Recent Advances and New Frontiers in Spiking Neural Networks
郑重声明:原文参见标题,如有侵权,请联系作者,将会撤销发布!

Arxiv 2022
Abstract
近年来,脉冲神经网络(SNN)由于其丰富的时空动力学、多种编码方法以及与神经形态硬件自然契合的事件驱动特性,在类脑智能领域受到了广泛关注。随着SNN的发展,类脑智能这一以脑科学成果为灵感、以通用人工智能为目标的新兴研究领域正变得炙手可热。本文回顾了SNN的最新进展,并从五个主要研究主题讨论了SNN的新前沿,包括基本要素(即脉冲神经元模型、编码方法和拓扑结构)、神经形态数据集、优化算法、软件和硬件框架。我们希望我们的调查可以帮助研究人员更好地了解SNN,并激发新的工作来推进这一领域。
1 Introduction
脑科学(BS)与人工智能(AI)研究在相互促进中迎来快速发展,具有交叉学科特征的类脑智能研究越来越受到重视。脑启发智能旨在从BS研究中获取关于结构、机制或功能的灵感,以改进AI。它使AI能够整合各种认知能力,并在许多方面逐渐接近甚至超越人类智能。脉冲神经网络(SNN)是类脑智能研究的核心。通过强调高度类脑启发的结构基础和优化算法,SNN试图从计算的角度加速对生物智能本质的理解,从而为新一代人类水平的人工智能模型的形成奠定理论基础。
作为当前人工智能发展的主要驱动力,人工神经网络(ANN)经历了多代进化。第一代ANN称为感知器,可以模拟人类感知[Rosenblatt, 1958]。第二代是20世纪80年代中期出现的基于连接主义的深度神经网络(DNN)[Rumelhart et al., 1986],自2006年以来在过去的十几年里一直引领着AI的发展[Hinton et al., 2006]。然而,主要通过发放率传输信息的DNN在生物学上是不精确的,并且在神经元内缺乏动态机制。SNN被认为是第三代ANN,因为它们具有丰富的时空神经动力学、多种编码方法和事件驱动的优势[Maass, 1997]。
SNN的提出标志着ANN从以发放率为主的空间编码逐渐过渡到以精确的脉冲发放和亚阈值动态膜电位为主的时空混合编码。新增加的时间维度使得更精确的生物计算模拟、更稳定和鲁棒的信息表示以及更节能的网络计算成为可能。
在本次调查中,我们全面回顾了SNN的最新进展,并重点关注五个主要研究课题,我们将其定义为:
- Essential Elements. SNN的基本要素包括作为基本处理单元的神经元模型、神经元通信中脉冲序列的编码方法以及网络级别每个基本层的拓扑结构(见第2节)。
- Neuromorphic Datasets. 数据集的发展对促进ANN的发展起到了至关重要的作用。目前,适用于SNN的数据集由时空事件流组成,例如NMNIST [Orchard et al., 2015]和DVS-CIFAR10 [Li et al., 2017](见第3节)。
- Optimization Algorithms. 如何有效地优化SNN一直是近年来研究的重点。优化算法的研究可以分为两大类。一种类型旨在更好地理解生物系统,例如脉冲时序依赖可塑性(STDP) [Bi and Poo, 1998]。另一种类型是为了追求卓越的计算性能而构建的,例如伪反向传播(BP) [Zenke and Ganguli, 2018](参见第4节)。
- Software Frameworks. 软件框架能够支持SNN的构建和训练,例如BindsNET [Hazan et al., 2018]、SpikingJelly [Fang et al., 2020]和CogSNN [Zhang and Liu, 2022](见第5节)。
- Hardware Frameworks. 由于SNN在硬件电路中超低能耗的优势,支持SNN硬件实现的神经形态芯片如雨后春笋般涌现,如IBM TrueNorth [Akopyan et al., 2015]和Intel Loihi [Davies et al., 2018](见第6节)。
我们还就每个主题的新领域进行了广泛的讨论。最后,我们总结了这篇论文(见第7节)。SNN的整体架构如图1所示。
我们希望本次调查能够帮助研究人员了解SNN领域的最新进展、挑战和前沿。

2 Essential Elements
