GIS : GIS学科、定位、坐标系与导航系统
基础知识
全球定位系统 、地理信息系统、遥感技术、数字地球空间的关系


地理信息系统/GIS




- 地理信息系统(Geographic Information System或 Geo-Information system,
GIS)有时又称为“地学信息系统”。 - 它是一种特定的十分重要的空间信息系统。它是在计算机硬、软件系统支持下,对整个或部分地球表层(包括大气层)空间中的有关地理分布数据进行采集、储存、管理、运算、分析、显示和描述的技术系统。



-
位置与地理信息,既是LBS的核心,也是LBS的基础。
一个单纯的经纬度坐标只有置于特定的地理信息中,代表为某个地点、标志、方位后,才会被用户认识和理解。
用户在通过相关技术获取到位置信息之后,还需要了解所处的地理环境,查询和分析环境信息,从而为用户活动提供信息支持与服务。 -
地理信息系统(GIS,Geographic Information System)是一门综合性学科,结合地理学与地图学以及遥感和计算机科学,已广泛的应用在不同的领域,是用于输入、存储、查询、分析和显示地理数据的计算机系统,随着GIS的发展,也有称GIS为“地理信息科学”(Geographic Information Science),近年来,也有称GIS为地理信息服务(Geographic Information service)。
-
GIS是一种基于计算机的工具,它可以对空间信息进行分析和处理(简而言之,是对地球上存在的现象和发生的事件进行成图和分析)。
-
GIS 技术把地图这种独特的视觉化效果和地理分析功能与一般的数据库操作(例如查询和统计分析等)集成在一起。






GIS 数据

from : [地理信息系统(复习)- CSDN]https://blog.csdn.net/sbdsj_0111/article/details/111347102) 【推荐】
空间数据结构(矢量数据结构、栅格数据结构、矢量栅格一体化数据结构、三维数据结构)

椭圆
- 椭圆、圆
离心角、旋转角

-
椭圆的长半轴、短半轴、偏心率

-
椭圆的扁率、椭圆的偏心率

-
椭圆的几何性质





- 参考椭球体的参数

- 发展沿革
- 中国1952年前采用海福特(Hayford)椭球体
- 1953—1980年采用克拉索夫斯基椭球体(坐标原点是前苏 联玻尔可夫天文台)
自1980年开始采用 GRS 1975(国际大地测量与地球物理 学联合会 IUGG 1975 推荐)新参考椭球体系,并确定陕西 泾阳县永乐镇北洪流村为“1980西安坐标系”大地坐标的起算 GRS: Geo

椭球体
- 椭球体三要素:
- 长轴a(赤道半径)
- 短轴b(极半径)
- 椭球扁率f=(a-b)/a
- 对 a,b,f 的具体测定就是近代大地测量学的一项重要工作。

旋转椭球体

-
旋转椭球体(Rotational Ellipsoid,别称:扁球体)是绕椭圆的短轴或长轴旋转而成的球体,称为旋转椭球体。
-
旋转椭球体的半短轴,称短半径或极半径,以b表示;它的半长轴,称长半径或赤道半径,以a表示。
-
旋转椭球体是由经线圈绕地轴回转而成的。
-
所有经线圈都是相等的椭圆,而赤道和所有纬线圈都是正圆。
-
测量上为了处理大地测量的结果,采用与地球大小形状接近的旋转椭球体、并确定它和大地原点的关系,称为参考椭球体。
-
十九世纪,经过精密的重力测量和大地测量,进一步发现赤道也并非正圆,而是一个椭圆,直径的长短也有差异。
-
这样,从地心到地表就有三根不等长的轴。所以,测量学上又用三轴椭球体来表示地球的形状。

地心 := 地球质心
- 地球质心,简称“地心”。地球全部质量的中心。
- 由于地球质量分布不均匀,求定时须用物理大地测量学的理论和方法。
- 通常综合地面和人造卫星的观测资料求定。
- 地球质心位置为确定地球表面、大气以及空间位置的相对运动提供了参考系,而这些信息对科学家研究海平面变化、地震、火山以及冰川消退对地球的影响至关重要。
- 不过,科学家对地球质心运动的估测精度并不确定,范围从每年2毫米到5毫米。
from : 地球质心 - 百度百科
地图投影 : 3维空间 => 2维平面
问题的提出
将椭球面上的客观世界表现在有限的平面上, 首先要实现由球面到平面的转换。

- 沿直线直接展开?

- 沿经线直接展开


- 沿纬线直接展开

可见,地球椭球面是不可展开的面。
无论如何展开都会产生褶皱、拉伸或断裂等无规律变形,无法绘制科学,准确的地图。因此:
- 解决球面与平面之间的矛盾——地图投影——将地球椭球面上的点转换成平面上的点。
- 大与小的矛盾——比例尺
地图投影的实质
- 建立平面上的点(用平面直角坐标或 极坐标表示)和地球表面上的点(用纬度 和经度表示)之间的函数关系,用数学式 表达这种关系,就是:
- x = f1(λ, φ)
- y = f2(λ, φ)

地图投影的变形
投影产生变形的原因——地球的形状
切割、压缩、拉伸

投影变形剖析:
1、地球仪上经纬线长度特征:
- 各纬线长度不等,赤道最长,纬度越高长 度越短,到两极为零值;
- 同一条纬线上,经差相同的纬线弧长相等;
- 所有的经线长度相等;
- 同一条经线上,纬差相同的经线弧长相差不大(在正球体 上完全相等,在椭球体上由赤道向两级增长)
2、地球仪上经纬网构成的球面梯形面积特征:
- 同一纬度带内,经差相同的球面梯形面积相等;
- 同一经度带内,纬差愈高球面梯形面积愈小。
3、经线与纬线处处呈直角
地图投影变形的概念
- 与地图仪上的经纬网进行比较后发现地图投影不能保持平面与球面之间在长度(距离)、角度 (形状)、面积等方面完全不变。

地图投影变形规律
- 与制图区域的大小有关,制图区域愈大, 可能出现的变形亦大;
- 与标准点(无变形的点)或标准线(无变 形的线)的距离有关,离开标准点或标准
变形椭圆
取地面上一个微分圆(小到可忽略地球曲面的 影响,把它当作平面看待),它投影到平面上通常 会变为椭圆,通过对这个椭圆的研究,分析地图投 影的变形状况。
这种图解方法就叫变形椭圆(底索 曲线 Tissot’s indictrix)。

