装载问题(01背包)
1.问题
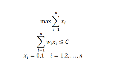
2.解析
思路:背包(dp)
也就是最朴素的01背包问题
dp[j]就表示当下表为j的时候所能装载 的最大数量,可以得到dp的状态转移方程
dp[j]=max(dp[j],dp[j-a[i]]+1);(i从1~n 也就是所有的物品)
思路:贪心
想法:每次都选择重量最小的添加到其中


3.设计
dp:

贪心:

4.分析
dp的时间复杂度复杂度O(n*m)//n是背包的数目,m背包的容量
贪心的时间复杂度O(n*logn)

思路:背包(dp)
也就是最朴素的01背包问题
dp[j]就表示当下表为j的时候所能装载 的最大数量,可以得到dp的状态转移方程
dp[j]=max(dp[j],dp[j-a[i]]+1);(i从1~n 也就是所有的物品)
思路:贪心
想法:每次都选择重量最小的添加到其中


dp:

贪心:

dp的时间复杂度复杂度O(n*m)//n是背包的数目,m背包的容量
贪心的时间复杂度O(n*logn)