基本要素包括作为基本信息处理单元的神经元模型,神经元通信中脉冲序列的编码方法,以及网络级别的每个基本层的拓扑结构,它们共同构成了SNN。
2.1 Neuron Models
Recent Advances. 生物神经元的典型结构主要包括树突、胞体和轴突三部分[Zhang et al., 2021d]。树突的功能是收集来自其他神经元的输入信号并将它们传递给体细胞。胞体充当中央处理器,当传入电流导致神经元膜电位超过某个阈值(即动作电位)时产生脉冲。脉冲沿着轴突传播而没有衰减,并通过轴突末端的突触将信号传输到下一个神经元。根据神经元电位的动态特性,神经生理学家建立了许多神经元模型,以Hodgkin-Huxley (HH) [Hodgkin and Huxley, 1952]、LIF [Dayan et al., 2003]和Izhikevich [Izhikevich et al., 2004]模型。
通过研究鱿鱼轴突的电位数据,Hodgkin and Huxley [1952]提出了神经元电活动机制的理论数学模型,称为H-H模型,公式为:

其中 V 表示膜电位,gNa和gK表示钠和钾离子的电导密度,VNa和VK表示钠和钾离子通道的反转电位,I 表示总膜电流密度。
由于早些年对动作电位产生的机制知之甚少,因此将动作电位产生的过程简化为:"当膜电位超过阈值Vth时,神经元会发出一个脉冲,膜电位会回落到静息值Vrest"。LIF模型遵循这一原则并引入了泄漏因子,使膜电位随着时间的推移而缩小[Dayan et al., 2003]。它描述了阈值以下膜电位的变化规律。LIF模型最简单和最常见的形式表述为:

其中τm表示膜时间常数,Vrest表示静息电位,I 和Rm分别表示输入电流和细胞膜的阻抗。LIF模型简化了动作电位的产生过程,但保留了生物神经元的三个关键特征,即膜电位泄漏、积分积累和阈值发放。LIF模型的后续变体进一步描述了神经元脉冲活动的细节,增强了其生物学可信度。
Izhikevich模型使用有限数量的无量纲参数组合(例如 a 和 b.)来表征多种类型的丰富脉冲发放模式,并且可以通过参数的选择显示大脑皮层中几乎所有已知神经元的发放模式[Izhikevich et al., 2004]。它是构造二阶神经动力学方程的有效方法,公式为:

其中 u 是用于描述离子电流行为的膜恢复变量,a 和 b 用于调整 u 的时间尺度和对膜电位 V 的敏感性。
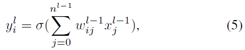
相比之下,我们简要介绍了DNN中的基本神经元模型。它保留了生物神经元的多输入单输出信息处理形式,但进一步简化了其阈值特性和动作电位机制,公式为:

其中,在对前一层的nl-1个神经元的输出值
进行加权求和后,非线性激活函数σ(·)计算第 l 层第 i 个神经元的输出值
。
与SNN相比,DNN使用高精度连续浮点值而不是离散的脉冲序列进行通信,放弃了时域的操作,只保留了逐层计算的空间域结构。虽然SNN的表达精度较低,但它们保持了更丰富的神经元动力学,更接近生物神经元。除了接收空间域的输入外,当前状态也自然受到过去历史状态的影响。因此,SNN具有更大的时空信息处理潜力和生物学合理性。由于阈值特性,SNN的脉冲信号(0或1)通常非常稀疏,且计算由事件驱动(仅在脉冲到来时执行),显示出超低的功耗和计算成本。此外,SNN表现出比易受攻击的DNN更强的抗噪声鲁棒性。以脉冲运行的单个神经元充当微观瓶颈,保持低间歇性噪声,并且不会将亚阈值噪声传递给它们的邻居。总之,SNN神经元的脉冲通信和动态特性构成了与DNN最根本的区别,这赋予了它们在时空任务处理、超低功耗和鲁棒计算方面的潜力。
New Frontiers. 在仿生程度和计算复杂度之间存在多种不同抽象级别的选择,用于对生物神经元进行建模。复杂的模型,例如使用多变量、多组微分方程来精确描述活动的H-H模型,不能应用于大规模神经网络。因此,简化模型以加快仿真过程是必不可少的。目前广泛采用的LIF模型可以保证较低的计算成本,但相对缺乏生物学可信度。因此,要保证构建更大规模的神经网络的能力,寻找一个学习能力强、生物学可信度高的神经元模型仍然是一个紧迫的问题。
2.2 Encoding Methods
