根据数据选择合适的时序模型和合适的预测方法
根据财政收入数据选择合适的时序模型和合适的预测方法
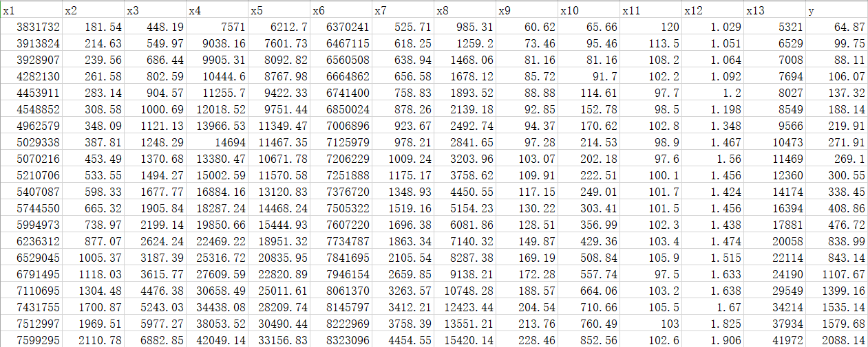
财政收入数据如下(文件名为data.csv):

对于上述的数据,我采用两种时序模型和预测方法,分别是灰色预测+SVR和ARIMA。
一、灰色预测+SVR
1、对财政收入数据进行分析
首先要读取上述所提到的财政收入数据,代码如下:
import numpy as np import pandas as pd inputfile = 'data.csv' # 输入的数据文件 data = pd.read_csv(inputfile) # 读取数据
然后根据所读取的数据进行描述性统计分析
代码如下:
# 描述性统计分析 description = [data.min(), data.max(), data.mean(), data.std()] # 依次计算最小值、最大值、均值、标准差 description = pd.DataFrame(description, index = ['Min', 'Max', 'Mean', 'STD']).T # 将结果存入数据框 print('描述性统计结果:\n',np.round(description, 2)) # 保留两位小数
结果如下:

然后根据所读取的数据进行相关性分析
代码如下:
# 相关性分析 corr = data.corr(method = 'pearson') # 计算相关系数矩阵 print('相关系数矩阵为:\n',np.round(corr, 2)) # 保留两位小数
结果如下:

最后根据所读取的数据绘制相关性热力图
代码如下:
# 绘制热力图 import matplotlib.pyplot as plt import seaborn as sns plt.subplots(figsize=(10, 10)) # 设置画面大小 sns.heatmap(corr, annot=True, vmax=1, square=True, cmap="Blues") plt.title('相关性热力图') plt.show() plt.close
结果如下:

根据相关性分析和相关性热力图,可以得知以上各种因素(x)对财政收入(y)的影响程度的大小。
为了方便一次性运行,于是将以上对数据的分析整合到一起;完整代码如下:
#-*- coding: utf-8 -*- import numpy as np import pandas as pd inputfile = 'data.csv' # 输入的数据文件 data = pd.read_csv(inputfile) # 读取数据 # 描述性统计分析 description = [data.min(), data.max(), data.mean(), data.std()] # 依次计算最小值、最大值、均值、标准差 description = pd.DataFrame(description, index = ['Min', 'Max', 'Mean', 'STD']).T # 将结果存入数据框 print('描述性统计结果:\n',np.round(description, 2)) # 保留两位小数 # 相关性分析 corr = data.corr(method = 'pearson') # 计算相关系数矩阵 print('相关系数矩阵为:\n',np.round(corr, 2)) # 保留两位小数 # 绘制热力图 import matplotlib.pyplot as plt import seaborn as sns plt.subplots(figsize=(10, 10)) # 设置画面大小 sns.heatmap(corr, annot=True, vmax=1, square=True, cmap="Blues") plt.title('相关性热力图') plt.show() plt.close
2、选取影响财政收入的关键因素
对于上述所做的分析,我们可以得知各种因素对财政收入的影响程度各异,所以我们有必要对影响因素进行筛选,得到对财政收入影响较大的关键因素
代码如下:
#-*- coding: utf-8 -*- import numpy as np import pandas as pd from sklearn.linear_model import Lasso inputfile = 'data.csv' # 输入的数据文件 data = pd.read_csv(inputfile) # 读取数据 lasso = Lasso(1000) # 调用Lasso()函数,设置λ的值为1000 lasso.fit(data.iloc[:,0:13],data['y']) print('相关系数为:',np.round(lasso.coef_,5)) # 输出结果,保留五位小数 print('相关系数非零个数为:',np.sum(lasso.coef_ != 0)) # 计算相关系数非零的个数 mask = lasso.coef_ != 0 # 返回一个相关系数是否为零的布尔数组 print('相关系数是否为零:',mask) mask = np.append(mask,True) outputfile ='new_reg_data.csv' # 输出的数据文件 new_reg_data = data.iloc[:, mask] # 返回相关系数非零的数据 new_reg_data.to_csv(outputfile) # 存储数据 print('输出数据的维度为:',new_reg_data.shape) # 查看输出数据的维度
结果如下:

