控制流1(条件判断语句)
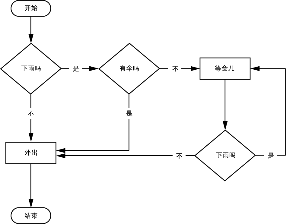
一、一张图告诉你下雨需要做什么

1、布尔值 :True和False
2、比较运算符
| 操作符 | 含义 |
| == | 等于 |
| != | 不等于 |
| < | 小于 |
| > | 大于 |
| <= | 小于等于 |
| >= | 大于等于 |
二、控制流的元素
1、条件(条件总是求值为一个布尔值,True或False)
2、代码块
三、控制流语句
1、if 语句
①if 是关键字
②条件(求值为True 或False的表达式)
③冒号不可少
④缩进,编写代码块
例如:如果今天下大雨,出门请带伞(下雨为rain)
rain = input('请输入天气:')
if rain=='大雨':
print('出门请带伞')

2、else 语句
还是上面例子,如果下大雨,出门带伞,否则请不要出门
rain = input('请输入天气:')
if rain=='大雨':
print('出门请带伞')
else:
print('请不要出门')

3、elif 语句
还是上面的例子,再加一个条件:如果没下雨,就不用带伞
rain = input('请输入天气:')
if rain=='大雨':
print('出门请带伞')
elif rain=='晴天':
print('您不用带伞')
else:
print('请不要出门')

4、我们来实现刚开始那张图:下雨需要我们做什么
import time print('-'*25+'请问下雨吗?'+'-'*25) rain =input('请您输是否下雨(是或否):') if rain=='是': print('*'*5+'请问您有伞吗?'+'*'*5) san=input('请您输入是否有伞') if san=='有': print('您能外出!') elif san=='没有': while True: print('*'*5+'等一小会?'+'*'*5) time.sleep(5) print('*'*5+'这会还下雨?'+'*'*5) rain1 =input('请输入') if rain1=='没有': print('您能外出了!') break else: pass else: print('可以外出!')
里面有循环,模块后续会讲到
上一节 下一节 返回目录

浙公网安备 33010602011771号