Recent Advances. 目前比较常见的神经编码方法主要有发放率编码、时序编码和群体编码。发放率编码使用时间窗口中脉冲序列的发放率来编码信息,其中实际输入数字被转换为频率与输入值成正比的脉冲序列[Adrian and Zotterman, 1926; Cheng et al., 2020]。时序编码使用单个脉冲的相对时间对信息进行编码,其中输入值通常以精确的时间转换为脉冲序列,包括时间到初次脉冲的编码[VanRullen et al., 2005]、排序顺序编码[Thorpe and Gautrais, 1998]等。除此之外,群体编码在整合这两种类型方面是特殊的。例如,群体中的每个神经元都可以生成具有精确时间的脉冲序列,并且还包含与其他神经元的关系(例如,高斯感受野),以便在全局范围内更好地编码信息[Georgopoulos et al., 1986; Zhang et al., 2021a]。
New Frontiers. 目前,神经编码的具体方法还没有定论。具有不同编码的神经元群体可以共存和合作,从而提供对时间信息的充分感知。神经编码方法在不同的大脑区域可能表现不同。与当前SNN通常预设单一编码方法的有限情况相比,更理想和通用的SNN应该支持不同编码的混合应用。它们可以灵活利用不同编码的优势来优化任务性能、延迟和功耗。此外,许多SNN算法只关注发放率编码,而忽略了脉冲序列的时间结构。这可能导致SNN在时间信息处理中的优势没有得到很好的利用。因此,设计适合具有高信息密度的时间编码的算法可能是未来探索的新方向。
2.3 Topology Structures
Recent Advances. 与DNN类似,用于构建SNN的基本层拓扑包括全连接、循环和卷积层。相应的神经网络是多层感知器(MLP)、循环神经网络(RNN)和卷积神经网络(CNN)。MLP和RNN主要针对一维特征处理,而CNN主要针对二维特征处理。RNN可以看作是添加循环连接的MLP,它们特别擅长处理时间特征。
New Frontiers. 与生物网络中的连接结构相比,当前SNN的拓扑结构相对简化和抽象。不同尺度的大脑连接结构非常复杂。多点最小基序(motif)网络可以作为主要的网络结构单元来分析复杂网络系统的功能[Sporns et al., 2004]。如图1所示,以3点基序为例,当不考虑节点类型(如不同的神经元类型)时,不同基元基序的组合仅限于13类。对于完成类似功能的网络,基序分布往往具有很强的一致性和稳定性。对于特定功能的网络,它们之间的基序分布非常不同[Sporns et al., 2004]。因此,我们可以通过分析复杂生物网络中的基序分布来更好地了解它们的功能和连接模式[Jia et al., 2022]。此外,我们可以在网络结构设计或基于基序分布的搜索算法中添加约束,从而获得生物学合理且可解释的新拓扑结构。
3 Neuromorphic Datasets
Recent Advances. 在传统的DNN领域,图像、文本等领域数据集的不断扩展,对DNN的性能提出了挑战,但也从另一个角度推动了DNN的发展。SNN也是如此。受神经形态视觉传感器成像机制启发的数据集称为神经形态数据集,被认为是最适合SNN应用的数据集类型。
受生物视觉处理机制启发的神经形态视觉传感器(NVS)主要捕捉视野中的光强度变化。它们根据信息变化的方向记录正负方向的脉冲序列信息,使NVS具有低延迟、异步和稀疏的特点。代表性的NVS包括动态视觉传感器和动态有源成像传感器。
神经形态数据集的以下特性使其特别适合对SNN进行基准测试:1)SNN可以自然地处理异步事件驱动的信息,使其与神经形态数据集的数据特征非常契合;2) 嵌入在神经形态数据集中的时间特征(例如精确的发放时间和帧之间的时间相关性)提供了一个极好的平台来证明脉冲神经元通过时空动力学处理信息的能力。
根据数据集的构建方法,目前的神经形态数据集主要分为三类。第一类是从现场场景收集的数据集,主要由NVS直接捕获以生成未标记的数据,例如用于手势识别的DvsGesture [Amir et al., 2017]。第二类是转换数据集,主要是通过NVS的实际拍摄从标记的静态图像数据集生成的,例如DVS-CIFAR10 [Li et al., 2017]。由于易于使用和评估,此类转换数据集是SNN中最常用的数据集。第三类是生成的数据集,主要是通过模拟NVS特性的算法,使用标记数据生成的。他们通过特定的差异算法直接从现有的图像或视频流信息中生成神经形态数据集[Bi and Andreopoulos, 2017]。
