重定位算法(一)
一、点云
我们在做 3D 视觉的时候,处理的主要是点云,点云就是一些点的集合。相对于图像,点云有其不可替代的优势——深度,也就是说三维点云直接提供了三维空间的数据,而图像则需要通过透视几何来反推三维数据。
而实际上点云是某个坐标系下的点的数据集。点包含了丰富的信息,包括三维坐标 X,Y,Z、颜色、分类值、强度值、时间等等。点云在组成特点上分为两种,一种是有序点云,一种是无序点云。
- 有序点云:一般由深度图还原的点云,有序点云按照图方阵一行一行的,从左上角到右下角排列,当然其中有一些无效点因为。有序点云按顺序排列,可以很容易的找到它的相邻点信息。有序点云在某些处理的时候还是很便利的,但是很多情况下是无法获取有序点云的。
- 无序点云:无序点云就是其中的点的集合,点排列之间没有任何顺序,点的顺序交换后没有任何影响。是比较普遍的点云形式,有序点云也可看做无序点云来处理。
而目前为止我常用的点云格式为PCD,PCD 格式具有文件头,用于描绘点云的整体信息:定义数字的可读头、尺寸、点云的维数和数据类型;一种数据段,可以是 ASCII 码或二进制码。数据本体部分由点的笛卡尔坐标构成,文本模式下以空格做分隔符。其中比较重要的是VIEWPOINT,这个字段存储了点云坐标系和世界参考坐标系之间的四元数关系。
二、icp算法
学习链接:https://blog.csdn.net/qq_41685265/article/details/107140349
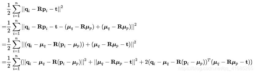
icp算法本质不难,其实就是对源点云图和当前点云图进行迭代匹配,求出旋转矩阵(R)和平移向量(t)。
对于R和t而言,有许多办法,博客介绍了一种SVD算法:
首先定义两种点云的质心
,
,并作出如下处理:


至此,我们知道了icp的原理和求R和t的方法。
三、gicp算法
在诸多大佬24赛季的开源中,提到使用icp算法进行重定位,但都存在一个问题是,使用该算法占用资源较大,在cpu调度下可能只有10Hz左右,诸如中南大学等学校使用icp仅仅作为初始定位的工具,后续定位纯依靠里程计来维持,这样虽然能避免icp占用资源较大的问题,但是如若场上遇到突发情况,比如撞车等,把里程计撞飘了之后,导航就寄了,还是不可逆的,而深北佬24赛季所用的slamtoolbox虽然占用资源少,但是在靠近墙体时定位还是会飘,所以急需一种,定位准确且轻量化的算法,然后我就发现了gicp算法。
学习链接:https://www.guyuehome.com/detail?id=1825491470694281217
具体推导我也看不太懂,就从代码出发看看究竟是个什么事。
int main()
{
pcl::console::TicToc time;
// -----------------加载点云数据---------------------------
pcl::PointCloud<pcl::PointXYZ>::Ptr target(new pcl::PointCloud<pcl::PointXYZ>);
pcl::io::loadPCDFile<pcl::PointXYZ>("30m1A.pcd", *target);
pcl::PointCloud<pcl::PointXYZ>::Ptr source(new pcl::PointCloud<pcl::PointXYZ>);
pcl::io::loadPCDFile<pcl::PointXYZ>("30m2A.pcd", *source);
cout << "读取源点云个数:" << source->points.size() << endl;
cout << "读取目标点云个数:" << target->points.size() << endl;
time.tic();
//-----------------初始化GICP对象-------------------------
pcl::GeneralizedIterativeClosestPoint<pcl::PointXYZ, pcl::PointXYZ> gicp;
//-----------------KD树加速搜索---------------------------
pcl::search::KdTree<pcl::PointXYZ>::Ptr tree1(new pcl::search::KdTree<pcl::PointXYZ>);
tree1->setInputCloud(source);
pcl::search::KdTree<pcl::PointXYZ>::Ptr tree2(new pcl::search::KdTree<pcl::PointXYZ>);
tree2->setInputCloud(target);
gicp.setSearchMethodSource(tree1);
gicp.setSearchMethodTarget(tree2);
//-----------------设置GICP相关参数-----------------------
gicp.setInputSource(source); //源点云
gicp.setInputTarget(target); //目标点云
gicp.setMaxCorrespondenceDistance(100); //设置对应点对之间的最大距离
gicp.setTransformationEpsilon(1e-10); //为终止条件设置最小转换差异
/* gicp.setSourceCovariances(source_covariances);
gicp.setTargetCovariances(target_covariances);*/
gicp.setEuclideanFitnessEpsilon(0.001); //设置收敛条件是均方误差和小于阈值, 停止迭代
gicp.setMaximumIterations(35); //最大迭代次数
//gicp.setUseReciprocalCorrespondences(true);//使用相互对应关系
// 计算需要的刚体变换以便将输入的源点云匹配到目标点云
pcl::PointCloud<pcl::PointXYZ>::Ptr icp_cloud(new pcl::PointCloud<pcl::PointXYZ>);
gicp.align(*icp_cloud);
//---------------输出必要信息到显示--------------------
cout << "Applied " << 35 << " GICP iterations in " << time.toc()/1000 << " s" << endl;
cout << "\nGICP has converged, score is " << gicp.getFitnessScore() << endl;
cout << "变换矩阵:\n" << gicp.getFinalTransformation() << endl;
// 使用变换矩阵对为输入点云进行变换
pcl::transformPointCloud(*source, *icp_cloud, gicp.getFinalTransformation());
//pcl::io::savePCDFileASCII (".pcd", *icp_cloud);
// -----------------点云可视化--------------------------
boost::shared_ptr<pcl::visualization::PCLVisualizer>
viewer_final(new pcl::visualization::PCLVisualizer("配准结果"));
viewer_final->setBackgroundColor(0, 0, 0); //设置背景颜色为黑色
// 对目标点云着色可视化 (red).
pcl::visualization::PointCloudColorHandlerCustom<pcl::PointXYZ>
target_color(target, 255, 0, 0);
viewer_final->addPointCloud<pcl::PointXYZ>(target, target_color, "target cloud");
viewer_final->setPointCloudRenderingProperties(pcl::visualization::PCL_VISUALIZER_POINT_SIZE,
1, "target cloud");
// 对源点云着色可视化 (green).
pcl::visualization::PointCloudColorHandlerCustom<pcl::PointXYZ>
input_color(source, 0, 255, 0);
viewer_final->addPointCloud<pcl::PointXYZ>(source, input_color, "input cloud");
viewer_final->setPointCloudRenderingProperties(pcl::visualization::PCL_VISUALIZER_POINT_SIZE,
1, "input cloud");
// 对转换后的源点云着色 (blue)可视化.
pcl::visualization::PointCloudColorHandlerCustom<pcl::PointXYZ>
output_color(icp_cloud, 0, 0, 255);
viewer_final->addPointCloud<pcl::PointXYZ>(icp_cloud, output_color, "output cloud");
viewer_final->setPointCloudRenderingProperties(pcl::visualization::PCL_VISUALIZER_POINT_SIZE,
1, "output cloud");
while (!viewer_final->wasStopped())
{
viewer_final->spinOnce(100);
boost::this_thread::sleep(boost::posix_time::microseconds(100000));
}
return (0);
}
这一部分加载和遍历点云数据,属于预处理部分
pcl::console::TicToc time;
// -----------------加载点云数据---------------------------
pcl::PointCloud<pcl::PointXYZ>::Ptr target(new pcl::PointCloud<pcl::PointXYZ>);
pcl::io::loadPCDFile<pcl::PointXYZ>("30m1A.pcd", *target);
pcl::PointCloud<pcl::PointXYZ>::Ptr source(new pcl::PointCloud<pcl::PointXYZ>);
pcl::io::loadPCDFile<pcl::PointXYZ>("30m2A.pcd", *source);
cout << "读取源点云个数:" << source->points.size() << endl;
cout << "读取目标点云个数:" << target->points.size() << endl;
time.tic();
//-----------------初始化GICP对象-------------------------
pcl::GeneralizedIterativeClosestPoint<pcl::PointXYZ, pcl::PointXYZ> gicp;
//-----------------KD树加速搜索---------------------------
pcl::search::KdTree<pcl::PointXYZ>::Ptr tree1(new pcl::search::KdTree<pcl::PointXYZ>);
tree1->setInputCloud(source);
pcl::search::KdTree<pcl::PointXYZ>::Ptr tree2(new pcl::search::KdTree<pcl::PointXYZ>);
tree2->setInputCloud(target);
gicp.setSearchMethodSource(tree1);
gicp.setSearchMethodTarget(tree2);
这一部分设置了gicp的相关参数,主要是运用gicp提供的相关函数,会用就行。
gicp.setInputSource(source); //源点云
gicp.setInputTarget(target); //目标点云
gicp.setMaxCorrespondenceDistance(100); //设置对应点对之间的最大距离
gicp.setTransformationEpsilon(1e-10); //为终止条件设置最小转换差异
/* gicp.setSourceCovariances(source_covariances);
gicp.setTargetCovariances(target_covariances);*/
gicp.setEuclideanFitnessEpsilon(0.001); //设置收敛条件是均方误差和小于阈值, 停止迭代
gicp.setMaximumIterations(35); //最大迭代次数
//gicp.setUseReciprocalCorrespondences(true);//使用相互对应关系
// 计算需要的刚体变换以便将输入的源点云匹配到目标点云
pcl::PointCloud<pcl::PointXYZ>::Ptr icp_cloud(new pcl::PointCloud<pcl::PointXYZ>);
gicp.align(*icp_cloud);
//---------------输出必要信息到显示--------------------
cout << "Applied " << 35 << " GICP iterations in " << time.toc()/1000 << " s" << endl;
cout << "\nGICP has converged, score is " << gicp.getFitnessScore() << endl;
cout << "变换矩阵:\n" << gicp.getFinalTransformation() << endl;
// 使用变换矩阵对为输入点云进行变换
pcl::transformPointCloud(*source, *icp_cloud, gicp.getFinalTransformation());
最后再输出可视化结果(摘自古月居教程)

至此,其实把相关知识点都已经过了一遍,那现在要直面问题了,在迭代导航代码的时候,我发现在使用深北佬开源的smgicp算法时,会出现点云相关的报错,这时我发现我的相关概念基本为0,故得先补充知识点,有一定认识才能读懂,故下一步的安排就是读懂代码并发现报错。

浙公网安备 33010602011771号