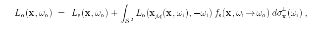
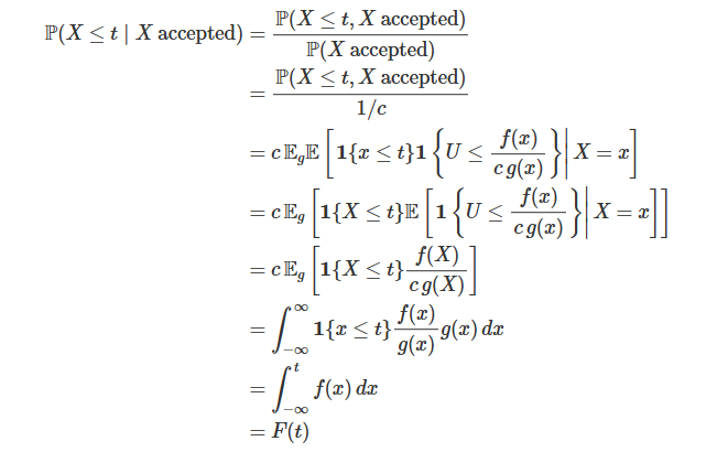
image2





























































































































posted on 2024-10-25 15:15 Ultraman_X 阅读(23) 评论(0) 收藏 举报
浙公网安备 33010602011771号