New Frontiers. 尽管对神经形态数据集的研究仍在发展中,但这三类数据集都有其局限性。由于研究人员预处理第一类数据集的方式不一致,例如时间分辨率和图像压缩比例,目前报告的结果难以公平比较。第二类和第三类数据集主要是对原始静态数据进行二次变换产生的,它们的数据难以表达丰富的时态信息。因此,它们不能充分利用SNN的时空处理特性。综上所述,目前对神经形态数据集的研究仍处于起步阶段。
在DNN领域的静态图像数据集上,例如MNIST [LeCun, 1998]、CIFAR [Krizhevsky et al., 2009]等,SNN的性能通常不如DNN。然而,研究表明,在此类数据集上使用单一标准(例如分类准确性)盲目地测量SNN是不明智的[Deng et al., 2020]。在包含更多动态时间信息并且自然具有脉冲信号形式的数据集中,SNN在性能和计算开销方面可以取得更好的结果。如上所述,NVS获得的小规模数据集是当前SNN数据集的主流,但不排除可能还有其他更合适的数据源有待探索。除了简单的图像识别任务外,还希望开发适合各种任务的时空事件流数据集,以进一步研究SNN的潜在优势和可能的应用场景。此外,构建更大规模和功能更匹配的数据集(充分利用脉冲神经元的时空处理能力和数据的事件驱动特性)也是为SNN提供广泛而公平的基准的重要未来方向。
4 Optimization Algorithms
Recent Advances. ANN的学习是基于特定任务的数据集来优化网络参数。优化算法无疑在其中起着至关重要的作用。在DNN中,基于梯度的误差BP优化算法[Rumelhart et al., 1986]是当前DNN优化理论的核心,被广泛应用于实际场景中。相比之下,SNN领域没有公认的核心优化算法。生物学合理性和任务性能之间存在不同的侧重点。此外,网络中使用的不同神经元模型、编码方法和拓扑结构都导致优化算法的多样化。对SNN优化算法的研究可分为两大类。一种类型旨在更好地理解生物系统,其中使用详细的生物学合理神经模型,而无需进一步考虑计算性能。另一种类型是为了追求卓越的计算性能而构建的,其中仅保留了SNN的有限特征,并且仍然使用了一些有效但在生物学上不合理的调整算法。
第一类算法尽可能满足已知的BS发现。本文创新性地将它们进一步划分为基于微观尺度、中观尺度和宏观尺度的可塑性优化。微观和中尺度的可塑性通常是自组织的、无监督的局部算法,而宏观尺度的可塑性通常是有监督的全局算法。微尺度可塑性主要描述发生在单个神经元或突触部位的学习特性,包括STDP [Bi and Poo, 1998]、短期可塑性(STP)[Zhang et al., 2018b]、Reward-STDP [Mozafari et al., 2019]、Dale规则[Yang et al., 2016]等。此类算法在简单的图像分类任务上取得了不错的性能。Diehl [2015]使用带有LIF神经元的两层SNN,相邻层神经元使用STDP进行学习,在MNIST上实现了95%的测试准确率。随后通过结合可塑性机制(例如对称STDP和多巴胺调节)将其优化到96.7%的准确度[Hao et al., 2020]。Kheradpisheh [2018]使用多层卷积、STDP和信息延迟进行高效的图像特征分类,在MNIST上实现了98.40%的准确率。此外,提出了一种STDP和Reward-STDP的组合优化算法来优化多层脉冲卷积网络[Mozafari et al., 2019]。中尺度可塑性主要描述多个突触和多个神经元之间的关系,例如侧抑制[Zenke et al., 2015]、自反向传播(SBP) [Zhang et al., 2021b]、多个神经元之间的稳态控制等。Zhang [2018a]提出了一种基于神经稳态的优化算法来稳定单个节点的输入输出信息。宏观可塑性主要描述自上而下的全局信度分布。不幸的是,在生物网络的信度分配中,并没有类似于BP的全局优化算法。突触信息传递的方向性使得前向传递和可能的反馈通路在生理上是分开的。在反向传播过程中,大脑没有已知的方法来访问前向权重,这被称为权重传输问题。为了使BP更具生物性和节能性,出现了一些BP的变革性算法。例如,目标传播[Bengio, 2014]、反馈对齐[Lillicrap et al., 2016]、直接随机目标传播[Frenkel et al., 2021]等,通过在随机矩阵的反向过程中实现直接梯度转移来解决权重传输问题。他们为宏观尺度上SNN的可塑性优化带来了新的想法,例如生物学合理的奖励传播(BRP) [Zhang et al., 2021c]。