...
地图投影的 更多内容,参见 Page 34 - Page 129
经度、维度





-
经纬度是经度与纬度组成的坐标系统,是一种利用三度空间的球面来定义地球上的空间的球面坐标系统**,能够标示地球上的任何一个位置。
-
纬线和经线一样是人类方便度量而假设出来的辅助线
-
定义:地球表面某点随地球自转所形成的轨迹。
-
经度分东西,指向南北;纬度分南北,指向东西。
纬线(Latitude Line)
-
任何一根纬线都是圆形而且两两平行。
-
纬度是指过椭球面上某点作法线,该点法线与赤道平面的线面角,其数值在0至90度之间。
- 位于赤道以北的点的纬度叫北纬,记为N;
- 位于赤道以南的点的纬度称南纬,记为S。
纬度数值在0至30度之间的地区称为低纬度地区;
纬度数值在30至60度之间的地区称为中纬度地区;
纬度数值在60至90度之间的地区称为高纬度地区。
- 纬线的长度是赤道的周长乘以纬线的纬度的余弦。
所以,赤道最长,离赤道越远的纬线,周长越短,到了两极就缩为0。
-
从赤道向北和向南,各分90°,称为北纬和南纬,分别用“
N”和“S”表示。 -
重要的纬线:
- 北极圈(66°33' 38″ N)
- 北回归线(23°26' 22″ N)
- 赤道(0°N)
- 南回归线(23° 26' 22″ S)
- 南极圈(66°33' 38″ S)
-
纬线的长度不同(离赤道越远的纬线越短)
-
北纬(N)为正数,南纬(S)为负数。
经线/子午线(Longitude Line)
-
经线也称子午线,和纬线一样是人类为度量方便而假设出来的辅助线
-
定义:为地球表面连接南北两极的大圆线上的半圆弧。
-
任两根经线的长度相等,相交于南北两极点。
-
每一根经线都有其相对应的数值,称为经度。
-
经线指示南北方向。
-
子午线的命名由来:
“某一天体视运动轨迹中,同一子午线上的各点该天体在上中天(午)与下中天(子)出现的时刻相同。”
不同的经线具有不同的地方时。
偏东的地方时要比较早,偏西的地方时要迟。
- 重要的经线:
- 本初子午线
- 巴黎子午线
- 180度经线
- 西经20度(
W)- 东经160度(
E)
-
所有经线长度相等
-
东经(E)正数,西经(W)为负数。
地球坐标系与大地定位
地球表面上的定位问题,是与人类的生产活动、科学 研究及军事国防等密切相关的重大问题。具体而言,就是 球面坐标系统的建立。
- 地理坐标 —— 用经纬度表示地面点位的球面坐标:
① 天文经纬度 ② 大地经纬度 ③ 地心经纬度
天文经纬度 : 基于【经纬度】
(一)天文经纬度:表示地面点在大地水准面上的位 置,用天文经度和天文纬度表示。
- 天文经度:观测点天顶子午面与格林尼治天顶 子午面间的两面角。
在地球上定义为本初子午面与观测点之间 的两面角。
- 天文纬度: 在地球上定义为铅垂线与赤道平面 间的夹角。
大地经纬度 : 基于【参考椭球面】
(二)大地经纬度:表示地面点在参考椭球面上的位 置,用大地经度λ、大地纬度φ和大地高 H 表 示,量测计算中,大地经度符号为L,大地纬度 的符号为B。
-
大地经度λ:指参考椭球面上某点的大地子午面与 本初子午面间的两面角。
东经为正,西经为负。 -
大地纬度φ:指参考椭球面上某点的垂直线(法线) 与赤道平面的夹角。北纬 为正,南纬为负。

地心经纬度 : 基于【地球椭球体质量中心(地区质心)、大地经度、参考椭球面】
- (三)地心经纬度:即以地球椭球体质量中心为基点,地心经度同大地经度λ, 地心纬度是指参考椭球面上某点和椭球中心连线与赤道面之间的夹角y 。
- 在大地测量学中,常以天文经纬度定义地理坐标。
在地图学中,以大地经 纬度定义地理坐标。
在地理学研究及地图学 的小比例尺制图中,通常将椭球体当成正球体看,采用地心经纬度。

小结
大地坐标系 = 地理坐标系 = { 地心坐标系 vs 参心坐标系 }

地理坐标系、投影坐标系、地图投影
- 地理坐标系:为球面坐标。参考平面地是3维的椭球面,坐标单位:经纬度;
- 投影坐标系:为平面坐标。参考平面地是2维的水平面,坐标单位:米、千米等;
- 地图投影:地理坐标转换到投影坐标的过程可理解为地图投影。
投影:将不规则的地球曲面转换为平面
大地控制网 = 平面控制网 + 高程控制网
中国的大地控制网
-
中国的大地控制网:由平面控制网和高程控制网组成,控制点遍布全国各地。
-
平面控制网:按统一规范,由精确测定地理坐标的地面点组成,由三角测量或导线测量完成,依精度不同, 分为四等。



- 高程控制网:按统一规范,由精确测定高程的地面点组成,以水准测量或三角高程测量完成。
依精度不同, 分为四等。
中国高程起算面是 黄海平均海水面。
1956年在青岛观象山设立了水准原点,其他各控制点的绝对高程均是据此推 算,称为1956年黄海高程系。
1987年国家测绘局公布: 启用《1985国家高程基准》 取代《黄海平均海水面》 其比《黄海平均海水面》 上升 0.02


坐标系
- 国际坐标系,除了WGS-84坐标系,还有其他的大地坐标系,如GLONASS、Galileo等。
这些坐标系的参数和精度不同,因此在使用GPS导航时,需要根据具体的情况选择合适的坐标系。
同时,由于地球的形状和重力场等因素的变化,坐标系也需要不断更新和调整,以保证导航的准确性。
坐标系的分类
地理坐标系/大地坐标系 vs 投影坐标系

参心坐标系 vs 地心坐标系
国际坐标系 vs 国家坐标系 vs 区域坐标系
空间直角坐标系 vs 大地坐标系 vs 平面投影坐标系
- 测量坐标包括:大地坐标(B、L、H)、空间直角坐标(X、Y、Z)、平面坐标(x、y、H)


