组合数学
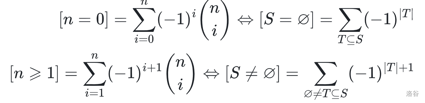
容斥原理

因此可以导出我们的处理方法:把禁止违反规则改为钦定违反了哪几条规则,并赋以(-1)^k(假设违反了k条规则)的容斥系数。
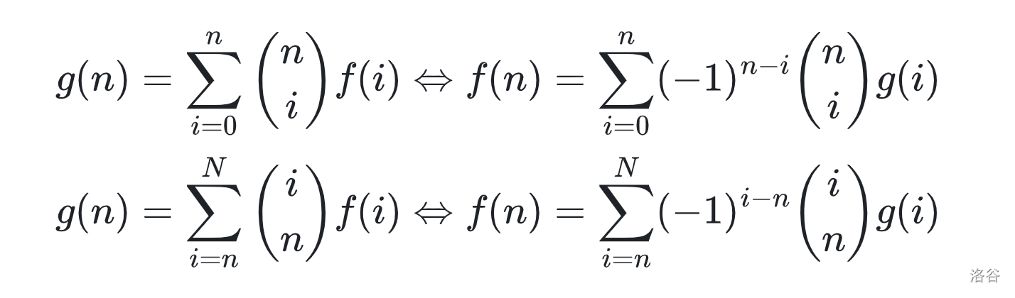
二项式反演

二项式反演本质上只是一个容斥。关键在于,我们要如何利用好这个重要的式子。往往,我们都想要求出f但只会快速求出g,此时我们会使用二项式反演,通过g逆向得到我们想要的f
矩阵树定理
定义一张无向图 G 的 Laplace 矩阵 Lg
为度数矩阵减去邻接矩阵,那么其生成树个数为 i, Lg任意选取一个 i ,
去除第 i 行 i 列后矩阵的行列式。
Cayley 公式
Cayley 公式:有标号无根树的数量为 n^n-2
,有标号有根树的数量为 n^n-1
。
扩展 Cayley 公式:n
个有标号结点形成 s 棵树的森林且 1,2,3,....s
不属于同一棵树的方
案数为 sn^n-s-1
。

浙公网安备 33010602011771号