长推理≠高精度!自适应切换“秒答”与“深思”:省Token与提精度的双赢哲学
前言 长 CoT 推理并非总能提升准确率,甚至会削弱模型处理简单任务的能力。为此,本文提出基于置信度的自适应推理框架(CAR),它能根据模型困惑度动态选择短回答或详细的长文本推理:首先生成简短回答并评估困惑度,仅在模型置信度低(困惑度高)时触发推理。
欢迎关注公众号CV技术指南,专注于计算机视觉的技术总结、最新技术跟踪、经典论文解读、CV招聘信息。
本文转载自PaperWeekly
仅用于学术分享,若侵权请联系删除
招聘高光谱图像、语义分割、diffusion等方向论文指导老师
在多模态视觉问答、关键信息提取及文本推理等多个基准测试中,CAR 超越了单纯的短回答与长推理方法,实现了准确性与效率的最佳平衡。
论文标题:
Prolonged Reasoning Is Not All You Need: Certainty-Based Adaptive Routing for Efficient LLM/MLLM Reasoning
论文地址:
https://arxiv.org/abs/2505.15154
相关工作
CAR 是第一个自动化切换长短推理的方案。和 CAR 最相关的领域,应该是缩减推理过程中的 Token 数量的方案,旨在解决推理过程中 Token 过多带来的计算损耗增加的问题。
Concise Thoughts [1] 采用固定的全局 Token 预算限制 Token 的生成数量,而 Token-Budget-Aware 的 LLM 推理方式(TALE)[2] 则根据问题复杂度动态调整 Token 的数量预算。
然而,这些方法可能会引入额外的 LLM 调用,或面临不切实际的 Token 数目限制。此外,Chain of Draft(CoD)[3] 通过生成最少中间步骤来减少冗长性,在不影响准确性的前提下显著降低输出 Token 的数量。
近期,也有工作提出并行化推理的方法 [4] 以及牺牲可解释性完成预测 Token 数目缩减的方法 [5,6]。
先导实验
先导实验设置
我们在文本密集型视觉问答(VQA) 和 关键信息抽取(KIE) 领域展开先导实验,选取 8 个代表性数据集用于实验。其中包含VQA 数据集:DocVQA、InfoVQA、ChartQA、VisualMRC(涵盖文档、图表、信息图等多类型视觉文本);KIE 数据集:SROIE、CORD、FUNSD、POIE(聚焦票据、表格等结构化信息抽取)。
基于上述数据,我们对 Qwen2.5-0.5B 进行微调,在域内(DocVQA、ChartQA 等) 和域外(POIE、InfoVQA 等)数据集上评估性能,要求模型生成两种响应:简短答案(提示词:“Please directly output the answer”)和长文本推理 + 答案(提示词:“Please output the reasoning process before outputting the answer”)。
评估完成后,我们统计了对应数据集的准确率(Accuracy)和相应的回答的困惑度(PPL),其中 PPL 越低表示模型对答案的置信度越高。


实验发现:PPL 与准确率存在强负相关性。通过分析数据集级别的准确率与 PPL 关系,我们发现二者呈现显著逆相关(如图 1 所示):准确率越高的数据集,平均 PPL 越低。
此外如图 2 所示,我们发现数据集内部,预测正确的 examples 的平均 PPL score 也是低于预测错误的 examples 的平均 PPL score。
上述实验揭示了PPL 作为模型置信度指标的潜力。因此,我们首先提出一个基础的基于 PPL 的动态推理决策,即低置信度场景(PPL 超过阈值)下触发长文本推理,避免草率决策;在高置信度场景,直接输出简短答案,提升推理效率。
具体地,我们以测试集 PPL 分布的 75% 分位数作为阈值来评估性能(如表 1 所示)。实验发现模型在绝大多数数据集上均有明显性能提升。

方法(Certainty-based Adaptive Reasoning)
基于上述探索性的发现,本文将利用它们作为基础,开发一个使用困惑度(PPL)的动态推理决策框架Certainty-based Adaptive Reasoning(CAR),其目标是能够在推理过程中自适应地在短文本推理和长文本推理之间切换。
通过避免冗余计算,这种方法将显著提高模型的推理效率和准确性。如图 3(a)所示,我们首先使用包含简短答案的示例和包含长文本推理解答的示例来训练大语言模型(LLM)或多模态大语言模型(MLLM)。
随后,借助训练集的困惑度(PPL),我们估计正确和错误简短答案的 PPL 分布,这些分布用于决策制定。具体来说,如果估计的分布确定简短答案是正确的,所提出的方法会直接输出该正确答案。否则,它会执行长文本推理。推理过程如图 3(b)所示。