第二类算法通常采用不同的基于BP的变体来优化SNN,主要包括伪BP [Zenke and Ganguli, 2018]、DNN转换的SNN [Cao et al., 2015]等。由于脉冲信号是不可微的,直接应用基于梯度的BP是困难的。伪BP的关键特征是用预定义的梯度数替换BP期间脉冲神经元的非微分部分[Shrestha and Orchard, 2018]。在一些较小规模的数据集上,其性能和收敛速度可与标准BP训练后的DNN相媲美。DNN转换的SNN的基本思想是SNN中发放率编码下的平均发放率可以逼近DNN中ReLU激活函数下的连续激活值。原始DNN用BP训练后,通过特定手段转化为SNN [Cao et al., 2015; Deng and Gu, 2020]。在性能方面,DNN转换的SNN与DNN保持最小的差距,可以在大规模的网络结构和数据集上实现。例如,Rueckauer [Rueckauer et al., 2017]实现了VGG-16和GoogLeNet模型的一些脉冲版本。Sengupta [Sengupta et al., 2019]报告说,VGG-16在ImageNet数据集上实现了69.96%的准确率,转换精度损失为0.56%。随后,Hu [Hu et al., 2018]使用ResNet-50的深层结构获得了72.75%的准确率。
New Frontiers. 生物合理性和性能的有机结合仍将是SNN优化算法的不懈目标。与DNN相比,只有少数算法可以直接训练真正大规模的深度SNN。深度网络训练中的梯度消失、资源开销高、甚至不收敛等问题需要进一步探索。最近,来自DNN领域的残差学习和批量归一化已被引入伪BP以直接训练深度SNN [Fang et al., 2021; Hu et al., 2021; Zheng et al., 2021],取得了优异的成绩,可作为未来深度SNN优化发展的一种方式。此外,现有的DNN转换的SNN算法也存在仿真周期长的问题。从模型压缩的角度来看,转换过程是对激活值的极端量化。二值神经网络(BNN) [Rastegari et al., 2016; Chen et al., 2018]在DNN中也有类似的概念。然而,BNN和SNN之间的联系和区别,以及SNN中额外的时间维度可能产生的影响,并没有明确阐述。SNN的阈值发放特性可能使它们更容易接受压缩算法。因此,还需要探索与权重量化和剪枝等压缩算法的结合,以进一步发挥SNN的计算效率优势[Chen et al., 2021]。
5 Software Frameworks
Recent Advances. SNN的软件框架是用于帮助SNN实现快速仿真、网络建模和算法训练的编程工具。软件框架与有效降低领域准入门槛和大型SNN项目的高效开发有着重要关系,为SNN的科学研究提供了实质性支持。由于研究目标和实现方法的不同,软件框架有很多。
一些软件框架已被用于实现更小规模的神经元功能模拟,主要是为了理解生物系统。Neuron [Migliore et al., 2006]和Nest [Gewaltig and Diesmann, 2007]是两个常用的软件框架,支持多种编程语言,例如Python、C++等和可视化界面。它们还支持更详细的神经元活动动力学的表征,例如H-H、LIF和Izhikevich,或具有复杂结构的多室模型。其他框架可以实现特定任务、更大规模的SNN优化计算,支持多个神经元模型,并支持各种类型的突触可塑性,例如STDP和STP。例如,Bindsnet [Hazan et al., 2018]、Brain2 [Stimberg et al., 2019]、Spyketorch [Mozafari et al., 2019]、SpikingJelly [Fang et al., 2020]、CogSNN [Zhang and Liu, 2022]等,基于Python语言,更好地支持多神经元组网,可用于一些相对复杂的模式识别任务。特别是CogSNN [Zhang and Liu, 2022]对前面介绍的N-MNIST、DVS-CIFAR10和DvsGesture等神经形态数据集具有出色的支持能力,并支持Muller-Lyer错觉和McGurk效应等认知计算。
