财政收入影响因素分析及预测模型
summary
#-*- coding: utf-8 -*-
# 代码6-1
import numpy as np
import pandas as pd
inputfile = 'E:\Third work\数据代码\chapter6\demo\data\data.csv' # 输入的数据文件
data = pd.read_csv(inputfile) # 读取数据
# 描述性统计分析
description = [data.min(), data.max(), data.mean(), data.std()]  # 依次计算最小值、最大值、均值、标准差
description = pd.DataFrame(description, index = ['Min', 'Max', 'Mean', 'STD']).T  # 将结果存入数据框
print('描述性统计结果:\n',np.round(description, 2))  # 保留两位小数
结果
 
# 代码6-2
# 相关性分析
corr = data.corr(method = 'pearson')  # 计算相关系数矩阵
print('相关系数矩阵为:\n',np.round(corr, 2))  # 保留两位小数
结果
 
# 代码6-3
# 绘制热力图
import matplotlib.pyplot as plt
import seaborn as sns
plt.subplots(figsize=(10, 10)) # 设置画面大小
sns.heatmap(corr, annot=True, vmax=1, square=True, cmap="Blues")
plt.title('相关性热力图')
plt.show()
plt.close
结果图

lasso
#-*- coding: utf-8 -*-
# 代码6-4
import numpy as np
import pandas as pd
from sklearn.linear_model import Lasso
inputfile = 'E:\Third work\数据代码\chapter6\demo\data\data.csv'  # 输入的数据文件
data = pd.read_csv(inputfile)  # 读取数据
lasso = Lasso(1000)  # 调用Lasso()函数,设置λ的值为1000
lasso.fit(data.iloc[:,0:14],data['y'])
print('相关系数为:',np.round(lasso.coef_,5))  # 输出结果,保留五位小数
print('相关系数非零个数为:',np.sum(lasso.coef_ != 0)) # 计算相关系数非零的个数
mask = lasso.coef_ != 0  # 返回一个相关系数是否为零的布尔数组
print('相关系数是否为零:',mask)
outputfile ='E:/Third work/数据代码/chapter6/demo/tmp/new_reg_data1.csv'  # 输出的数据文件
new_reg_data = data.iloc[:, mask]  # 返回相关系数非零的数据
new_reg_data.to_csv(outputfile)  # 存储数据
print('输出数据的维度为:',new_reg_data.shape)  # 查看输出数据的维度
结果