- 大地坐标系,又称地理坐标系,指我们通常说的以经纬度为单位的坐标系。
地理坐标系是球面坐标,参考平面是椭球面,坐标单位是经纬度
- 投影坐标系,始终基于地理坐标系,而后者是基于球体或旋转椭球体的。
投影坐标系是平面坐标系,参考平面是水平面,坐标单位是米、千米等。
投影方法(比如高斯-克吕格、Lambert投影、Mercator投影)
- 如果没有统一的空间坐标参考,系统就不可能实现空间分析。例如,要在GIS中实现两个图层的叠加,若图层选用的坐标系统和投影方式不一样,形状和位置可能都不相同,就很难实现叠加。
坐标转换原理
- 测量坐标包括:大地坐标(B、L、H)、空间直角坐标(X、Y、Z)、平面坐标(x、y、H)
- 同一参考椭球下,大地坐标与空间直角坐标之间的转换是严密的(数学关系对应)
- 大地坐标、空间直角坐标与平面坐标的转换是不严密的,需要做投影转换(想想也明白,把球面展成平面那可是难住了好多地理信息学科学家)
- 而不同参考椭球之间的坐标转换永远都是非严密的。

- 同一椭球下的转换
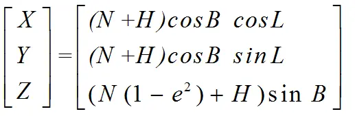
- 同一椭球下,大地坐标(B、L、H)与空间直角坐标(X、Y、Z)之间的转换是严密的。
其公式为:

- 而大地坐标(B、L、H)、空间直角坐标(X、Y、Z)向平面直角坐标的转换属于非严密的,需要进行球面到平面的投影选择。通常做法:
- 将空间直角坐标转换为大地坐标,然后在大地坐标和平面直角坐标之间采用高斯正算和反算公式进行计算。
+ 不同参考椭球下的坐标转换的实质是基准的转换。
- 如空间定位技术所采用的全球基准与地面网所采用的局部基准间的转换。
- 通常的转换模型有:布尔莎-沃尔夫模型和莫洛金斯基模型。
这两种模型都常用且非常相似,布尔莎模型在进行全球或者较大范围内较为常用,但是莫洛金斯基模型可以克服布尔莎模型中旋转参数与平移参数相关性高的问题。
- 两个坐标系的转换通常有: 三维七参数模型、二维四参数模型。
- 布尔莎模型,又称为七参数转换,或者七参数赫尔默特变换。
该模型共采用7个参数,分别为:3个平移参数(ΔX、ΔY、ΔZ)和3个旋转参数(ωx、 ωy、ωz)和1个尺度参数k。

上式是一个WGS84下的空间直角坐标转换到CGCS2000下的空间直角坐标的布尔莎模型,有七个未知参数,简单的求解,只需要3个公共点就可以了.
如果要得到严密解,就需要更多的公共点进行最小二乘平差解算。
而对于大地坐标,可以转成空间直角坐标再解算,也可以直接利用布尔莎模型。
地心参考框架: ITRF 坐标参考框架 := 国际地球参考框架
ITRF的意义
- 名称: International Terrestrial Reference Frame/国际地球参考框架
性质: 国际地球自转服务的地面参考框架
-
它是一个地心参考框架,由空间大地测量观测站的坐标和运动速度来定义,是国际地球自转服务的地面参考框架。
-
其是由国际地球自转服务局(
IERS)根据一定要求,建立分布全球的地面观测台站,采用甚长基线干涉测量(VLBI)、卫星激光测距(SLR)、激光测月(LLR)、GPS和卫星多普勒定轨定位(DORIS)等空间大地测量技术,由IERS中央局对所有观测数据进行综合分析处理,得到地面观测站的站坐标和速度场,以及相应的地球定位定向参数(EOP)。 -
目前,
ITRF已成为国际公认的应用最广泛、精度最高的地心坐标参考框架。 -
意义:
- 地球形状每时每刻都在变化。而研究地球板块的运行、地面物体的定位等学术研究或经济建设场景时,需要一个参考框架用于表述其运动情况。
- 国际地面参考系统(International Terrestrial Reference System,ITRS)描述了如何创建适合使用的参考系应用于地球表面或接近表面的测量过程。
- 这是以很多的物理标准做为叙述,创建出一组可能的现实化标准的相同过程。
- ITRS定义了一个大地测量的座标系统 ,作为SI的测量系统。
- 国际地球参考系(Internationa Terrestrial Reference Frame, ITRF)是国际地表参考系统的实现,其综合地表上一组观测点的坐标信息而形成。
- 基于ITRF,可以用于研究地球的板块构造、区域沉降或负载,或者在研究宇宙中地球旋转时用于描述地球。
- 地球的旋转是在基于恒星建立的天体参考框架(International Celestial Reference Frame,ICRF)中测量的。
ITRF和ICRF之间的关系就是地球方向参数(Earth Orientation Parameters, EOP).ITRF和ICRF为比较不同地点的观测和结果提供了一个共同的参考。
ITRS(国际地球参考系)的定义
ITRS定义为
1)原点为地心,并且是指包括海洋和大气在内的整个地球的质心。
2)长度单位为米(m),并且是在广义相对论框架下定义。
3)Z轴从地心指向BIH(国际时间局)1984.0定义的协议地球极(Conventional Terrestrial Pole,CTP)。
4)X轴从地心指向BIH1984.0定义的零度子午面(BIH Zero Meridian)和CTP赤道的交点。
5)Y轴与XOZ平面垂直而构成右手坐标系。
6)时间演变基准是使用满足无整体旋转NNR条件的板块运动模型,用于描述地球各块体随时间的变化。
版本沿革
-
由于章动,极移影响,ITRF框架每年都在变化。ITRF也在持续地更新。
-
ITRF 从1988建立起已有13个版本.它们是:
- ITRF88
- ITRF89
- ITRF90
- ITRF91
- ITRF92
- ITRF93
- ITRF94
- ITRF96
- ITRF97
- ITRF2000
- ITRF2005
- ITRF2008
- ITRF2014
- ...
- 我国的2000国家大地控制网/CGCS 2000大地坐标系,就是定义在ITRF97地心坐标系统中的区域性地心坐标框架。
全球导航卫星系统与ITRF/ITRS的联系
- 大地测量技术全球导航卫星系统
- 目前,四种主要的大地测量技术全球导航卫星系统(Global Navigation Satellite System,GNSS)、
- 甚长基线干涉(Very Long Baseline interferometry, VLBI)、
- 卫星激光测距(Satellite Laser ranging, SLR)
- 多普勒卫星跟踪和无线电定位系统(DORIS)
然而,这四种技术均无法单独提供完整的参考框架参数。
因此,ITRF综合四种技术的优点,提供了当前最为准确的地球参考框架。

