tensorflow完成mnist实验的处理过程分析总结
数据集的读取
通过tensorflow框架的input_data方法读取本地的mnist数据集,采用one-hot编码。
注:以下代码不完整,仅部分展示以便理解。完整代码见文末。
1 from tensorflow.examples.tutorials.mnist import input_data 2 3 mnist = input_data.read_data_sets("./mnist/", one_hot=True) 4 xs, ys = mnist.train.next_batch(BATCH_SIZE) 5 # BATCH_SIZE=100 6 7 feed_dict = { 8 input_x: xs, 9 input_y: ys 10 } 11 12 _, step, y_pred_out, train_loss, train_acc = sess.run([train_op, global_step, y_pred, loss, accuracy], feed_dict=feed_dict) 13 14 print("xs shape:{}".format(np.shape(xs))) 15 print("ys shape:{}".format(np.shape(ys))) 16 print("ys:", ys) 17 print("y_pred shape:", y_pred_out.shape) 18 print("y_pred value:", y_pred_out)
采用one-hot编码之后的其中一个输出效果如下,mnist的数据集的标签是10个(0-9)。每次训练的时候采用100个数据,从下面的输出可知,60000*28*28的图像经过上面
的第四行语句得到的输入图像的维度是(100,784),这里的100是图像的数量,即根据BATCH_SIZE设置得到,784是28*28图像经过reshape之后所得。ys是xs对应的标签值,
输出的值是one-hot编码,即对应的最大的值为1,其他为0。通过神经网络输出的y_pred_out的值如下,通过softmax交叉熵语句和求和语句获取损失值。
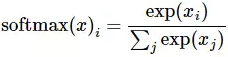
该两条语句主要是先对神经网络输出的10个预测值y_pred逐个用softmax的公式
求出对应的各个值的概率值,然后再用交叉熵公式
进行运算input_y*tf.log(y_pred),最后求和。这里的标签是one-hot编码得出的,只有0和1,因此只会得到标签值对应的那个交叉熵的值。
具体分析参考此处:https://www.jianshu.com/p/648d791b55b0
cross_entropy = tf.nn.softmax_cross_entropy_with_logits(logits=y_pred, labels=input_y)
loss = tf.reduce_mean(cross_entropy)
1 xs shape:(100, 784) 2 ys shape:(100, 10) 3 ys: [[0. 0. 0. 0. 1. 0. 0. 0. 0. 0.] 4 [0. 1. 0. 0. 0. 0. 0. 0. 0. 0.] 5 [0. 0. 0. 0. 0. 0. 0. 0. 1. 0.] 6 [0. 0. 0. 0. 0. 0. 1. 0. 0. 0.] 7 [0. 1. 0. 0. 0. 0. 0. 0. 0. 0.] 8 [0. 0. 0. 1. 0. 0. 0. 0. 0. 0.] 9 [0. 0. 0. 0. 0. 0. 0. 0. 0. 1.] 10 [0. 0. 1. 0. 0. 0. 0. 0. 0. 0.] 11 [0. 0. 0. 1. 0. 0. 0. 0. 0. 0.] 12 [0. 0. 0. 1. 0. 0. 0. 0. 0. 0.] 13 [0. 0. 0. 0. 0. 0. 1. 0. 0. 0.] 14 [0. 1. 0. 0. 0. 0. 0. 0. 0. 0.] 15 [0. 0. 0. 0. 0. 0. 0. 1. 0. 0.] 16 [0. 0. 0. 1. 0. 0. 0. 0. 0. 0.] 17 [0. 0. 0. 0. 0. 0. 0. 1. 0. 0.] 18 [0. 1. 0. 0. 0. 0. 0. 0. 0. 0.] 19 [0. 0. 0. 0. 1. 0. 0. 0. 0. 0.] 20 [0. 0. 1. 0. 0. 0. 0. 0. 0. 0.] 21 [0. 0. 0. 0. 0. 1. 0. 0. 0. 0.] 22 [0. 0. 0. 0. 0. 1. 0. 0. 0. 0.] 23 [0. 0. 0. 0. 1. 0. 0. 0. 0. 0.] 24 [0. 0. 0. 1. 0. 0. 0. 0. 0. 0.] 25 [1. 0. 0. 0. 0. 0. 0. 0. 0. 0.] 26 [0. 0. 1. 0. 0. 0. 0. 0. 0. 0.] 27 [0. 0. 0. 0. 0. 0. 0. 0. 0. 1.] 28 [0. 0. 0. 1. 0. 0. 0. 0. 0. 0.] 29 [0. 0. 1. 0. 0. 0. 0. 0. 0. 0.] 30 [0. 0. 1. 0. 0. 0. 0. 0. 0. 0.] 31 [0. 0. 0. 0. 0. 0. 0. 0. 1. 0.] 32 [0. 0. 0. 0. 0. 0. 1. 0. 0. 0.] 33 [0. 0. 0. 0. 1. 0. 0. 0. 0. 0.] 34 [0. 1. 0. 0. 0. 0. 0. 0. 0. 0.] 35 [0. 0. 0. 0. 0. 0. 0. 1. 0. 0.] 36 [0. 0. 0. 0. 0. 0. 1. 0. 0. 0.] 37 [0. 0. 0. 0. 0. 1. 0. 0. 0. 0.] 38 [0. 0. 0. 1. 0. 0. 0. 0. 0. 0.] 39 [0. 0. 0. 0. 0. 0. 0. 0. 1. 0.] 40 [0. 0. 1. 0. 0. 0. 0. 0. 0. 0.] 41 [0. 0. 0. 0. 0. 0. 0. 0. 1. 0.] 42 [1. 0. 0. 0. 0. 0. 0. 0. 0. 0.] 43 [0. 1. 0. 0. 0. 0. 0. 0. 0. 0.] 44 [1. 0. 0. 0. 0. 0. 0. 0. 0. 0.] 45 [0. 0. 0. 1. 0. 0. 0. 0. 0. 0.] 46 [0. 0. 0. 0. 0. 0. 0. 0. 1. 0.] 47 [0. 0. 0. 0. 0. 0. 0. 0. 0. 1.] 48 [0. 0. 0. 0. 0. 1. 0. 0. 0. 0.] 49 [0. 0. 1. 0. 0. 0. 0. 0. 0. 0.] 50 [0. 0. 0. 0. 0. 0. 0. 1. 0. 0.] 51 [1. 0. 0. 0. 0. 0. 0. 0. 0. 0.] 52 [0. 0. 0. 0. 0. 0. 0. 1. 0. 0.] 53 [0. 0. 0. 0. 0. 0. 0. 0. 0. 1.] 54 [0. 0. 0. 0. 0. 0. 1. 0. 0. 0.] 55 [0. 0. 0. 0. 0. 0. 0. 0. 1. 0.] 56 [0. 0. 0. 0. 0. 1. 0. 0. 0. 0.] 57 [0. 0. 0. 0. 0. 0. 0. 1. 0. 0.] 58 [0. 0. 0. 0. 0. 