计算逆矩阵之简单方法

  在学习高等代数的时候(有些同学学习线性代数),我们会遇到逆矩阵的计算,常用的方法在书中和网上都有很多介绍,下面我们来学习一种简单的方法:

公式:

  若矩阵为,则逆矩阵为。假设A中的元素已知,即aij已知;A-1中的元素未知,即xij未知。

由于A*A-1=E,即;于是我们可以分解成

 

 

然后求解即可。

注意:

  三阶矩阵、四阶矩阵等等高阶矩阵的计算方法都是一样的,先将A*A-1=E,然后将A-1分成多列,再然后一列一列的求解,最终得到逆矩阵。

举例:

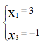
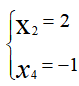
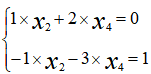
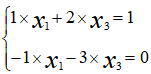
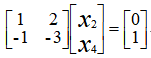
若矩阵为,则假设逆矩阵为。由于A*A-1=E,即,于是分解成

即解方程组,解得,因此逆矩阵为

 

posted @ 2021-12-28 15:56  Song-SH  阅读(3315)  评论(0)    收藏  举报