中国国家坐标系/参心坐标系:北京54坐标系
- 1954年北京坐标系 (北京坐标系) 采用苏联Krassovsky(克拉索夫斯基)椭球参数,大地坐标原点在北京。
中国国家坐标系/参心坐标系:西安80坐标系:=1980年(中国)国家大地坐标系
概述
- 西安80坐标系,即1980年国家大地坐标系
- 采用地球椭球基本参数为1975年国际大地测量与地球物理联合会(IUG)第十六届大会推荐的数据。
- 该坐标系的大地原点设在我国中部的陕西省西安市西北方向60公里处的泾阳县永乐镇,又简称西安大地原点。
- 基准面采用青岛大港验潮站1952-1979年确定的黄海平均海水面(即1985国家高程基准)。
椭球参数
- 西安80椭球参数采用IUG 1975年大会推荐的参数,因而可得西安80椭球两个最常用的几何参数为:
- 长半轴a=6378140±5(m)
- 短半轴b=6356755.2882m
- 扁 率α=1/298.2570
- 第一偏心率平方 =0.00669438499959
- 第二偏心率平方=0.00673950181947

参考椭球
什么是西安80坐标系 - Zhihu
- 西安80是我国制定的国家大地坐标系,因此超出我国范围的坐标值是没有意义的。
- 目前仍旧在使用中的我国大地坐标系有:北京54、西安80、国家2000,其中北京54和西安80逐步会替换为国家2000。
坐标系特点
(1)椭球参数与克拉索夫斯基椭球相比精度高。
(2)椭球有4个参数,是一套完整的数值,既确定了几何形状,又表明了地球的基本物理特征,从而将大地测量学与大地重力学的基本参数统一起来。
(3)椭球参数与国际天文学会(IAU)决定从1984年启用的新天文常数系统中的地球椭球参数相一致。
(4)与1954年北京坐标系相比,轴系与参考基本面明确。
(5)通过椭球定位,参考椭球与我国似大地水准符合较好,高程异常的等值线零线有两条穿过我国东部和西部,一般地区高程异常在+20m ~ -20m之间。
(6)该坐标系是综合利用我国30年来天文、重力、三角测量资料建成的我国自己的大地坐标系。

地球椭球体
分带方式
西安80坐标采用投影坐标系,可以使用3度分带或者6度分带。
很多大城市在西安80的基础上进一步演算,制定了各自的城市坐标系,如杭州城市坐标系就是基于西安80的。
西安80的坐标值,Y应该为6位(无带号)或者8位(有带号),X应该为7位。

分带表(部分)
适用范围
因为西安80是我国制定的国家大地坐标系,因此超出我国范围的坐标值是没有意义的。
目前仍旧在使用中的我国大地坐标系有:北京54、西安80、国家2000。
其中,北京54和西安80逐步会替换为国家2000。
大地原点选址考量
西安80坐标系的坐标原点在陕西省泾阳县永乐镇。为什么这里成了“天选之地”呢?
(1)地处我国领土的中部,几乎是我国的几何中心。
(2)地质构造稳定,八百里秦川关中腹地,地下都是淤积的黄土,地质灾害威胁较小。
(3)地下物质稳定,周围没有矿藏资源,历史上也从未出现过大水灾。
因此,人为挖掘和自然灾害威胁较小,大地原点设在这里基本上是安全稳定的。

我国大地坐标原点
同其他坐标系之间的转换
在实际运用的过程中,往往会涉及到西安80坐标系同别的坐标系之间的转换。
这一点,可以使用水经注万能地图下载器,在导出的时候可以选择西安80等各种坐标系,如下图所示。

国际坐标系/地心坐标系: WGS-84 坐标系
- WGS-84坐标系(World Geodetic System 1984, 世界大地测量系统 1984, 年世界大地丈量坐标系 1984)
- 是目前全球范围内使用最广泛的坐标系之一。
- 它是由美国国防部和美国国家测绘局共同制定的,于1984年发布。
- 该坐标系采用了地球的椭球面形状,并且考虑了地球的自转和地球表面的重力场等因素,从而更准确地定义了被测物在地球上的位置和方向。
中国国家坐标系/地心坐标系: 2000国家大地坐标系/CGCS2000
- 2000国家大地坐标系,是中国当前最新的国家大地坐标系
英文名名称:
China Geodetic Coordinate System 2000
英文缩写: CGCS 2000
- 2000国家大地坐标系的原点为包括海洋和大气的整个地球的质量中心
发展历程与提出背景
-
国家大地坐标系是测制国家基本比例尺地图的基础。根据《中华人民共和国测绘法》规定,中国建立全国统一的大地坐标系统。
-
发展历程 & 提出背景
- 建国以来,中国于上世纪50年代和80年代分别建立了1954年北京坐标系和1980西安坐标系。
测制了各种比例尺地形图,在国民经济、社会发展和科学研究中发挥了重要作用,
但限于当时的技术条件,中国大地坐标系基本上是依赖于传统技术手段实现的。
- 1954北京坐标系。
54坐标系采用的是克拉索夫斯基椭球体,该椭球在计算和定位的过程中,没有采用中国的数据,该系统在中国范围内符合得不好,
不能满足高精度定位以及地球科学、空间科学和战略武器发展的需要。
- 1980西安坐标系
上世纪70年代,中国大地测量工作者经过二十多年的艰巨努力,终于完成了全国一、二等天文大地网的布测,
经过整体平差,采用1975年IUGG第十六届大会推荐的参考椭球参数,中国建立了1980西安坐标系,1980西安坐标系在中国经济建设、国防建设和科学研究中发挥了巨大作用。
- 地心坐标系
随着社会的进步,国民经济建设、国防建设和社会发展、科学研究等对国家大地坐标系提出了新的要求,迫切需要采用原点位于地球质量中心的坐标系统(以下简称地心坐标系)作为国家大地坐标系。
采用地心坐标系,有利于采用现代空间技术对坐标系进行维护和快速更新,测定高精度大地控制点三维坐标,并提高测图工作效率。
- 2000国家大地坐标系。
2008年3月,由国土资源部正式上报国务院《关于中国采用2000国家大地坐标系的请示》,并于2008年4月获得国务院批准。
自2008年7月1日起,中国将全面启用【2000国家大地坐标系】,国家测绘局授权组织实施
参考框架 : ITRF 97 , 历元 = 2000.0
- CGCS 2000 系统以
ITRF 97参考框架为基准, 参考框架历元为 2000.0
我国为什么还基于ITRF97来建立CGCS 2000坐标系,直接使用ITRF不行么?
-
CGCS2000 是对准到了ITRF1997 的2000.0 历元。也就是说,ITRF1997 框架的坐标归算到2000.0历元下可以直接当做 CGCS2000的坐标。
-
坐标系是铁路、大坝、桥梁等基础工程必不可少的基础设施。
获取坐标系下坐标的方式是相对测量的方法,即利用坐标系已知点和到已知点的相对关系(距离方位)来计算。所以必须有大量的已知点。
这些点用于维持CGCS2000 坐标系。
ITRF全球有几百个点,在国内只有北京房山,武汉,上海,昆明,乌鲁木齐,西安。
利用GPS进行相对测量,几千公里的基线长度,呵呵呵呵 -
接着2说,所以要建立更多的基准点,并得到这些点的坐标。
那么这些点用什么坐标系呢?当然是往ITRF上靠拢啊。
所以,CGCS2000 可以认为是ITRF1997在中国的扩展。 -
中国还有不知道多少万个北京54 和西安80以及其他五花八门的坐标系基准点。
按照要求,这些点需要转换到新的CGCS2000坐标下。
这个任务量,我这么说吧,2008年中国启用CGCS2000坐标,到这么多年过去了,还有很多地方没有用起来。
各地各部门各单位的各种坐标系多如牛毛,各地相关部门技术人员水平参差不齐。
推广新的坐标系谈何容易。 -
2000年中国建立起新的地心坐标系到现在ITRF相继出了ITRF2000, ITRF2005, ITRF2008, ITRF2014。
说真的,我早就觉得CGCS2000坐标系已经过时了。
现在实时PPP通过IGS的实时服务已经可以直接实时获取ITRF下的坐标。
然而,坐标系建设不仅要考虑技术手段能否实现,更重要的是要为全国的经济建设服务。
基本参数
- 2000国家大地坐标系是全球地心坐标系在中国的具体体现,其原点为包括海洋和大气的整个地球的质量中心。