1. 0. 0. 0. 0.] 59 [0. 0. 0. 0. 0. 0. 0. 1. 0. 0.] 60 [0. 0. 0. 0. 1. 0. 0. 0. 0. 0.] 61 [1. 0. 0. 0. 0. 0. 0. 0. 0. 0.] 62 [0. 0. 0. 0. 0. 0. 0. 0. 1. 0.] 63 [0. 0. 0. 0. 0. 0. 0. 0. 0. 1.] 64 [0. 1. 0. 0. 0. 0. 0. 0. 0. 0.] 65 [0. 0. 1. 0. 0. 0. 0. 0. 0. 0.] 66 [0. 0. 0. 0. 0. 0. 0. 0. 0. 1.] 67 [0. 1. 0. 0. 0. 0. 0. 0. 0. 0.] 68 [0. 0. 0. 0. 0. 0. 0. 0. 1. 0.] 69 [1. 0. 0. 0. 0. 0. 0. 0. 0. 0.] 70 [1. 0. 0. 0. 0. 0. 0. 0. 0. 0.] 71 [0. 0. 0. 0. 1. 0. 0. 0. 0. 0.] 72 [0. 0. 0. 0. 0. 0. 0. 0. 0. 1.] 73 [0. 1. 0. 0. 0. 0. 0. 0. 0. 0.] 74 [0. 0. 0. 0. 0. 0. 0. 0. 0. 1.] 75 [0. 0. 0. 1. 0. 0. 0. 0. 0. 0.] 76 [0. 0. 0. 0. 0. 0. 0. 1. 0. 0.] 77 [0. 0. 0. 1. 0. 0. 0. 0. 0. 0.] 78 [1. 0. 0. 0. 0. 0. 0. 0. 0. 0.] 79 [0. 0. 0. 0. 0. 0. 1. 0. 0. 0.] 80 [0. 1. 0. 0. 0. 0. 0. 0. 0. 0.] 81 [1. 0. 0. 0. 0. 0. 0. 0. 0. 0.] 82 [0. 1. 0. 0. 0. 0. 0. 0. 0. 0.] 83 [0. 0. 1. 0. 0. 0. 0. 0. 0. 0.] 84 [0. 0. 0. 0. 0. 1. 0. 0. 0. 0.] 85 [0. 0. 0. 0. 0. 0. 0. 0. 1. 0.] 86 [0. 0. 0. 0. 0. 1. 0. 0. 0. 0.] 87 [0. 0. 0. 0. 1. 0. 0. 0. 0. 0.] 88 [0. 0. 0. 1. 0. 0. 0. 0. 0. 0.] 89 [0. 1. 0. 0. 0. 0. 0. 0. 0. 0.] 90 [0. 1. 0. 0. 0. 0. 0. 0. 0. 0.] 91 [0. 0. 0. 0. 0. 0. 0. 1. 0. 0.] 92 [1. 0. 0. 0. 0. 0. 0. 0. 0. 0.] 93 [0. 0. 1. 0. 0. 0. 0. 0. 0. 0.] 94 [0. 0. 0. 0. 0. 0. 0. 0. 1. 0.] 95 [0. 0. 0. 0. 0. 1. 0. 0. 0. 0.] 96 [0. 1. 0. 0. 0. 0. 0. 0. 0. 0.] 97 [0. 0. 0. 1. 0. 0. 0. 0. 0. 0.] 98 [0. 0. 0. 0. 0. 1. 0. 0. 0. 0.] 99 [0. 0. 0. 0. 1. 0. 0. 0. 0. 0.] 100 [0. 0. 0. 0. 0. 0. 1. 0. 0. 0.] 101 [0. 0. 0. 0. 0. 0. 0. 0. 0. 1.] 102 [1. 0. 0. 0. 0. 0. 0. 0. 0. 0.]] 103 y_pred shape: (100, 10) 104 y_pred value: [[-3.43147159e+00 -7.40697002e+00 -5.15638876e+00 -7.81467533e+00 105 1.17764559e+01 -3.70678473e+00 1.27706754e+00 -3.12552333e-01 106 -5.46425915e+00 8.31084669e-01] 107 [-6.51548719e+00 9.20612431e+00 -2.78829408e+00 -2.45178580e+00 108 -2.85427904e+00 -2.58734512e+00 -1.88677633e+00 -1.97383308e+00 109 -4.37865198e-01 -3.41498566e+00] 110 [-3.16933393e+00 -2.19506049e+00 -3.30737209e+00 -2.21414733e+00 111 -1.07381320e+00 1.51002157e+00 -2.97042227e+00 -3.32907343e+00 112 4.93531418e+00 -1.37362480e+00] 113 [-1.22948694e+00 4.49715585e-01 -2.11010861e+00 -2.14119720e+00 114 -8.59284341e-01 -1.82794511e+00 3.47176266e+00 -2.92995453e+00 115 -1.63972914e-01 -3.31165552e+00] 116 [-6.15973949e+00 1.03094177e+01 -7.17151880e-01 -2.46371531e+00 117 -2.81105447e+00 -2.19281197e+00 -4.14533663e+00 1.39345062e+00 118 -1.22282195e+00 -6.90686989e+00] 119 [-2.58981854e-01 2.59471759e-02 -1.29580390e+00 2.10660958e+00 120 -2.72546625e+00 1.21887481e+00 -1.36797750e+00 -4.94224310e-01 121 -1.37599611e+00 -5.68572402e-01] 122 [-4.07663107e+00 -9.13997555e+00 -4.51832199e+00 -1.72402120e+00 123 1.10608399e+00 -2.44688630e+00 -8.17761898e+00 3.34035921e+00 124 -2.23232794e+00 6.32807684e+00] 125 [ 3.21722060e-01 -1.93337655e+00 2.03051829e+00 1.10554433e+00 126 -2.05161524e+00 -1.16088104e+00 -1.75546360e+00 -2.04713345e-01 127 -2.31031513e+00 -1.24849582e+00] 128 [-7.34535694e-01 -2.22563291e+00 -1.81636095e+00 3.51452160e+00 129 -3.95577526e+00 1.77771974e+00 -4.57862759e+00 -5.13235569e-01 130 5.18334270e-01 2.06159800e-02] 131 [-3.71348882e+00 -2.78583598e+00 -4.62314755e-01 6.95762444e+00 132 -3.37151146e+00 -3.04426342e-01 -7.25085163e+00 2.22509146e-01 133 1.45623326e+00 