会员
周边
新闻
博问
闪存
众包
赞助商
YouClaw
所有博客
当前博客
我的博客
我的园子
账号设置
会员中心
简洁模式
...
退出登录
注册
登录
yingfengwu
The so-called excellent person is to let the world, because with me, be a little different.
博客园
首页
新随笔
联系
订阅
管理
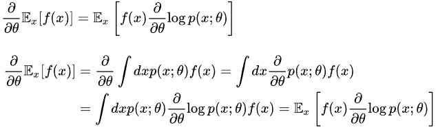
期望求导
参考:
https://zhuanlan.zhihu.com/p/91577331
posted @
2020-07-22 16:36
yingfengwu
阅读(
1477
) 评论(
0
)
收藏
举报
刷新页面
返回顶部
公告