- Z轴指向BIH1984.0定义的协议极地方向(BIH国际时间局)
【Z轴】由原点指向历元2000.0的地球参考极的方向
该历元的指向由国际时间局给定的历元为1984.0的初始指向推算,
定向的时间演化保证相对于地壳不产生残余的全球旋转
- 【X轴】指向BIH1984.0定义的零子午面与协议赤道的交点
- 【X轴】由原点指向格林尼治参考子午线与地球赤道面(历元2000.0)的交点
- 【Y轴】按右手坐标系确定
- 【Y轴】与Z轴、X轴构成右手正交坐标系。
- 采用广义相对论意义下的尺度。
- 2000国家大地坐标系采用的地球椭球参数如下:
- 长半轴 a=6378137m
- 扁率 f=1/298.257222101
- 地心引力常数 GM=3.986004418×1014m3s-2
- 自转角速度 ω=7.292115×10-5rad s-1
- 短半轴b=6356752.31414m
- 极曲率半径=6399593.62586m
- 第一偏心率e=0.0818191910428

配套工作
- 根据国家测绘局的要求,建立、使用和转换2000国家大地坐标系成果,河北省正在进行2000国家大地坐标系省级控制点的解算工作,不久将可提供使用。
- 在新布设的控制网中,如河北省承德县高等级GPS控制网将计算2000国家大地坐标系成果。
- 对于其它现有各测区坐标系统和地理信息系统,总工办将根据具体情况协助进行坐标系转换、衔接的过渡工作。
CGCS2000 与 WGS84 坐标系的区别
- CGCS2000 的定义与WGS84 实质一样。
- 原点、尺度、定向均相同,都属于地心地固坐标系。
- 采用的参考椭球非常接近。
- 扁率差异引起椭球面上的纬度和高度变化最大达0.1mm。
- 当前测量精度范围内,可以忽略这点差异。
- 可以说两者相容至cm级水平。
- 均基于ITRF参考框架 / 静态瞬时坐标 vs 动态更新坐标
- CGCS2000坐标是ITRF参考框架,
2000.0历元的瞬时坐标;- 而WGS84坐标是观测历元的动态坐标
- 两者都基于
ITRF框架,可通过历元、框架转换进行换算。- 同样的点位及观测精度,
GNSS接收机获取的WGS84坐标、及CGCS2000坐标并不是只有厘米级的差异,而是因框架、历元差异产生的分米级的坐标差。- 历元归算到 2000.0 的WGS坐标,可以作为 CGCS2000 坐标使用。
- WGS84坐标系由26个全球分布的监测站坐标来实现,不同版本的WGS84对应相应的ITRF版本和参考历元。
CGCS2000 与 Beijing54、Xian80 坐标系 区别
- CGCS2000和1954或1980坐标系,在定义和实现上有根本区别。
- 54系和80系都属于参心坐标系,局部坐标和地心坐标之间的变换是不可避免的。
- 坐标变换通过联合平差来实现。
- 当采用模型变换时,变换模型的选择应依据精度要求而定。
北斗坐标系/BDCS坐标系
- 北斗坐标系是北斗卫星导航系统的大地基准。
英文名称是 BeiDou Coordinate System,缩写 BDCS。
-
北斗坐标系通过参考历元的地面监测站坐标和速度实现(参考框架),并不定期更新。
-
北斗坐标系的【首次实现】:由北斗系统的8个监测站在历元
2010.0的ITRF2014框架下的坐标和速度体现。
北斗坐标系的首次实现,这次实现由北斗系统的8个监测站在历元2010.0的ITRF2014框架下的坐标和速度体现,它们是通过处理一个包括8个监测站的全球GNSS网4期GPS数据、框架对准与监测站坐标序列的线性回归拟合得到
坐标系原点、尺度与定向、参考椭球
-
原点:包括海洋和大气的整个地球的质量中心。
-
尺度:长度单位是m(SI)。
-
定向:在1984.0时初始定向与BIH的定向一致。
-
北斗坐标系为一右手直角坐标系。原点为地球质量中心,Z轴指向
IERS参考极方向,X轴为IERS参考子午面与通过原点且同Z轴正交的赤道面的交线,Y轴完成右手直角坐标系。 -
北斗坐标系采用 CGCS2000 参考椭球(坐标系的定义和参考框架的实现都与椭球无关),参考椭球的几何中心与坐标系的原点重合,旋转轴与坐标系的Z轴一致。
北斗卫星导航系统为什么不采用CGCS2000坐标系?
- 各国实践、参考框架点的个数。
目前,各国的卫星导航坐标系与国家大地坐标系都不是同一坐标系,两种坐标系参考框架点的个数不同————BDCS只有几个,CGCS2000有上千个。
- 更新周期。
BDCS 更新周期短,一般只有几年,而作为国家大地坐标系,更新周期一般要几十年;
- 卫星导航系统使用单独的坐标系,也更利于更新和维护。
北斗坐标系与CGCS2000国家大地坐标系的区别
-
两种坐标系定义相同,椭球相同,均为CGCS2000 参考椭球。
-
北斗坐标系框架点只有8个,而CGCS2000通过国家GPS大地控制网2500个框架点实现。
-
两者框架、历元不同:
CGCS2000坐标系对准ITRF97框架,历元为2000.0- 而北斗坐标系首次对准的是ITRF2014框架,历元为2010.0
- 两者由于具体实现不同,精度也有差异,另外两者更新周期也不一样。
北斗时间系统
- BDT 起始时间为2006年1月1日协调世界时(UTC)00时00分00秒,该时刻为BDT的原点;
此刻国际规定DTAI=TAI-UTC=33s;
BDT是(地方)原子时,不做闺秒调整,任何时候都在整数秒上与TAI(国际原子时)相差33s。
北斗坐标的获取
参见:
- GPS/北斗模块基本上都是通过串口发送数据的,并且发送数据的频率是1Hz,发送的数据内容可以去搜索“GPS数据格式”,反正这个模块发回来的数据很多,其中经纬度数据是包含在这些数据里面的。
- 并且模块发回来的全部都是字符串,因此从GPS/北斗模块获取经纬度,实际上就是一个字符串解析的过程。
比如:$GNRMC,143147.000,A,3413.64266,N,10851.97266,E,000.8,296.4,170821,,,A*7C
这一帧数据里面就包含了经纬度,但数据格式是ddmm.mmmmm格式,比如这帧数据里面,“3413.64266”这个数是34度加13.64266分,分到度是60进制。
因此,要把分转换成度,需要把分除以60,意思是13.64266分等于13.64266 / 60 = 0.227378度,那么: 3413.64266这个数就是34.227378度。
同理,经度也是一样。
- GPS北斗芯片(模块)通用输出的数据格式
一般GPS北斗芯片(模块)是通过UART接口发送数据给2G/4G/5G模块,按照 NMEA0183 的协议格式输出。
举例如下:
$GNRMC,111827.000,A,3120.488899,N,12129.856372,E,0.006,104.58,300620,,E,A*08
$GNVTG,104.58,T,,M,0.006,N,0.011,K,A*2D
$GNGGA,111827.000,3120.488899,N,12129.856372,E,1,17,0.78,77.297,M,0,M,,*6D
$GPGSA,A,3,02,05,13,15,18,29,30,,,,,,1.47,0.78,1.24*08
$BDGSA,A,3,01,02,03,04,06,08,09,11,12,13,,,1.47,0.78,1.24*1B
$GPGSV,2,1,08,02,35,141,44,05,45,056,46,13,76,035,48,15,65,254,48*76
$GPGSV,2,2,08,18,24,318,41,24,11,185,15,29,39,253,44,30,20,056,38*73
$BDGSV,3,1,10,01,45,141,41,02,37,237,35,03,52,201,41,04,34,123,38*66
$BDGSV,3,2,10,06,70,226,43,08,78,091,43,09,41,221,38,11,19,317,36*6E
$BDGSV,3,3,10,12,54,262,43,13,69,331,44*66
$GNGLL,3120.488899,N,12129.856372,E,111827.000,A,A*43
其中RMC,GGA、GLL等包都包含纬度和经度。