1.10429978e+00] 134 [-1.69454861e+00 3.51319313e-01 2.96807617e-01 -2.87734389e+00 135 -3.60054433e-01 -3.04964566e+00 3.53769755e+00 -9.99551415e-01 136 -1.46237707e+00 -4.84274101e+00] 137 [-7.16958523e+00 9.15426064e+00 -3.63996053e+00 -1.09802735e+00 138 -2.24934888e+00 -3.86852932e+00 -2.56921959e+00 -2.32778549e+00 139 3.13423127e-01 -2.92683959e+00] 140 [-4.35501432e+00 -6.64530516e+00 -2.67742610e+00 -1.17845066e-01 141 -2.85258937e+00 -5.50431848e-01 -9.60213375e+00 7.24538279e+00 142 -3.44789529e+00 1.64255810e+00] 143 [-5.47394323e+00 -1.08092821e+00 -1.64719379e+00 9.85328484e+00 144 -7.05593157e+00 5.75078607e-01 -9.68547440e+00 -9.15001869e-01 145 1.65658855e+00 -1.85792297e-01] 146 [-7.80359316e+00 -9.22026825e+00 8.33270922e-02 2.77046013e+00 147 -5.15884924e+00 -4.86662388e+00 -1.67992954e+01 1.29672270e+01 148 -6.25996876e+00 5.20924866e-01] 149 [-6.59617043e+00 9.96817589e+00 -2.75709653e+00 -1.71209896e+00 150 -4.01448631e+00 -3.02791524e+00 -3.12719727e+00 -1.51730132e+00 151 -4.98004258e-04 -4.12086439e+00] 152 [-9.65253115e-01 -8.49990654e+00 -1.43093002e+00 -5.73353577e+00 153 7.69400740e+00 -2.64650655e+00 1.64753631e-01 -1.14152443e+00 154 -5.05820453e-01 7.64154613e-01] 155 [-1.84365034e+00 -3.49704790e+00 3.73679233e+00 -6.40503824e-01 156 2.95650196e+00 -4.03611994e+00 -2.31397927e-01 -8.25035051e-02 157 -1.48663497e+00 -3.70997334e+00] 158 [-1.00288069e+00 -1.03853207e+01 -5.00546408e+00 -2.16474271e+00 159 1.26804781e+00 3.68169332e+00 -4.15595388e+00 7.74603367e-01 160 -3.46848106e+00 1.61924720e+00] 161 [-8.06704104e-01 -4.91363621e+00 -2.35596347e+00 -2.85702825e+00 162 4.42464352e-01 3.48482227e+00 8.58158052e-01 -3.67168498e+00 163 5.69935441e-01 -1.76623583e+00] 164 [-1.29407346e+00 -9.36934757e+00 -2.53483844e+00 -7.41593695e+00 165 9.14549923e+00 -2.84342217e+00 4.87867653e-01 3.02054346e-01 166 -2.69292545e+00 6.10078335e-01] 167 [ 8.34772587e-01 -5.35130882e+00 -3.89060688e+00 -9.13158119e-01 168 -8.66082966e-01 1.73187017e+00 -1.27346182e+00 -2.35996619e-02 169 -1.58519483e+00 -1.29326522e-01] 170 [ 7.60240889e+00 -9.71819305e+00 -1.23689961e+00 -5.86197948e+00 171 -9.22325909e-01 -1.94832075e+00 -1.45736015e+00 -2.39852977e+00 172 5.59649408e-01 -1.65333962e+00] 173 [-4.68253469e+00 1.01933968e+00 7.72633743e+00 1.19260812e+00 174 -4.88958168e+00 -3.84424973e+00 -5.00262451e+00 6.23769760e-01 175 -1.18713427e+00 -7.60716343e+00] 176 [-1.51126087e+00 -1.05078020e+01 -3.32696509e+00 -3.26949739e+00 177 3.91099620e+00 -3.28158092e+00 -5.26946545e+00 9.08722103e-01 178 -6.48690581e-01 4.97121668e+00] 179 [-2.81226707e+00 -4.03853327e-01 -5.44990301e-01 6.37227345e+00 180 -4.12642241e+00 -6.29671574e-01 -5.03091955e+00 -1.67015207e+00 181 1.68188739e+00 -2.35136199e+00] 182 [-3.13361979e+00 -7.25620556e+00 7.22328997e+00 1.19694144e-01 183 1.87362361e+00 -3.83806610e+00 -2.67449141e+00 -7.33701408e-01 184 -5.54657221e-01 -2.11470747e+00] 185 [ 3.21995211e+00 -6.80552101e+00 7.95095682e-01 -2.34603792e-01 186 -9.08745348e-01 -3.12709546e+00 -2.79886174e+00 -1.66139257e+00 187 2.00422907e+00 -5.08270144e-01] 188 [-2.43184519e+00 1.19397068e+00 -8.56360018e-01 2.03929019e+00 189 -4.22333002e+00 -3.37325621e+00 -5.87407732e+00 -6.91816330e-01 190 5.83471584e+00 -2.12539864e+00] 191 [ 6.21714163e+00 -8.79817486e+00 -8.40128541e-01 -4.24246120e+00 192 3.65379810e-01 -2.06815696e+00 -2.54196525e-02 -3.41335535e+00 193 1.95059562e+00 -2.01700282e+00] 194 [-2.62992001e+00 -5.09876299e+00 -2.89182496e+00 -4.59942293e+00 195 9.14648533e+00 -3.61462283e+00 1.81836653e+00 -2.78515220e-01 196 -5.07630110e+00 -1.15271986e-01] 197 [-6.08962917e+00 8.60184765e+00 -3.60675478e+00 -1.21665525e+00 198 -2.37063217e+00 -2.80497265e+00 -2.68576789e+00 -2.11186290e+00 199 2.57670701e-01 -2.32078004e+00] 200 [-5.56191397e+00 -5.79510736e+00 -1.49829817e+00 5.05793810e-01 201 -2.89646697e+00 -3.64661694e+00 -1.08193960e+01 7.57458639e+00 202 -2.58382630e+00 2.28986621e+00] 203 [-2.76466340e-01 -2.79876041e+00 -1.54234338e+00 -4.76632118e+00 204 2.31388807e-01 -2.95408177e+00 5.59752417e+00 -3.21146131e+00 205 -6.23485565e-01 -4.71544075e+00] 206 [-4.30801582e+00 -9.20159817e+00 -4.03485155e+00 1.37167680e+00 207 -4.68464279e+00 1.07908945e+01 -5.12878227e+00 -5.52002764e+00 208 -2.50791001e+00 -2.33863807e+00] 209 [-2.39886975e+00 -1.11668122e+00 1.04440320e+00 5.81965351e+00 210 -2.90512037e+00 -7.93900609e-01 -4.91021633e+00 -8.02788734e-01 211 1.49466944e+00 -2.38970304e+00] 212 [-3.66068935e+00 6.11943722e-01 -3.15550542e+00 -4.46218538e+00 213 6.49231672e-01 2.12191999e-01 -2.82125616e+00 -1.31334174e+00 214 3.62595296e+00 -1.24214435e+00] 215 [-1.06356752e+00 -3.22593236e+00 7.30952406e+00 1.13280401e-01 216 -2.88806701e+00 -4.83450747e+00 -7.94957936e-01 -3.03373861e+00 217 -1.44983602e+00 -7.83700228e+00] 218 [-1.21801233e+00 -1.22286808e+00 -6.40458405e-01 -1.76100385e+00 219 -1.26282722e-01 -2.63104749e+00 -2.86514342e-01 -3.10595155e+00 220 4.95346117e+00 -4.48569441e+00] 221 [ 6.40396357e+00 -9.44966125e+00 -2.49628043e+00 -5.05750942e+00 222 -2.42264867e+00 -2.32418835e-01 -4.14300632e+00 -2.40346551e-01 223 -2.64638513e-02 2.42475599e-01] 224 [-5.76569939e+00 9.09585285e+00 -9.45633531e-01 -1.75654376e+00 225 -3.83029675e+00 -1.85127723e+00 -3.55841303e+00 9.73912776e-02 226 -2.27342904e-01 -5.07458925e+00] 227 [ 8.98472023e+00 -7.60436106e+00 -1.53448558e+00 -3.44894695e+00 228 -5.27945709e+00 -2.82014871e+00 -3.96959114e+00 6.38426304e-01 229 -1.93303084e+00 -1.15806365e+00] 230 [-2.69994473e+00 -5.72256684e-01 -1.42745101e+00 6.57258081e+00 231 -5.15864801e+00 1.44560802e+00 -5.70862150e+00 -1.28633332e+00 232 2.32377797e-01 -8.15576375e-01] 233 [-3.37817955e+00 -5.84361696e+00 -1.81542134e+00 -2.66591477e+00 234 -7.23389208e-01 3.04080367e+00 -5.49892044e+00 2.14065886e+00 235 -1.18896052e-01 5.78194439e-01] 236 [-6.12238693e+00 -5.99363518e+00 -5.33898401e+00 4.07270342e-01 237 2.21266580e+00 -1.98279941e+00 -7.69091034e+00 1.28964198e+00 238 -7.47547925e-01 7.94568968e+00] 239 [-1.28930390e+00 -7.00750923e+00 -3.26391292e+00 -9.87108052e-03 240 -1.31265759e+00 4.69801998e+00 -2.00067902e+00 -3.28277397e+00 241 -1.44913840e+00 -9.75884378e-01] 242 [ 2.54299831e+00 -4.78630447e+00 7.40122652e+00 1.65497994e+00 243 -4.82590055e+00 -4.09781504e+00 -4.28494453e+00 -3.24872279e+00 244 -8.72146368e-01 -6.91599083e+00] 245 [-6.32149792e+00 -6.61988592e+00 -5.63645661e-01 1.11525857e+00 246 -3.80714297e+00 -4.31970072e+00 -1.28044872e+01 9.62807083e+00 247 -4.41576862e+00 1.44692111e+00] 248 [ 8.20231247e+00 -9.28899097e+00 -2.71525472e-01 -3.72444439e+00 249 -2.31766248e+00 -2.37256622e+00 -1.35713160e+00 -2.72670174e+00 250 1.24776840e+00 -2.33394265e+00] 251 [-3.61968517e+00 -3.87293339e+00 7.96407282e-01 1.36682999e+00 252 -2.06595993e+00 -8.92679930e-01 -6.15059233e+00 5.80121613e+00 253 -4.00507307e+00 -1.06616330e+00] 254 [-5.19153118e+00 -6.67478895e+00 -5.59129190e+00 -2.17675877e+00 255 3.83141351e+00 -3.01570654e+00 -6.29968071e+00 1.73336005e+00 256 -1.43138528e+00 6.95552635e+00] 257 [-8.00816476e-01 -1.97534251e+00 -6.86942518e-01 -5.75412893e+00 258 -2.99803704e-01 -4.79223967e+00 8.83904266e+00 -2.96786737e+00 259 -6.78934145e+00 -7.96787500e+00] 260 [-2.26696754e+00 -2.60733390e+00 -1.34535456e+00 -2.59781456e+00 261 -3.96868527e-01 -1.88764584e+00 -2.20465422e+00 -3.17909288e+00 262 5.62986422e+00 -1.81405020e+00] 263 [-3.20301652e+00 -7.57690907e+00 -5.85079527e+00 -1.21830857e+00 264 -7.79941559e-01 8.39675045e+00 -1.58110631e+00 -4.61066437e+00 265 -2.66063380e+00 -1.52737403e+00] 266 [-4.79705048e+00 8.73511791e-01 1.69124293e+00 8.01379323e-01 267 -2.55320597e+00 -2.70672560e+00 -5.14369011e+00 4.49944639e+00 268 -8.77303243e-01 -2.90336895e+00] 269 [ 2.53867924e-01 -3.65151167e+00 -7.13096976e-01 -5.01382470e-01 270 -2.92767048e+00 3.31925130e+00 -1.39039588e+00 -2.78348660e+00 271 8.91939402e-01 -1.76978469e+00] 272 [-7.18259430e+00 -8.58575058e+00 -4.46029997e+00 1.21175937e-01 273 -2.18285799e+00 -2.82996964e+00 -1.38716888e+01 1.09992228e+01 274 -5.36351538e+00 2.86079264e+00] 275 [-1.86776495e+00 -8.92533112e+00 -1.11221468e+00 -6.86615705e+00 276 1.09167690e+01 -4.38365650e+00 3.05499363e+00 -7.38142848e-01 277 -4.72669363e+00 -1.16075397e+00] 278 [ 7.34524965e+00 -9.96361828e+00 -1.53066730e-02 -5.12100267e+00 279 -6.84436619e-01 -2.31362653e+00 -1.05270493e+00 -2.99627304e+00 280 9.61754024e-01 -2.46398997e+00] 281 [-3.64094507e-04 -3.21890140e+00 -1.45037913e+00 3.69917727e+00 282 -5.63264036e+00 -1.37363422e+00 -8.25037384e+00 -1.34430754e+00 283 5.51047707e+00 1.25459409e+00] 284 [-4.29434061e+00 -8.33967876e+00 -5.31020737e+00 4.50353146e-01 285 4.67013180e-01 1.92504421e-01 -8.64326286e+00 1.07248914e+00 286 -8.62734765e-02 6.88620949e+00] 287 [-5.06261349e+00 7.82321692e+00 -6.57718122e-01 -1.36327624e+00 288 -3.70516539e+00 -1.51302814e+00 -3.45879149e+00 -3.81949872e-01 289 1.05202578e-01 -4.38645267e+00] 290 [-3.45011425e+00 8.38857651e-01 1.47478032e+00 -3.45242262e+00 291 -2.51280880e+00 -2.05242348e+00 3.14104295e+00 -5.59536040e-01 292 -1.59673190e+00 -6.32680464e+00] 293 [-5.52827215e+00 -8.06639862e+00 -5.80005264e+00 -3.11182380e+00 294 4.72993135e+00 -2.04249454e+00 -6.19051456e+00 5.06243818e-02 295 -5.18482208e-01 7.44314003e+00] 296 [-7.11267042e+00 9.89037037e+00 -3.90442824e+00 -1.00292110e+00 297 -2.00449967e+00 -2.99454379e+00 -4.04968596e+00 -9.73127127e-01 298 -5.28770506e-01 -1.91362500e+00] 299 [ 1.36838242e-01 -6.91906214e+00 -1.52485931e+00 -4.67869329e+00 300 -3.16668898e-01 -5.84052801e-02 -1.63880575e+00 -6.03019667e+00 301 7.51271248e+00 -2.93813157e+00] 302 [ 6.01794672e+00 -9.79784203e+00 -1.67218637e+00 -1.76300597e+00 303 -3.49650502e+00 -5.21655560e-01 -6.04593086e+00 1.54522693e+00 304 -1.11886954e+00 5.83219349e-01] 305 [ 8.88364220e+00 -1.20231810e+01 -2.24906945e+00 -7.88442278e+00 306 2.21949935e-01 -2.78231096e+00 -1.53858614e+00 -4.06539536e+00 307 3.09143496e+00 -1.79866123e+00] 308 [-3.05259728e+00 -8.78616524e+00 -4.56072950e+00 -7.65971327e+00 309 1.23649864e+01 -4.62330198e+00 1.28370130e+00 -7.11889982e-01 310 -5.19386148e+00 1.63865781e+00] 311 [-5.88566494e+00 -6.74396801e+00 -7.48694849e+00 -6.41776323e-01 312 1.50634933e+00 -2.27251101e+00 -9.75167179e+00 2.58352757e+00 313 -3.96830857e-01 7.76620960e+00] 314 [-7.95795488e+00 9.55914688e+00 -4.17732191e+00 -1.31407106e+00 315 -1.46861434e+00 -4.14468145e+00 -3.69251156e+00 -1.35154915e+00 316 -5.48488855e-01 -1.84668946e+00] 317 [-5.95875788e+00 -5.90538311e+00 -2.54885268e+00 -9.96709764e-01 318 2.33633089e+00 -3.87184530e-01 -5.84520197e+00 1.55007470e+00 319 -1.84657717e+00 6.04645586e+00] 320 [-3.72540623e-01 -1.63343704e+00 5.03509939e-01 8.87222111e-01 321 -2.41230798e+00 1.28710938e+00 -1.46715665e+00 -3.64571571e+00 322 7.13795841e-01 -4.14003611e+00] 323 [-2.68255830e+00 -5.89093447e+00 -1.52046919e+00 -6.83910668e-01 324 -2.12034464e-01 8.47202659e-01 -4.80842209e+00 3.45603395e+00 325 -2.58179569e+00 1.68733501e+00] 326 [-4.40986300e+00 -2.40915507e-01 1.06261420e+00 6.33849144e+00 327 -4.16257334e+00 -1.77047348e+00 -6.77388334e+00 4.15884435e-01 328 1.72482109e+00 -2.29680467e+00] 329 [ 6.23313236e+00 -6.86183405e+00 -3.41004461e-01 -3.78087258e+00 330 -4.70880866e-01 -1.76971292e+00 4.65679228e-01 -2.68214107e+00 331 3.39652374e-02 -1.37045527e+00] 332 [-8.34015250e-01 -2.97809124e+00 -2.99976140e-01 -2.12902164e+00 333 2.46314436e-01 -7.22056270e-01 3.29645920e+00 -3.44532990e+00 334 -5.79032660e-01 -3.74988294e+00] 335 [-7.35883808e+00 9.41337776e+00 -4.47569799e+00 -2.65217781e+00 336 -1.20536995e+00 -3.11079574e+00 -2.41238952e+00 -2.13306212e+00 337 3.26139867e-01 -2.16879630e+00] 338 [ 1.17565651e+01 -1.16222315e+01 -7.50759602e-01 -6.15390158e+00 339 -4.86827755e+00 -3.02515316e+00 -3.54235864e+00 -1.72917056e+00 340 -6.89720273e-01 -2.61394286e+00] 341 [-6.82061434e+00 9.43066311e+00 -2.70753312e+00 -8.03832173e-01 342 -2.31512642e+00 -3.14683795e+00 -3.29978728e+00 -9.64430213e-01 343 -1.48874402e+00 -2.80748677e+00] 344 [ 3.52417901e-02 -3.83693147e+00 4.88774252e+00 -1.06256068e+00 345 -6.73442960e-01 -5.25066090e+00 -2.76347256e+00 1.51926529e+00 346 -2.50236988e+00 -2.44734383e+00] 347 [ 1.90826917e+00 -1.02698355e+01 -4.90185785e+00 -7.13517952e+00 348 -3.66843176e+00 6.61018658e+00 -6.54808187e+00 9.06733453e-01 349 -1.33572221e+00 -1.58266997e+00] 350 [-1.59806705e+00 5.12693524e-01 -3.96222091e+00 -2.97372907e-01 351 -3.58801270e+00 1.59314811e-01 -5.75293827e+00 -1.18524766e+00 352 5.25265646e+00 6.76914811e-01] 353 [ 2.84939408e-01 -3.72666717e+00 -9.87474322e-02 -1.24348295e+00 354 -1.12289953e+00 1.33937263e+00 -9.63008463e-01 -2.69848800e+00 355 1.45611620e+00 -2.29970026e+00] 356 [-1.30435586e+00 -9.91753960e+00 -5.55130184e-01 -6.56160212e+00 357 1.10248003e+01 -4.83570242e+00 2.39743471e+00 -2.32640058e-02 358 -5.08653355e+00 -8.35475981e-01] 359 [-4.46291876e+00 -1.66366923e+00 -2.40100527e+00 7.54964924e+00 360 -5.16322184e+00 1.25664580e+00 -7.37406158e+00 -4.36030030e-01 361 3.22779417e-01 4.63901937e-01] 362 [-7.41311979e+00 9.68668175e+00 -3.57693028e+00 -1.79707193e+00 363 -1.85976410e+00 -3.57132149e+00 -2.99357486e+00 -1.45108092e+00 364 -7.03378797e-01 -2.52111888e+00] 365 [-6.92787075e+00 8.91381454e+00 -3.77061844e+00 -2.22201777e+00 366 -1.58098698e+00 -3.34978390e+00 -2.31528354e+00 -2.00407672e+00 367 6.41008496e-01 -2.42776370e+00] 368 [-5.63030958e+00 -7.16164303e+00 -3.13681930e-01 7.09101856e-01 369 -2.99321437e+00 -4.03654957e+00 -1.22700424e+01 9.65640163e+00 370 -4.13436127e+00 7.79625297e-01] 371 [ 7.55145884e+00 -7.69227695e+00 -9.64319646e-01 -4.88572264e+00 372 -2.62384057e+00 -1.84793746e+00 -1.76602757e+00 -1.45980740e+00 373 -9.08782482e-01 -1.59664059e+00] 374 [-4.86237955e+00 3.91856837e+00 7.20119333e+00 1.32231820e+00 375 -5.17088604e+00 -3.63074875e+00 -5.97644281e+00 9.61266398e-01 376 -2.71759129e+00 -7.76719332e+00] 377 [-7.98956394e-01 -2.17634606e+00 -1.45666933e+00 -1.13282490e+00 378 -2.84885812e+00 -2.52794671e+00 -2.08882689e+00 -4.04120159e+00 379 7.97954464e+00 -3.63711405e+00] 380 [ 1.24917674e+00 -7.19460821e+00 -1.83539522e+00 -4.43933058e+00 381 3.52958977e-01 1.52172661e+00 -3.59291291e+00 2.47452784e+00 382 -2.33980775e+00 -5.21280169e-02] 383 [-8.10598564e+00 1.02367697e+01 -3.86531997e+00 -1.51181316e+00 384 -1.73392177e+00 -3.41944504e+00 -3.69718075e+00 -8.79215956e-01 385 -1.10280275e+00 -2.31143069e+00] 386 [-5.76149035e+00 -3.08287168e+00 -1.89743757e+00 4.70044327e+00 387 -1.51103759e+00 2.14207101e+00 -6.41087103e+00 2.08434790e-01 388 -2.57694274e-01 2.96276641e+00] 389 [ 3.47166151e-01 5.10207117e-01 5.76314986e-01 5.71353197e-01 390 -3.06604767e+00 -2.15022206e-01 1.15897608e+00 -2.41230011e+00 391 -2.15586877e+00 -4.49470472e+00] 392 [-3.55950046e+00 -5.49704981e+00 -4.17998552e+00 -3.66918373e+00 393 7.20040655e+00 -1.93672049e+00 -2.00535870e+00 7.23009765e-01 394 -2.14680696e+00 2.85113454e+00] 395 [-8.14102411e-01 -5.79159379e-01 -1.23053275e-01 -3.33355784e+00 396 -1.48242378e+00 -3.69326711e+00 6.11372566e+00 -4.43101740e+00 397 -1.31825018e+00 -7.66329432e+00] 398 [-5.16966867e+00 -8.15670872e+00 -7.77287245e-01 -2.20390391e+00 399 4.42545176e+00 -8.57552528e-01 -3.65839958e+00 1.47850239e+00 400 -2.55112362e+00 5.15741873e+00] 401 [ 7.62500858e+00 -3.19782257e+00 -2.43828133e-01 -2.12472630e+00 402 -5.53111601e+00 -1.81393397e+00 -3.54419500e-01 -1.65171635e+00 403 -3.11976862e+00 -3.81125307e+00]]
得到损失值loss之后,使用Adam优化器对其进行优化,相关代码如下:
1 global_step = tf.Variable(0, trainable=False) 2 train_op = tf.train.AdamOptimizer(LEARNING_RATE).minimize(loss, global_step=global_step)
训练完模型再对mnist的测试集进行测试,在测试之前,先看看得到的测试集的维度大小,打印输出如下:
1 mnist = input_data.read_data_sets("./mnist/", one_hot=True) 2 print("mnist.test.images shape:{}".format(np.shape(mnist.test.images))) 3 print("mnist.test.labels shape:{}".format(np.shape(mnist.test.labels)))
1 mnist.test.images shape:(10000, 784) 2 mnist.test.labels shape:(10000, 10)
最后的完整代码如下:
