量可能影响其他变量。为对称矩阵,其非对角线元素代表变量之间的相关程度。有如下性质
( 1 )
二、基本定义
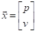
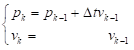
假设目标估计是机器人的位置和速度(两个融合数据源),则状态量可表示为:
( 2 )
记k时刻:
;状态量协方差矩阵:
;
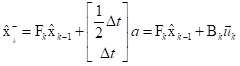
三、状态预测过程
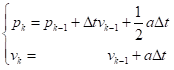
已知模型为:
( 3 )
表示成矩阵形式为:
( 4 )
其中Fk为状态转移矩阵,根据已知模型,描述k-1时刻状态预测得到k时刻状态的过程。
的协方差矩阵为:
考虑外部控制因素时,已知模型变为:
( 5 )
其矩阵形式为:
( 6 )
其中
为控制矩阵,
为控制向量。
考虑每一步预测必然存在的预测过程噪声,用过程噪声协方差矩阵描述其产生的不确定度,因此卡尔曼滤波状态预测方程为:
( 7 )
|
参数 |
含义 |
|
k 时刻的先验状态估计值,根据k-1时刻的最优估计预测的k时刻的结果,是预测方程的结果,滤波的中间计算结果 |
![]() |
k 时刻的先验估计协方差(的协方差),滤波的中间计算结果 |
![]() |
k-1时刻的后验状态估计值,即更新结果,滤波的结果之一 |
![]() |
k-1时刻的后验估计协方差(即的协方差),滤波的结果之一 |
四、状态观测更新过程
实际过程中,状态量里的元素并不是都可直接测量,因此利用观测转移矩阵表示观测结果预测值和状态量之间的转换:
( 8 )
其观测结果预测过程协方差矩阵为:
( 9 )
多个传感器实际观测结果组成的向量为观测向量
,同时考虑观测过程中传感器的测量噪声,用观测噪声协方差矩阵
描述传感器间的不确定度。
目前,观测过程得到两个高斯分布,一个是预测所得,一个是传感器测量得到,即:
观测预测分布:
( 10 )
观测过程分布:
( 11 )
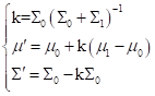
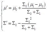
两个高斯分布相乘后的结果还符合高斯分布,组合成了一个新的高斯分布,即:
( 12 )
令
,则新高斯分布:
( 13 )
其矩阵形式为:
( 14 )
结合式(10),(11)和(14),得卡尔曼滤波全公式:
( 15 )
其中,
为卡尔曼增益。
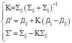
将式(15-b)方程等号两边均左乘
;式(15-c)方程等号两边均左乘
和右乘
,得卡尔曼滤波化简公式:
( 16 )
|
参数 |
含义 |
![]() |
k时刻的后验状态估计值或更新结果,滤波的结果之一 |
![]() |
实际观测和预测观测的残差,和 |
![]() |
k时刻的后验估计协方差(即的协方差),滤波的结果之一 |
因此,式(16)得到的就是状态观测更新过程方程,经过该方程得到的状态为k时刻的最佳预测,状态最优估计。






一起修正先验(预测),得到后验。
浙公网安备 33010602011771号