模型训练:我们将同时包含简短答案和长文本推理解答标注的训练示例进行混合,构建新的数据集。
为引导模型生成简短答案,使用指令:“Please directly output the answer”;若需生成带推理过程的长文本答案,则使用指令:“Please output the reasoning process before outputting the answer”。
随后采用标准指令微调流程,模型接收由输入文本和输出文本组成的序列,优化目标为交叉熵损失:
模型训练完成后,对训练集中所有样本进行短答案推理,生成预测答案并计算其困惑度值 PPL。Token 序列的困惑度定义为:
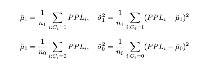
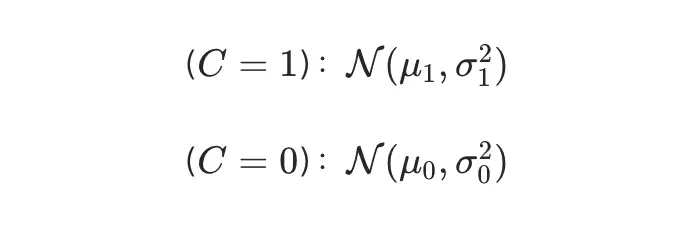
高斯分布建模:设二元变量 C 表示短答案是否正确(C=1 为正确,C=0 为错误),假设正确与错误答案的 PPL 分布均服从高斯分布:
概率密度函数分别为:
最后,通过训练数据估计其中参数(假设 n_1 和 n_0 分别为训练集中正确与错误回答的数量):
推理过程 对新输入 x,推理步骤如下:
1. 短回答推理:模型生成短回答,并计算相应的 PPL 为 PPL_new;
2. 概率计算:根据贝叶斯定理,将 PPL_new 代入概率密度函数,计算后验概率;
其中,先验概率分别为:
3. 决策规则:如果短回答的正确概率高于其可能错误的概率,直接输出短回答;否则触发模型的长推理。
实验结果
5.1 实现细节
我们采用 Qwen2-VL-7B-Instruct 作为多模态语言模型,并使用 Qwen2.5-7B-Instruct和Llama3.1-8B-Instruct 作为大语言模型,分别命名为 CAR、CAR 和 CAR。
所有模型均训练 3 个 epoch,使用批量大小为 32、学习率为 1e-6 的 AdamW 优化器。最大输入和输出序列长度分别设置为 4096 和 1024。训练在 8 块 NVIDIA A100 GPU 上进行。
为消除随机性影响,所有模型在测试期间均不使用采样方法,且统一采用 beam search=1 生成。此外,生成的最大 token 数设置为 1024,最大输入 token 数设置为 4096。
为了验证我们所提出方法的有效性,我们在三个多模态数据集上进行了实验:DocVQA、ChartQA 和 FUNSD。
与之前章节的先导实验不同,这里我们输入图像模态数据,并使用多模态大语言模型进行性能评估。由于这些数据集缺乏推理过程标注,我们复用了先导实验中获得的推理过程数据。
此外,我们还在文本数据集上对 CAR 方法进行了评估,选取了三个广泛使用的推理数据集:数学推理数据集 GSM8K 和 MathQA,以及常识推理数据集 StrategyQA。
5.2 多模态数据集性能比较
表 2 展示了多模态数据集上的性能表现。首先,CAR 相比 CAR 和 CAR 的优越性能,证明了使用困惑度(PPL)作为推理路径选择指标的有效性。
此外,CAR 实现了 77.9% 的最高平均准确率,分别比基线模型 Qwen2VL 和 Qwen2VL 提升了 2.8% 和 5.5%。
值得注意的是,我们的方法保持了还具备较少的 Token 使用(平均 86.9 个 token),仅为 Qwen2VL 所使用 Token 数量的 15%。这些结果表明了 CAR 在多模态场景中的实用性。

5.3 文本数据集性能比较
表 3 和 4 展示了基于文本的推理任务性能对比。CAR 方法表现出稳健的性能。具体地,使用 Qwen2.5-7B 模型时平均准确率达 81.1%,使用 Llama3.1-8B 时达 74.9%,均优于简短答案基线模型(55.8% 和 51.5%)以及长文本推理模型(75.0% 和 70.8%)。
值得注意的是,与仅长文本推理相比,CAR 的 Token 使用量分别减少了 45.1%(采用 Qwen2.5 模型)和 45.6%(采用 Llama3.1 模型)。在 Qwen2.5 模型中,CAR 始终优于 CAR 和 CAR,再次证明了使用困惑度(PPL)作为路径选择指标的有效性。
此外,CAR 的性能均优于 TALE 和 COD 等先进的 Token 缩减方法。具体而言,在 Qwen2.5 模型上,CAR 的平均准确率比 TALE 高 8.3%,比 COD 高 6.9%,同时保持最低的 Token 使用数量(即 69.2 个 Token)。
类似地,在 Llama3.1 模型上,CAR 的平均准确率分别比 TALE 和 COD 高 6.6% 和 5.5%,且生成的 token 数量最少。
值得注意的是,CAR 的自适应路由在 MathQA 数据集上尤其有效(如 Llama3.1 模型下 70.2% vs. COD 的 59.1%,Qwen2.5 模型下83.8% vs. COD 的 67.1%),这一现象的潜在原因是提出的 CAR 模型消除了不必要的推理步骤。其凸显了 CAR 在不同推理范式中的实用性。