1 import tensorflow as tf 2 import numpy as np 3 from tensorflow.examples.tutorials.mnist import input_data 4 from tensorflow.python import pywrap_tensorflow 5 6 # set the parameter 7 BATCH_SIZE = 100 8 INPUT_NODE = 784 9 OUTPUT_NODE = 10 10 LAYER1_NODE = 50 11 LAYER2_NODE = 100 12 TRAIN_STEP = 10000 13 LEARNING_RATE = 0.01 14 15 # define input placeholder 16 input_x = tf.placeholder(tf.float32, [None, INPUT_NODE], name="input_x") 17 input_y = tf.placeholder(tf.float32, [None, OUTPUT_NODE], name="input_y") 18 19 # define weights and biases 20 Layer1_w = tf.Variable(tf.truncated_normal(shape=[INPUT_NODE, LAYER1_NODE], stddev=0.1)) 21 Layer1_b = tf.Variable(tf.constant(0.1, shape=[LAYER1_NODE])) 22 23 Layer2_w = tf.Variable(tf.truncated_normal(shape=[LAYER1_NODE, LAYER2_NODE], stddev=0.1)) 24 Layer2_b = tf.Variable(tf.constant(0.1, shape=[LAYER2_NODE])) 25 26 Layer3_w = tf.Variable(tf.truncated_normal(shape=[LAYER2_NODE, OUTPUT_NODE], stddev=0.1)) 27 Layer3_b = tf.Variable(tf.constant(0.1, shape=[OUTPUT_NODE])) 28 29 30 def Network(x, w1, b1, w2, b2, w3, b3): 31 layer1 = tf.nn.relu(tf.nn.xw_plus_b(x, w1, b1)) 32 layer2 = tf.nn.relu(tf.nn.xw_plus_b(layer1, w2, b2)) 33 pred = tf.nn.xw_plus_b(layer2, w3, b3) 34 print(" Network is ready!") 35 return pred 36 37 38 y_pred = Network(input_x, Layer1_w, Layer1_b, Layer2_w, Layer2_b, Layer3_w, Layer3_b) 39 40 # define loss 41 cross_entropy = tf.nn.softmax_cross_entropy_with_logits(logits=y_pred, labels=input_y) # cross entropy loss 42 loss = tf.reduce_mean(cross_entropy) 43 print("Loss is ready!") 44 45 # define accuracy 46 correct_predictions = tf.equal(tf.argmax(y_pred, 1), tf.argmax(input_y, 1)) # if both are equal, return true.Or false 47 accuracy = tf.reduce_mean(tf.cast(correct_predictions, tf.float32)) # traonsform bool to float32 and calculate average 48 print("Accuracy is ready!") 49 50 # train operation 51 global_step = tf.Variable(0, trainable=False) 52 train_op = tf.train.AdamOptimizer(LEARNING_RATE).minimize(loss, global_step=global_step) 53 print("Train operation is ready!") 54 55 # define save the model 56 saver = tf.train.Saver() 57 58 59 def train(mnist): 60 with tf.Session() as sess: 61 # $ tensorboard --logdir=logs 62 # http://0.0.0.0:6006/ 63 # tf.train.SummaryWriter soon be deprecated, use following 64 tf.summary.FileWriter("logs/", sess.graph) 65 66 tf.global_variables_initializer().run() 67 print("Initiality is ready!") 68 69 for i in range(TRAIN_STEP): 70 xs, ys = mnist.train.next_batch(BATCH_SIZE) 71 # print("xs shape:{}".format(np.shape(xs))) 72 # print("ys shape:{}".format(np.shape(ys))) 73 # print("ys:", ys) 74 75 feed_dict = { 76 input_x: xs, 77 input_y: ys 78 } 79 80 _, step, train_loss, train_acc = sess.run([train_op, global_step, loss, accuracy], feed_dict=feed_dict) 81 if (i % 100 == 0): 82 print("After %d steps, in train data, loss is %g, accuracy is %g." % (step, train_loss, train_acc)) 83 # print("y_pred shape:", y_pred_out.shape) 84 # print("y_pred value:", y_pred_out) 85 86 test_feed = {input_x: mnist.test.images, input_y: mnist.test.labels} 87 test_acc = sess.run(accuracy, feed_dict=test_feed) 88 print("After %d steps, in test data, accuracy is %g." % (TRAIN_STEP, test_acc)) 89 saver.save(sess, './model/my_model.ckpt-' + str(i+1)) # save the trained model 90 91 92 if __name__ == "__main__": 93 mnist = input_data.read_data_sets("./mnist/", one_hot=True) # read mnist in current path 94 print("MNIST is ready!") 95 train(mnist) 96 97 # produce the weight and bias in saved model 98 # model_reader = pywrap_tensorflow.NewCheckpointReader('./model/my_model.ckpt-9999') 99 # var_dict = model_reader.get_variable_to_shape_map() 100 # for key in var_dict: 101 # print("variable name: ", key) 102 # print(model_reader.get_tensor(key))

浙公网安备 33010602011771号