北斗芯片NMEA格式输出的WGS84坐标实例数据
北斗坐标的应用与转换
参见:
- 如果想要将北斗定位系统的坐标数据,用于商业地图(基于WGS84 + GCJ02加密偏移后的 高德地图、百度地图、腾讯地图等)上,则:需要将它经过对应的加密转换处理才能够正确的使用。
小结
椭球体参数

坐标系的核心参数比较


坐标系间的转换
椭球体与大地基准面

每个国家或地区均有各自的大地基准面。
相对同一地理位置,不同的大地基准面,它们的经纬度坐标是有差异的。
椭球体与大地基准面之间的关系是一对多的关系。
因为基准面是在椭球体的基础上建立的,但椭球体不能代表基准面,同样的椭球体能定义不同的基准面。
大地基准面的定义 :向WGS84 的 转换7参数
在目前的GIS商用软件中,大地基准面都通过当地基准面向WGS84的转换7参数来定义,即:
- 3个平移参数: ΔX、ΔY、ΔZ表示两坐标原点的平移值
- 3个旋转参数: εx、εy、εz表示当地坐标系旋转至与地心坐标系平行时,分别绕Xt、Yt、Zt的旋转角
- 比例校正因子: 用于调整椭球大小
Beijing54、Xian80相对WGS84的转换参数至今也没有公开,实际工作中可利用工作区内已知的北京54或西安80坐标控制点进行与WGS84坐标值的转换,
在只有一个已知控制点的情况下(往往如此),用已知点的北京54与WGS84坐标之差作为平移参数,
当工作区范围不大时,如青岛市(10654平方公里),精度也足够了。
from : 地理坐标系、大地坐标系与地图投影与重投影详解 - Weixin/贵州神马勘测设计有限责任公司
WGS-84与北京-54、西安-80及地方坐标系坐标的转换

【GPS/WGS84 坐标】 转 【经纬度坐标】
from : GPS转经纬度坐标 - 百度文库
-
要将GPS坐标转换为经纬度坐标,我们需要通过特定的数学算法来进行计算。
-
一种常用的算法是:
- 首先,将GPS坐标转换为大地坐标(空间直角坐标),
- 然后,再将大地坐标转换为经纬度坐标。
- 步骤1:将GPS坐标转换为大地坐标/空间直角坐标
- 大地坐标(也称为空间直角坐标)是一种在三维空间中表示地点的坐标系。
- 它由X、Y和Z三个坐标轴组成,每个轴上的值代表了地点的相对位置。
- 对于一个GPS坐标(X,Y,Z),我们可以使用下面的公式将其转换为大地坐标(X0,Y0,Z0):
X0 = (X * cosB * cosL) + (Y * cosB * sinL) + (Z * sinB)
Y0 = (-X * sinL) + (Y * cosL)
Z0 = (-X * sinB * cosL) + (-Y * sinB * sinL) + (Z * cosB)
其中,
B表示纬度,L表示经度。cos和sin表示余弦和正弦函数。
- 步骤2:将大地坐标(空间直角坐标)转换为经纬度坐标
- 大地坐标转换为经纬度坐标需要使用逆向的计算方法。
- 我们可以使用以下公式将大地坐标(X0,Y0,Z0)转换为经纬度坐标(B0,L0):
B0 = atan2(Z0, √(X0^2 + Y0^2))
L0 = atan2(Y0, X0)
其中,atan2是反正切函数。
最终得到的(B0,L0)即为经纬度坐标。
- 应用案例
假设我们有一个GPS坐标(X=1234567,Y=2345678,Z=3456789),我们想要将其转换为经纬度坐标。
首先,我们将GPS坐标转换为大地坐标。根据公式:
X0 = (1234567 * cosB * cosL) + (2345678 * cosB * sinL) + (3456789 * sinB)
Y0 = (-1234567 * sinL) + (2345678 * cosL)
Z0 = (-1234567 * sinB * cosL) + (-2345678 * sinB * sinL) + (3456789 * cosB)
其中,B和L是我们需要求解的未知数。
接下来,我们可以使用逆向计算方法将大地坐标转换为经纬度坐标。根据公式:
B0 = atan2(3456789, √((1234567^2) + (2345678^2)))
L0 = atan2(2345678, 1234567)
通过计算,我们可以得到(B0,L0)为(42.12345°,-78.23456°)。这就是将GPS坐标转换为经纬度坐标的结果。
我国常用的地图投影方式
- 我国基本比例尺地形图(1:100万、1:50万、1:25万、1:10万、1:5万、1:2.5万、1:1万、1:5000)除1:100万以外均采用高斯-克吕格Gauss-Kruger投影(横轴等角切圆柱投影,又叫横轴墨卡托Transverse Mercator投影)为地理基础。
- 1:100万地形图采用兰伯特Lambert投影(正轴等角割圆锥投影),其分幅原则与国际地理学会规定的全球统一使用的国际百万分之一地图投影保持一致。
- 海上小于50万的地形图多用墨卡托Mercator投影(正轴等角圆柱投影)。
- 我国大部份省区图以及大多数这一比例尺的地图也多采用Lambert投影和属于同一投影系统的Albers投影(正轴等积割圆锥投影)。

