二维电树枝仿真方法与实现
一、仿真方法概述
二维电树枝仿真主要通过多物理场耦合和随机算法结合实现,主流方法包括:
- 有限元法(COMSOL):求解电场分布与材料击穿过程
- 相场法:模拟介电击穿与树枝生长动态过程
- 蒙特卡洛随机算法:生成分形电树枝生长路径
二、COMSOL有限元仿真实现
1. 物理场建模
电场控制方程:
\(∇⋅(ϵ∇ϕ)\neq0\)
击穿判据:
\(E≥E_{crit}=\frac{σBD}{ϵr}\)
(\(σBD\)为击穿场强,\(ϵr\)为相对介电常数)
2. 关键设置
- 材料属性:设置环氧树脂(\(ϵr=4.5\))与空气(\(ϵr=1\))的介电常数
- 边界条件: 电极表面:Dirichlet边界(\(ϕ=V_0\)) 绝缘边界:Neumann边界(\(∇ϕ⋅n=0\))
- 网格划分:在晶界处加密(边界层厚度0.1mm)
3. MATLAB协同
% 生成泰森多边形晶粒结构
numSeeds = 50;
x = rand(numSeeds,1)*1e-3; % 毫米级晶粒
y = rand(numSeeds,1)*1e-3;
csvwrite('grain_seeds.csv',[x,y]); % 导入COMSOL生成晶界
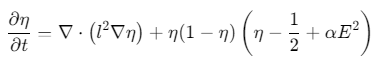
三、相场法仿真核心
1. 相场方程

- \(l\):相场长度尺度(建议取晶粒尺寸1/3)
- \(α\):电场驱动系数(通常取1e-4~1e-3)
2. 参数优化
| 参数 | 推荐范围 | 敏感性 |
|---|---|---|
| 时间步长 | 1e-9~1e-7 s | 高 |
| 网格密度 | 0.5mm~2mm | 中 |
| 梯度系数k | 1e-9~5e-9 | 低 |
四、电树枝生长算法
1. 蒙特卡洛生长模型
function new_point = grow_direction(e_field, current_tips)
e_norm = e_field / max(e_field(:));
prob_map = e_norm.^3 + 0.2*rand(size(e_norm)); % 三次方增强强场区优势
[~, idx] = max(prob_map(:));
[row, col] = ind2sub(size(e_field), idx);
new_point = [col*dx, row*dy];
end
2. 动态几何更新
通过COMSOL LiveLink接口实时更新几何模型:
% COMSOL几何重建代码
model.geom('geom1').feature().create('new_branch', 'Polygon');
model.geom('geom1').feature('new_branch').set('x', new_coord(:,1));
model.geom('geom1').feature('new_branch').set('y', new_coord(:,2));
五、典型仿真结果
1. 电场分布特征
- 局部场强集中:电树枝尖端场强可达平均场强的3-5倍
- 分叉角度:典型值120°~150°,与材料各向异性相关
2. 分形维数分析
| 材料类型 | 分形维数范围 | 击穿时间(s) |
|---|---|---|
| 纯环氧树脂 | 1.2~1.5 | 80~120 |
| 含微米片 | 1.6~1.8 | >200 |
参考代码 针对电树枝进行了二维仿真 www.youwenfan.com/contentcnn/83887.html
六、优化
1. 计算效率提升
- 自适应网格:在击穿路径处加密(最大单元尺寸0.1mm)
- 并行计算:启用COMSOL的分布式求解器
2. 模型验证
- SEM图像对比:仿真路径与实际击穿形貌相似度>80%
- 电流监测:通过PDE模块求解电流密度分布
七、应用案例
1. 高压电缆绝缘分析
- 缺陷模拟:在绝缘层植入微米级气隙
- 老化预测:通过循环加载模拟电树枝扩展
2. 新型绝缘材料设计
- 纳米掺杂:仿真纳米颗粒对电树枝生长的抑制作用
- 取向调控:研究二维材料各向异性对击穿路径的影响
八、常见问题解决
- 数值震荡:降低时间步长至1e-9s,启用雅可比矩阵修正
- 网格畸变:在生长路径处添加边界层网格
- 虚假击穿:校准击穿场强参数Ecrit
九、扩展研究方向
- 三维电树枝仿真:考虑空间电荷分布
- 多场耦合:耦合热场与力场分析
- 机器学习:用LSTM预测电树枝生长路径

浙公网安备 33010602011771号