红黑树
本文部分图片来源于:https://www.cnblogs.com/LiaHon/p/11203229.html,https://www.jianshu.com/p/84416644c080
红黑树在线演示工具:http://algoanim.ide.sk/index.php?page=showanim&id=63
红黑树,Red-Black Tree 「RBT」是一个自平衡(不是绝对的平衡)的二叉查找树(BST),树上的每个节点都遵循下面的规则:
- 根节点始终是黑色的
- 每个节点都是红色或黑色
- 没有两个相邻的红色节点(红色节点不能有红色父节点或红色子节点,并没有说不能出现连续的黑色节点)
- 从节点(包括根)到其任何后代NULL节点(叶子结点下方挂的两个空节点,并且认为他们是黑色的)的每条路径都具有相同数量的黑色节点
红黑树通过旋转和变色实现自平衡,优先变色,变色无法自平衡后,再进行旋转
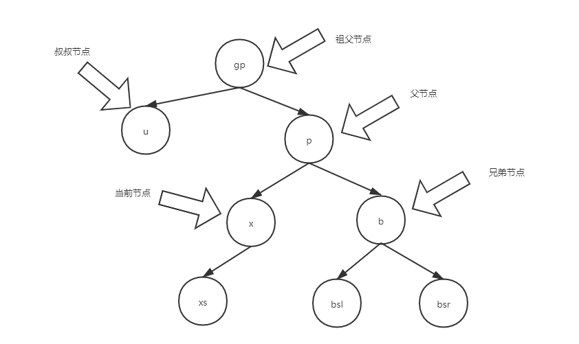
开始逻辑前,约定叫法:

左旋:

右旋:

左左旋转:

左右旋转:

右左旋转:

右右旋转:

插入具体逻辑:
- 初始化插入的节点x为红色
- 判断树是否空。空,将x标记为黑色
- 找到要插入的位置,将x插入
- 判断父节点及叔节点颜色(以下只执行一条就到步骤5)
- 父黑:无需改变,插入完成
- 父红,叔红:父叔变黑,祖父变红
- 父红,叔黑:判断父节点及X的位置
- 父左x左:左左旋转(祖父节点左旋,祖父变红,父变黑)
- 父左x右:左右旋转(父节点左旋,祖父节点右旋,祖父变红,x变黑)
- 父右x左:右左旋转(父节点右旋,祖父节点左旋,祖父变红,x变黑)
- 父右x右:右右旋转(祖父节点右旋,祖父变红,父变黑)
- 以4步骤最终变动的局部树的根节点为基础,重新进行4步骤
插入流程图:

删除:
- 实际上是删除的是距离删除节点最近的前继节点或后继节点
- 实际删除的节点只有三种情况:
- 根节点
- 叶子节点
- 只有一个子节点的节点
前继节点:小于删除节点的最大节点
后继节点:大于删除节点的最小节点
当实际删除节点为黑色并且非根节点时,主要通过判断 [兄节点的位置/颜色]、[兄的子节点的颜色]、[父节点颜色] ,通过变色,旋转直到下列二种情况为平衡:
1,b、bs全黑,p为红,交换p、b的颜色,平衡结束
2,b、bs不全黑,bsl为红,以p左旋,交换p、b颜色,bsr变黑,平衡结束(前继节点)
3,b、bs不全黑,bsr为红,以p右旋,交换p、b颜色,bsl变黑,平衡结束(后继节点)
删除后平衡情形:

删除具体逻辑(前继节点版):
- 找到要删除的节点,
- 判断是否跟节点,是,删除,流程结束
- 找到前继节点x
- 将x的值复制到要删除的节点内
- 判断x的颜色
- 若x的颜色为红,判断x是否有儿子xs
- 无xs,删除x,流程结束
- 有xs,删除x,p指向xs,流程结束
- 若x的颜色为黑,判断b的颜色
- b为黑,判断bsl和bsr是否全黑
- 全黑,判断p颜色
- p红,交换p、b颜色,流程结束
- p黑,b变红,将p作为x,回到5
- 不全黑,判断bsl颜色
- bsl红,以p右旋,交换p、b颜色,bsl变黑,流程结束
- bsl黑,以b左旋,交换b、bsr颜色,回到5.2.1.2.1
- 全黑,判断p颜色
- b为红,以p右旋,交换p、b颜色,回到5.2.1
- b为黑,判断bsl和bsr是否全黑
- 若x的颜色为红,判断x是否有儿子xs
删除流程图:


浙公网安备 33010602011771号