加密坐标
GCJ-02 / 国测局加密坐标 := 火星坐标系 := 加密偏移的 WGS 84 坐标
-
GCJ-02是由中国国家测绘局(G表示Guojia国家,C表示Cehui测绘,J表示Ju局)制订的地理信息系统的坐标系统。 -
它是一种对经纬度数据的加密算法,即加入随机的偏差。
-
国内出版的各种地图系统(包括电子形式),必须至少采用
GCJ-02对地理位置进行首次加密。 -
中国采用的加密坐标系,也称为火星坐标系,对
WGS 84坐标进行加密偏移。 -
GCJ-02 是 " 中国国家测绘局加密坐标 " , 又称为 火星坐标系 , 由 中国国家测绘局 制定的 地理坐标系统 , 在中国境内进行定位 和 地图制作 , 必须使用 该坐标 ;
-
在中国境内 , 手机获取的 GPS 坐标 , 是
WGS 84坐标 , 这是准确的坐标 , 但是如果想要显示在地图上的正确位置 , 需要 加入非线性随机偏差 , 效果如下 :

上述 偏移后的坐标 , 距离原坐标点有 几百米 误差 ;
由于 偏移 是 非线性随机 的 , 因此想要根据 火星坐标 倒推出 真实坐标 是无法实现的 ;
手机上获取的
WGS 84坐标是准确的坐标 , 但是将该坐标 放到 地图上 , 就有很大的偏移 ;
手机的坐标是准确坐标 , 地图上的坐标是经过偏移后的坐标 , 要想将手机的坐标准确的显示到地图上 , 需要将 手机的
WGS 84准确坐标转为GCJ-02国测局加密坐标 , 才能准确的显示到地图上 ;
上述 将
WGS 84坐标 转为GCJ-02国测局加密坐标 需要通过 高德地图 / 百度地图 / 腾讯地图 的API完成
-
腾讯坐标、高德坐标、百度坐标
微信小程序、支付宝小程序,默认是使用GCJ02加密后的腾讯坐标、高德坐标。前端页面及app是使用百度地图的api,默认是使用 GCJ02加密后的 BD09 坐标 -
参考文献
BD-09(百度坐标) : 基于 GCJ02 加密
- BD09(Baidu Coordinate System)是百度地图使用的一种坐标系。
它基于GCJ02坐标系进行了加密偏移,提供了更好的数据保护性能,适用于百度地图定位和导航服务。BD09通常用于中国境内各种位置服务应用。
高德坐标 : 基于 GCJ02 加密
- 高德开放平台服务用的是国测局规定的
GCJ-02坐标系。为国内的标准坐标体系。 - 区别于GPS坐标(
WGS-84坐标系),是在其基础上进行了加密。
from : 高德开放平台服务使用什么坐标体系? - 高德开放平台
腾讯坐标 : 基于 GCJ02 加密
- 腾讯地图的数据也是GCJ-02火星坐标系进行加密出来的。
- 腾讯地图坐标是使用GCJ-02坐标(投影坐标系),也称为火星坐标。
火星坐标是国家测绘局为了国家安全在原始坐标的基础上进行偏移得到的坐标,基本国内的电子地图、导航设备都是采用的这一坐标系或在这一坐标的基础上进行二次加密得到的。
腾讯地图坐标的 SuperMap iDesktopX 产品提供的插件“电子地图坐标转换”可以实现火星、百度坐标与常规坐标系之间的转换,详细使用可以参考技术博客:https://blog.csdn.net/supermapsupport/article/details/124400580
from : 腾讯坐标系转换问题 - supermap
Kartverket GK
- Kartverket GK(挪威国家地理信息系统): 挪威采用的加密坐标系,对WGS 84坐标进行加密和转换。
SWEREF 99 TM(瑞典坐标)
- SWEREF 99 TM(瑞典坐标): 瑞典采用的加密坐标系,用于地图制作和位置定位,对WGS 84坐标进行加密和转换。
全球卫星定定位导航系统/GNSS
GPS卫星导航系统 : 基于 WGS-84 坐标系
简介
GPS卫星导航系统(Global Positioning System)
- 是美国研制发射的一种以人造地球卫星为基础的高精度无线电导航的定位系统。
- 采用的是
WGS-84(World Geodetic System 1984)大地坐标系。这是一种地心坐标系,以地球的质量中心为参考点,用于定义地球表面的位置和方向。
- GPS卫星导航系统通过接收卫星发射的信号,计算出接收器与卫星之间的距离,从而确定接收器的位置;
- 而
WGS-84坐标系提供了精确的地球形状和重力场模型,使得GPS导航系统能够更准确地计算位置和方向。
- 特点与应用行业:军事、汽车、航空、物流等
- 全球定位系统(GPS)在全球任何地方以及近地空间都能够提供准确的地理位置、车行速度及精确的时间信息。
- GPS自问世以来,就以其高精度、全天候、全球覆盖、方便灵活吸引了众多用户。
- GPS不仅是汽车的守护神,同时也是物流行业管理的智多星。
- 随着物流业的快速发展,GPS有着举足轻重的作用,成为继汽车市场后的第二大主要消费群体。
- 研制背景与研制时长
- GPS是美国从20世纪70年代开始研制,历时20年,耗资200亿美元,于1994年全面建成,具有在海、陆、空进行全方位实时三维导航与定位功能的新一代卫星导航与定位系统
20世纪70年代,美国国防部为了给陆、海、空三大领域提供实时、全天候和全球性的导航服务,
并进行情报收集、核爆监测和应急通讯等一些军事目的,
开始研制“导航卫星定时和测距全球定位系统”,简称全球定位系统。
1973年,美国国防部开始设计、试验
2007年美军决定对GPS进行有史以来最大规模的升级。
