求组合数1
求组合数 1
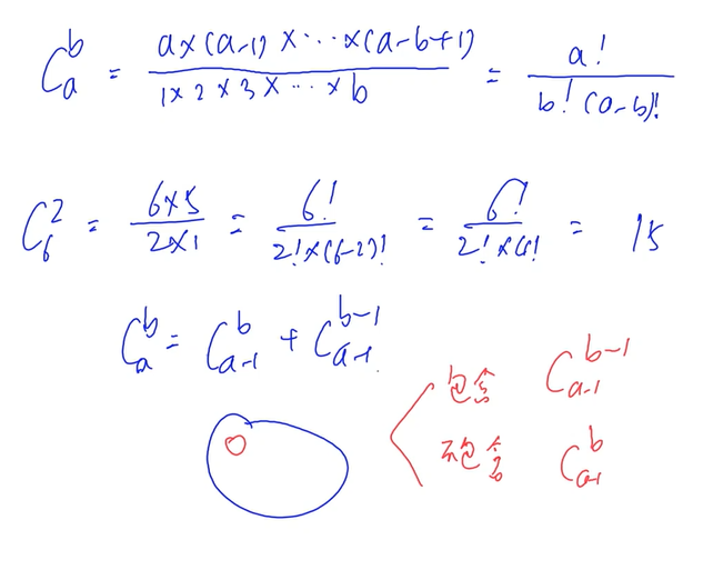
给定 n 组询问,每组询问给定两个整数 a,b,请你输出 Cbamod(109+7) 的值。
输入格式
第一行包含整数 n。
接下来 n 行,每行包含一组 a 和 b。
输出格式
共 n 行,每行输出一个询问的解。
数据范围
1≤n≤10000
1≤b≤a≤2000
输入样例:
3
3 1
5 3
2 2
输出样例:
3
10
1

#include <iostream>
#include <algorithm>
using namespace std;
const int N = 2010, mod = 1e9 + 7;
int c[N][N];
void init() {
for (int i = 0; i < N; i++) {
for (int j = 0; j <= i; j++) {
if (!j) {
c[i][j] = 1;
}
else {
c[i][j] = (c[i - 1][j] + c[i - 1][j - 1]) % mod;
}
}
}
}
int main() {
init();
int n;
cin >> n;
while (n--) {
int a, b;
cin >> a >> b;
cout << c[a][b] << endl;
}
return 0;
}

浙公网安备 33010602011771号