会员
众包
新闻
博问
闪存
赞助商
HarmonyOS
Chat2DB
所有博客
当前博客
我的博客
我的园子
账号设置
会员中心
简洁模式
...
退出登录
注册
登录
mengqing80
博客园
首页
新随笔
联系
订阅
管理
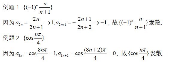
利用子列的收敛性判断数列发散
当存在发散子列或两个收敛子列极限
不同时
,原数列发散.
posted @
2023-10-16 15:49
mengqing80
阅读(
116
) 评论(
0
)
收藏
举报
刷新页面
返回顶部
公告