会员
周边
新闻
博问
闪存
众包
赞助商
YouClaw
所有博客
当前博客
我的博客
我的园子
账号设置
会员中心
简洁模式
...
退出登录
注册
登录
lazy-ZJY0307
博客园
首页
新随笔
联系
订阅
管理
[置顶]
一些并不怎么重要的题目
摘要: P1111 修复公路 肖邦 g 小调第一叙事曲 并查集 + \(krustra\) 板子题 code: #include<bits/stdc++.h> using namespace std; const int maxn=1010; const int maxm=100100; int n,m;
阅读全文
posted @ 2024-08-21 16:34 lazy_ZJY
阅读(56)
评论(0)
推荐(0)
2025年5月18日
5.18
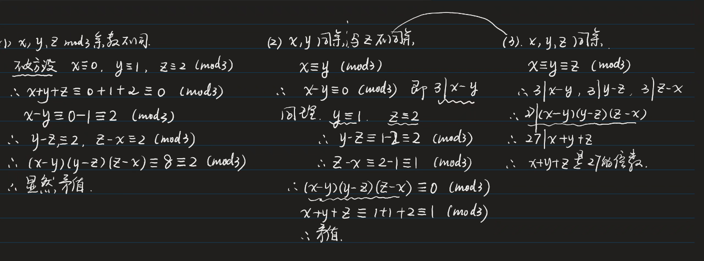
摘要: \(m\) \(互素\)
阅读全文
posted @ 2025-05-18 21:11 lazy_ZJY
阅读(11)
评论(0)
推荐(0)
2025年4月6日
4.6
摘要:   
评论(0)
推荐(0)
2025年3月30日
3.30
摘要:   
评论(0)
推荐(0)
2025年3月16日
3.16
摘要:   
评论(0)
推荐(0)
2025年3月9日
时政述评(2025.3.9)
摘要: 同住地球村:文化交融与文明互鉴的新路径 2025年,全球化进程在文化冲突的张力中呈现出新的图景。中国传统节日春节申遗成功、美国乐队OneRepublic首登中国春晚舞台、TikTok海外用户大规模涌入小红书——这三件事件,共同勾勒出文化交融的复杂生态。它们既展现了中华文化全球影响力的跃升,也揭示了跨
阅读全文
posted @ 2025-03-09 21:24 lazy_ZJY
阅读(401)
评论(0)
推荐(0)
3.9
摘要:   
评论(0)
推荐(0)
2025年3月2日
3.2
摘要:   
评论(0)
推荐(0)
2025年2月10日
2.10
摘要:   
评论(0)
推荐(0)
多重背包二进制优化
摘要: 因为一直没有搞明白多重背包二进制优化的原理,故作此文 问题描述 有 \(N\) 种物品和一个容量是 \(V\) 的背包。 第 \(i\) 种物品最多有 \(s_i\) 件,每件体积是 \(v_i\),价值是 \(w_i\)。 求解将哪些物品装入背包,可使物品体积总和不超过背包容量,且价值总和最大。
阅读全文
posted @ 2025-02-10 17:19 lazy_ZJY
阅读(81)
评论(0)
推荐(0)
2025年2月9日
2.9
摘要:   
评论(0)
推荐(0)
下一页
公告