【三维空间刚体运动】
【三维空间刚体运动】
※描述刚体在三维空间的运动:一次平移+一次旋转
※位姿:位置+姿态
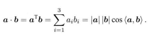
线代知识补充:内积/外积
内积
结果是一个值

外积
结果是一个向量 方向垂直于这两个向量
大小为|a||b|sin<a,b> 是两向量张成四边形的有向面积
计算方式
定义法->求行列式

i,j,k分别为x,y,z轴方向的单位向量
反对称矩阵法

注意点
任意向量都对应唯一反对称矩阵
两向量内积结果和坐标系选取无关
旋转矩阵
欧式变换:一次平移+一次旋转


->得三个坐标系分别的旋转矩阵

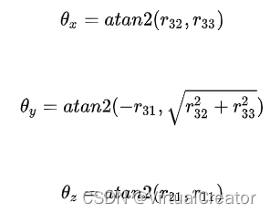
欧拉角
https://www.cnblogs.com/whiteink/articles/18579594
万向节死锁

欧拉角和旋转矩阵的变换



浙公网安备 33010602011771号