predict
#-*- coding: utf-8 -*-
def GM11(x0): #自定义灰色预测函数
  import numpy as np
  x1 = x0.cumsum() #1-AGO序列
  z1 = (x1[:len(x1)-1] + x1[1:])/2.0 #紧邻均值(MEAN)生成序列
  z1 = z1.reshape((len(z1),1))
  B = np.append(-z1, np.ones_like(z1), axis = 1)
  Yn = x0[1:].reshape((len(x0)-1, 1))
  [[a],[b]] = np.dot(np.dot(np.linalg.inv(np.dot(B.T, B)), B.T), Yn) #计算参数
  f = lambda k: (x0[0]-b/a)*np.exp(-a*(k-1))-(x0[0]-b/a)*np.exp(-a*(k-2)) #还原值
  delta = np.abs(x0 - np.array([f(i) for i in range(1,len(x0)+1)]))
  C = delta.std()/x0.std()
  P = 1.0*(np.abs(delta - delta.mean()) < 0.6745*x0.std()).sum()/len(x0)
  return f, a, b, x0[0], C, P #返回灰色预测函数、a、b、首项、方差比、小残差概率
# 中文显示工具函数
def set_ch():
    from pylab import mpl
    mpl.rcParams['font.sans-serif'] = ['FangSong']
    mpl.rcParams['axes.unicode_minus'] = False
# 代码6-5
# import sys
# sys.path.append('../code')  # 设置路径
import numpy as np
import pandas as pd
# from GM11 import GM11  # 引入自编的灰色预测函数
inputfile1 = 'E:/Third work/数据代码/chapter6/demo/tmp/new_reg_data_2.csv' # 输入的数据文件
inputfile2 = 'E:/Third work/数据代码/chapter6/demo/data/data.csv'  # 输入的数据文件
new_reg_data = pd.read_csv(inputfile1)  # 读取经过特征选择后的数据
data = pd.read_csv(inputfile2)  # 读取总的数据
new_reg_data.index = range(1994, 2014)
new_reg_data.loc[2014] = None
new_reg_data.loc[2015] = None
new_reg_data.loc[2016] = None
l = ['x1', 'x3', 'x4', 'x5', 'x6', 'x7', 'x8', 'x13']
new_reg_data
import xlwt
for i in l:
  f = GM11(new_reg_data.loc[range(1994, 2014),i].values)[0]
  new_reg_data.loc[2014,i] = f(len(new_reg_data)-2)  # 2014年预测结果
  new_reg_data.loc[2015,i] = f(len(new_reg_data)-1)  # 2015年预测结果
  new_reg_data.loc[2016,i] = f(len(new_reg_data))  # 2016年预测结果
  new_reg_data[i] = new_reg_data[i].round(2)  # 保留两位小数
outputfile = 'E:/Third work/数据代码/chapter6/demo/tmp/new_reg_data_GM11_2_1.xls'  # 灰色预测后保存的路径
y = list(data['y'].values)  # 提取财政收入列,合并至新数据框中
y.extend([np.nan,np.nan,np.nan])
new_reg_data['y'] = y
new_reg_data.to_excel(outputfile)  # 结果输出
print('预测结果为:\n',new_reg_data.loc[2014:2016,:])  # 预测结果展示
预测结果

new_reg_data.loc[2014:2016,:]
 
# 代码6-6
import matplotlib.pyplot as plt
from sklearn.svm import LinearSVR
inputfile = 'E:/Third work/数据代码/chapter6/demo/tmp/new_reg_data_GM11_2_1.xls'  # 灰色预测后保存的路径
data = pd.read_excel(inputfile)  # 读取数据
feature = ['x1', 'x3', 'x4', 'x5', 'x6', 'x7', 'x8', 'x13']  # 属性所在列
data
data_train=data.loc[0:19,:]
data_train
data_mean = data_train.mean()
data_std = data_train.std()
data_train = (data_train - data_mean)/data_std # 数据标准化
x_train = data_train[feature].values  # 属性数据
y_train = data_train['y'].values  # 标签数据
data_train[feature]

linearsvr = LinearSVR() # 调用LinearSVR()函数
linearsvr.fit(x_train,y_train)
x = ((data[feature] - data_mean[feature])/data_std[feature]).values  # 预测,并还原结果。
data['y_pred'] = linearsvr.predict(x) * data_std['y'] + data_mean['y']
outputfile = 'E:/Third work/数据代码/chapter6/demo/tmp/new_reg_data_GM11_revenue_2_1.xls'  # SVR预测后保存的结果
data.to_excel(outputfile)
set_ch()
fig = data[['y','y_pred']].plot(subplots = True, style=['b-o','r-*'])
plt.title('基于GM模型利用1994~2013财政数据预测2014~2016(20信计1班黄美静2019310143014)')
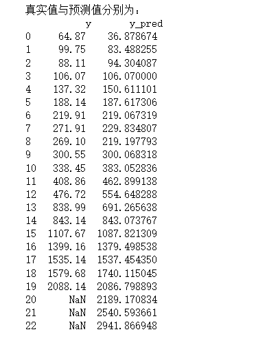
print('真实值与预测值分别为:\n',data[['y','y_pred']])
plt.savefig('E:/Third work/数据代码/chapter6/demo/imag/predict1.jpg',dpi=1000)
plt.show()

 
 
                    
                 
 
                
            
         浙公网安备 33010602011771号
浙公网安备 33010602011771号