并得到关键因素的数据(文件名为new_reg_data.csv):

3、构建灰度预测+SVR并得到预测结果
首先建立了一个自定义灰色预测函数,代码如下:
#-*- coding: utf-8 -*- def GM11(x0): #自定义灰色预测函数 import numpy as np x1 = x0.cumsum() #1-AGO序列 z1 = (x1[:len(x1)-1] + x1[1:])/2.0 #紧邻均值(MEAN)生成序列 z1 = z1.reshape((len(z1),1)) B = np.append(-z1, np.ones_like(z1), axis = 1) Yn = x0[1:].reshape((len(x0)-1, 1)) [[a],[b]] = np.dot(np.dot(np.linalg.inv(np.dot(B.T, B)), B.T), Yn) #计算参数 f = lambda k: (x0[0]-b/a)*np.exp(-a*(k-1))-(x0[0]-b/a)*np.exp(-a*(k-2)) #还原值 delta = np.abs(x0 - np.array([f(i) for i in range(1,len(x0)+1)])) C = delta.std()/x0.std() P = 1.0*(np.abs(delta - delta.mean()) < 0.6745*x0.std()).sum()/len(x0) return f, a, b, x0[0], C, P #返回灰色预测函数、a、b、首项、方差比、小残差概率
然后根据自定义灰色预测函数对关键因素的数据进行预测
代码如下:
#-*- coding: utf-8 -*- import sys sys.path.append('D:/学习/python大数据分析/第6周课堂练习') # 设置路径 import numpy as np import pandas as pd from GM11 import GM11 # 引入自编的灰色预测函数 inputfile1 = 'new_reg_data.csv' # 输入的数据文件 inputfile2 = 'data.csv' # 输入的数据文件 new_reg_data = pd.read_csv(inputfile1) # 读取经过特征选择后的数据 data = pd.read_csv(inputfile2) # 读取总的数据 new_reg_data.index = range(1994, 2014) new_reg_data.loc[2014] = None new_reg_data.loc[2015] = None l = ['x1', 'x3', 'x4', 'x5', 'x6', 'x7', 'x8', 'x13'] for i in l: f = GM11(new_reg_data.loc[range(1994, 2014),i].values)[0] new_reg_data.loc[2014,i] = f(len(new_reg_data)-1) # 2014年预测结果 new_reg_data.loc[2015,i] = f(len(new_reg_data)) # 2015年预测结果 new_reg_data[i] = new_reg_data[i].round(2) # 保留两位小数 outputfile = 'new_reg_data_GM11.xls' # 灰色预测后保存的路径 y = list(data['y'].values) # 提取财政收入列,合并至新数据框中 y.extend([np.nan,np.nan]) new_reg_data['y'] = y new_reg_data.to_excel(outputfile) # 结果输出 print('预测结果为:\n',new_reg_data.loc[2014:2015,:]) # 预测结果展示
结果如下:

有了2014年和2015年的预测结果后,再利用SVR得到2014年和2015年的财政收入的预测值
代码如下:
import matplotlib.pyplot as plt from sklearn.svm import LinearSVR inputfile = 'new_reg_data_GM11.xls' # 灰色预测后保存的路径 data = pd.read_excel(inputfile) # 读取数据 feature = ['x1', 'x3', 'x4', 'x5', 'x6', 'x7', 'x8', 'x13'] # 属性所在列 data_train = data.iloc[0:20].copy() # 取2014年前的数据建模 data_mean = data_train.mean() data_std = data_train.std() data_train = (data_train - data_mean)/data_std # 数据标准化 x_train = data_train[feature].values # 属性数据 y_train = data_train['y'].values # 标签数据 linearsvr = LinearSVR() # 调用LinearSVR()函数 linearsvr.fit(x_train,y_train) x = ((data[feature] - data_mean[feature])/data_std[feature]).values # 预测,并还原结果。 data['y_pred'] = linearsvr.predict(x) * data_std['y'] + data_mean['y'] outputfile = 'new_reg_data_GM11_revenue.xls' # SVR预测后保存的结果 data.to_excel(outputfile) print('真实值与预测值分别为:\n',data[['y','y_pred']]) fig = data[['y','y_pred']].plot(subplots = True, style=['b-o','r-*']) # 画出预测结果图 plt.show()
结果如下:


根据实际值与预测值以及预测效果图的对比,灰度预测+SVR的预测效果还是挺不错的。
其中2014年和2015年的财政收入预测值分别为

二、ARIMA
1、导入所需的库
import pandas as pd import matplotlib.pyplot as plt from statsmodels.graphics.tsaplots import plot_acf from statsmodels.tsa.stattools import adfuller as ADF from statsmodels.graphics.tsaplots import plot_pacf from statsmodels.stats.diagnostic import acorr_ljungbox from statsmodels.tsa.arima_model import ARIMA
2、读取数据
# 读取数据 discfile = 'data.csv' data = pd.read_csv(discfile) x = [] for i in range(1994,2014): x.append(str(i)) y = data['y']
3、时序图、自相关图、平稳性检验
代码如下:
# 时序图 plt.rcParams['font.sans-serif'] = ['SimHei'] # 用来正常显示中文标签 plt.rcParams['axes.unicode_minus'] = False # 用来正常显示负号 plt.plot(x, y) plt.scatter(x, y) plt.show() # 自相关图 plot_acf(data['y']).show() # 平稳性检测 print('原始序列的ADF检验结果为:', ADF(data['y'])) # 返回值依次为adf、pvalue、usedlag、nobs、critical values、icbest、regresults、resstore
结果如下:
(1)时序图

(2)自相关图

(3)平稳性检验

4、差分
代码如下:
#数据预处理 new_data = pd.DataFrame() new_data['x'] = x new_data['y'] = y new_data.set_index('x',inplace=True) new_data.head() # 差分后的结果 D_data = new_data.diff().dropna() D_data.columns = ['y_diff'] D_data.plot() # 时序图 plt.show() plot_acf(D_data).show() # 自相关图 plot_pacf(D_data).show() # 偏自相关图 print('差分序列的ADF检验结果为:', ADF(D_data['y_diff'])) # 平稳性检测 # 白噪声检验 print('差分序列的白噪声检验结果为:', acorr_ljungbox(D_data, lags=1)) # 返回统计量和p值
结果如下:
(1)差分后的时序图

(2)差分后的自相关图

(3)差分后的偏自相关图

(4)差分后的平稳性检测

(5)差分后的白噪声检验

5、定阶
代码如下:
# 定阶 new_data['y'] = new_data['y'].astype(float) pmax = int(len(D_data)/10) # 一般阶数不超过length/10 qmax = int(len(D_data)/10) # 一般阶数不超过length/10 bic_matrix = [] # BIC矩阵 for p in range(pmax+1): tmp = [] for q in range(qmax+1): try: # 存在部分报错,所以用try来跳过报错。 tmp.append(ARIMA(new_data['y'], (p,1,q)).fit().bic) except: tmp.append(None) bic_matrix.append(tmp) bic_matrix = pd.DataFrame(bic_matrix).astype(float) # 从中可以找出最小值 p,q = bic_matrix.stack().idxmin() # 先用stack展平,然后用idxmin找出最小值位置。 print('BIC最小的p值和q值为:%s、%s' %(p,q)) model = ARIMA(data['y'], (p,1,q)).fit() # 建立ARIMA(0, 1, 1)模型 print('模型报告为:\n', model.summary2()) print('预测未来2年,其预测结果、标准误差、置信区间如下:\n', model.forecast(2))
结果如下:

其中2014年和2015年的财政收入预测结果分别为

从结果来看,ARIMA的的预测效果不如灰度预测+SVR的好。
浙公网安备 33010602011771号