5.4 融合 TALE 方法后的性能比较
我们额外探索了将 CAR 框架与 TALE 等 Token 缩减技术结合的可行性,通过用 TALE 生成的简短推理步骤替代原始推理过程,在 Qwen2.5-7B 和 Llama3.1-8B 上构建了 CAR-TALE 系列变体。
表 5 与表 6 的结果表明:在 Qwen2.5 模型上,CAR 与 TALE 结合后,平均准确率从 78.8% 提升至 85.5%(+6.7%),生成 token 数从 127.8 减少至 111.3,实现性能与效率双提升。
在 Llama3.1 模型上,结合 TALE 后,平均准确率从 71.6% 提升至 80.8%(+9.2%),验证了融合方案的有效性。
实验证明,CAR 与 Token 缩减技术具有协同优势,通过自适应推理框架的动态路径选择与推理 Token 缩减的技术结合,可进一步优化大模型推理的效率与准确性。


总结
我们提出基于置信度的自适应推理框架(CAR),该框架可根据模型置信度动态切换短回答与长文本推理模式。
通过困惑度(PPL)量化模型对答案的置信度,CAR 在高置信度时直接输出短回答以提升效率,低置信度时触发长文本推理以确保准确性。
实验表明,在多模态(如 DocVQA、ChartQA)和文本推理(如 GSM8K、MathQA)任务中,CAR 的 token 使用量较纯长文本推理减少 45% 以上,平均准确率提升 6%-8%,在 Qwen2.5、Llama3.1 等模型上均优于基线方法,尤其在数学推理任务中显著减少冗余步骤。
CAR 打破了“长文本推理必然性能更好”的固有认知,为大模型推理提供了更灵活高效的解决方案,推动大模型推理向智能化、轻量化方向发展。
参考文献
[1] Nayab, Sania, et al. "Concise thoughts: Impact of output length on llm reasoning and cost." arXiv preprint arXiv:2407.19825 (2024).
[2] Han, Tingxu, et al. "Token-budget-aware llm reasoning." arXiv preprint arXiv:2412.18547 (2024).
[3] Xu, Silei, et al. "Chain of draft: Thinking faster by writing less." arXiv preprint arXiv:2502.18600 (2025).
[4] Ning, Xuefei, et al. "Skeleton-of-thought: Large language models can do parallel decoding." Proceedings ENLSP-III (2023).
[5] Hao, Shibo, et al. "Training large language models to reason in a continuous latent space." arXiv preprint arXiv:2412.06769 (2024).
[6] Shen, Zhenyi, et al. "Codi: Compressing chain-of-thought into continuous space via self-distillation." arXiv preprint arXiv:2502.21074 (2025).
欢迎关注公众号CV技术指南,专注于计算机视觉的技术总结、最新技术跟踪、经典论文解读、CV招聘信息。
【技术文档】《从零搭建pytorch模型教程》122页PDF下载
QQ交流群:470899183。群内有大佬负责解答大家的日常学习、科研、代码问题。
其它文章
LSKA注意力 | 重新思考和设计大卷积核注意力,性能优于ConvNeXt、SWin、RepLKNet以及VAN
CVPR 2023 | TinyMIM:微软亚洲研究院用知识蒸馏改进小型ViT
ICCV2023|涨点神器!目标检测蒸馏学习新方法,浙大、海康威视等提出
ICCV 2023 Oral | 突破性图像融合与分割研究:全时多模态基准与多交互特征学习
HDRUNet | 深圳先进院董超团队提出带降噪与反量化功能的单帧HDR重建算法
南科大提出ORCTrack | 解决DeepSORT等跟踪方法的遮挡问题,即插即用真的很香
1800亿参数,世界顶级开源大模型Falcon官宣!碾压LLaMA 2,性能直逼GPT-4
SAM-Med2D:打破自然图像与医学图像的领域鸿沟,医疗版 SAM 开源了!
GhostSR|针对图像超分的特征冗余,华为诺亚&北大联合提出GhostSR
Meta推出像素级动作追踪模型,简易版在线可玩 | GitHub 1.4K星
CSUNet | 完美缝合Transformer和CNN,性能达到UNet家族的巅峰!
浙公网安备 33010602011771号