Temporal difference Learning
TD Learning(时间差分学习)是RL的核心。
Sutton(1988)提出TD通常对值函数的估计会涉及到学习方法。
Q-learning (Watkins and Dayan, 1992)和SARSA (Rummery and Niranjan, 1994)是时间差分控制方法。
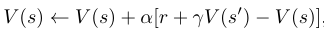
TD learning (Sutton, 1988)直接用bootstrapping,一个model-free,online和全增长的方式从带有TD误差的经验上学习函数 V (s),更新规则如下:

α为学习率,
是TD误差。

浙公网安备 33010602011771号