New Frontiers. SNN的软件框架仍处于相对初级的发展阶段。在DNN中,目前支持其训练的软件框架有很多种,常见的有PyTorch [Paszke et al., 2019]等。人性化的编程界面和统一的数据流处理方式,让初学者很容易上手。构建和训练DNN,极大地促进了DNN领域的发展。然而,在SNN中,目前只有少数几个框架可以支持大规模SNN的构建和训练。构建大型SNN仍然需要程序员具备出色的编程技能。因此,开发用户友好的编程框架以有效部署大规模SNN对于该领域的发展至关重要。
6 Hardware Frameworks
Recent Advances. SNN软件框架的开发使得相应的应用能够快速扩展到越来越多的实际场景。特别是机器人芯片、高性能模拟计算、模式识别加速器、事件高速摄像机等对有限尺寸、低能耗、并行计算等要求较高的应用场景,逐渐开始展现出巨大的应用潜力。
由于SNN在硬件电路中具有超低能耗的优势,在过去的十年中,支持SNN硬件实现的神经形态芯片,以TrueNorth [Akopyan et al., 2015]、Loihi [Davies et al., 2018]为代表 , 和天机 [Pei et al., 2019]芯片如雨后春笋般涌现。与传统的冯诺依曼处理器架构不同,许多计算核同时工作在一个神经形态芯片中,通过路由网络交换中间结果。整个系统通常没有统一的外部存储器。取而代之的是,每个计算核心都有自己独立的存储空间,呈现去中心化的运行模式,因此具有极高的并行度和内存访问效率。
现有的神经形态芯片根据是否支持学习功能可以分为离线芯片和在线芯片。离线芯片意味着SNN的参数(例如权重)已经提前训练好了。模型只需要部署到神经形态芯片上,后续运行过程中不会更新参数。也就是说,离线芯片只支持SNN的推理过程,而不支持它们的训练过程。此类芯片包括TrueNorth [Akopyan et al., 2015]、Tianjic [Pei et al., 2019]和Neurogrid [Benjamin et al., 2014]。与离线芯片不同,在线芯片支持SNN模型运行过程中的参数更新。此类芯片包括Loihi [Davies et al., 2018]、SpiNNaker芯片[Furber et al., 2014],以及一些配备CogSNN工具箱的开发芯片[Zhang and Liu, 2022]。
IBM TrueNorth芯片[Akopyan et al., 2015]包含约54亿个硅晶体管、4096个核、100万个神经元和2.56亿个突触,可实现基于SNN的类脑情感计算等应用。英特尔Loihi芯片中的神经元数量已达到800万个,突触已达到80亿个[Davies et al., 2018]。它最初在高度敏感的气味感知和识别中发挥作用。斯坦福大学Neurogrid芯片实时模拟由数十亿个突触连接的数百万个神经元,支持高性能计算机和类脑机器人芯片[Benjamin et al., 2014]。目前的进展包括高通量大脑信息处理、脑机接口神经信息记录等。清华大学开发的DNN/SNN混合类脑天机芯片可以支持传统的DNN,以及新一代的SNN [Pei et al., 2019]。他们还验证了天机在自动驾驶自行车上的语音识别、控制跟踪、自动避障等功能。
New Frontiers. 在冯诺依曼瓶颈的背景下,作为传统数字电路的替代计算范式,神经拟态芯片成为十余年来的研究热点,并取得了丰硕的成果。通过从大脑的结构和功能中汲取灵感,神经形态芯片为SNN中的事件驱动计算提供了一种有效的解决方案,实现了高并行性和超低功耗等基本特性。结合现有硬件芯片的各种优势技术,是一个需要深入研究的重要方向。这种交叉融合可能体现在以下几个方面:1)DNN和SNN两种范式的异构融合,提高了整体性能;2)低精度忆阻器和高精度数字电路的混合精度计算;3)通用计算芯片将高效但低性能的无监督局部学习与高性能但低效率的有监督全局学习相结合。
7 Conclusion
在本文中,我们提供了SNN的文献调查。我们回顾了最近的进展,并从五个主要研究主题讨论了SNN的新前沿:基本要素(即神经元模型、编码方法和拓扑结构)、神经形态数据集、优化算法、软件和硬件框架。我们希望这项调查能够为SNN领域的未来研究提供启示。
浙公网安备 33010602011771号