升级后的美军第三代全球定位系统传输量是现行的500倍,而抗干扰能力将翻番。
军事观察家认为,此举将引爆新一轮的GPS全面竞争
- 卫星支持情况
- 美国的
GPS包括绕地球运行的24颗卫星,它们均匀地分布在6个轨道上。- 每颗卫星距地面约1.7万千米。
定位原理
差分定位
- GPS定位包括:伪距单点定位、载波相位定位和实时差分定位
1.伪距测量及伪距单点定位
- 伪距测量,就是测定卫星到接收机的距离。
- 即由卫星发射的测距码信号到达GPS接收机的传播时间乘以光速所得的距离。
- 伪距法单点定位,就是利用GPS接收机在某一时刻测定与4颗以上GPS卫星的伪距,及从卫星导航电文中获得的卫星瞬时坐标
- 采用距离交会法求出天线在
WGS-84坐标系中的三维坐标
- 载波相位测量及载波相位定位
- 载波相位测量,是测定GPS卫星载波信号到接收机天线之间的相位延迟。
- GPS卫星载波上调制了测距码和导航电文,接收机接收到卫星信号后,先将载波上的测距码和卫星电文去掉,重新获得载波,称为重建载波。
- GPS接收机将卫星重建载波与接收机内由振荡器产生的本振信号通过相位计比相,即可得到相位差
- 实时差分定位
- GPS实时差分定位的原理,是在已有的精确地心坐标点上安放GPS接收机(称为基准站),
- 利用已知的地心坐标和星历计算GPS观测值的校正值,
- 并通过无线电通信设备(称为数据链)将校正值发送给运动中的GPS接收机(称为流动站)。
- 流动站利用校正值对自己的GPS观测值进行修正,以消除上述误差,从而提高实时定位精度。
- GPS动态差分方法有多种,主要有位置差分、伪距差分(RTD)、载波相位实时差分(RTK)和广域差分等。
北斗卫星导航系统 : 基于 北斗坐标系
- 官网
数字网格码
北斗网格位置码 := 北斗导航网格码
参见:
- 北斗网格位置码/GB/T 39409-2020 【强烈推荐】
- 北斗二维网格编码 - SuperMap
- 北斗三维网格编码 - SuperMap 【强烈推荐】
对数据集进行北斗三维网格编码,北斗三维网格位置码由北斗二维网格位置码+高度域网格编码组成。详细剖分及编码方法可参考《北斗网格位置码_GB_T 39409-2020》。
简介
-
《北斗网格位置码》(GB/T 39409-2020)是2021年6月1日实施的一项中华人民共和国国家标准,归口于全国北斗卫星导航标准化技术委员会。
-
《北斗网格位置码》(GB/T 39409-2020)规定了北斗网格位置码的网格选择和编码规则。该标准适用于北斗卫星导航系统终端位置输出信息的设计与应用,以及空间位置信息标识、传输及大数据处理。
- 归口单位 全国北斗卫星导航标准化技术委员会
- 执行单位 全国北斗卫星导航标准化技术委员会
- 主管部门 中国人民解放军总装备部
- 性 质 推荐性国家标准
- 发布日期 2020-11-19
- 实施日期 2021-06-01
- 主要起草单位: 北京大学、北京旋极伏羲大数据技术有限公司
- 主要起草人: 程承旗、童晓冲、陈波、黄乔华、周翔、濮国梁
- 北斗网格位置码
- BeidouGrid Code,简称BGC,又称北斗网格位置码,有时也称北斗导航网格码
- 是国家北斗系统组织研发的全球区域位置标识编码。
- 北斗网格码和经纬度码的区别是经纬度码用一对坐标代表一个点的位置,北斗网格码用一个整形数代表一个区域位置。
北斗网格码的地球剖分模型 := 基于 GeoSOT 地球空间剖分模型 的 32级的网格划分体系
- 北斗网格码的地球剖分模型是什么样呢?
- 它是采用GeoSOT地球空间剖分模型,上至地球外围6万多公里空间,下至地心,将整个地球空间剖分成数以兆亿个大到全球空间,小到厘米级网格体,由32级剖分体元组成的地球空间剖分模型。
- 当高度为零时,这套模型就是地球表面的网格。

图2 民航空域资源精细化管理体系架构
from : 基于北斗网格码的空域资源精细化管理体系.中国民航科学技术研究院
- 每一个网格以及网络体,充满整个空间,北斗网格码的编制就是在这样一个32级的网格划分体系下,采用的其中第一级是1:100万的图幅划分,在这个图幅下我们形成了一个9级的网格剖分数以及网格的编码,编码结果就是这一串码,第一级是N32G,1:100万地图分幅网格编码,15位数代表了地球上的某一个一米见方的网格。

-
19位数就代表了一个1.5厘米的网格,这个网格都是地球上的客观存在的,它是一个区域位置的坐标,同时我们现在设计了空、天、地、地下、水下三维立体空间的导航定位,表示地球空间的网格体,这个网格体小到1点几厘米,大到整个地球。
-
同时这套网格码以精确、简易的字符形成它的简码,来用于人和人,以及任何计算机之间的通信。我们看到的第一行是北京大学遥感楼的北斗网格码,最下面一行可以简化成北京大学3447,这样的话大家都能记的住,且这是个米级精度。




北斗网格码的基本特点
-
北斗网格码的基本特点就是多尺度性、计算性、立体性和包容性
-
多尺度性
最小到厘米。
- 计算性
这串编码是一个整形的二进制编码,所以可以用二进制位运算进行计算,可以实现空间信息组织、存储、传输、分发、服务等应用的高效“编码化操作”,计算速度是传统经纬度的10到100倍。
- 立体性
它包含了地球参考椭球面-6356公里以及+64422公里的地球空间范围,涵盖了地球全域空间。
所谓全域是指我们主要的地球人类的活动,都在四万公里以内,当然深空探测和月球火星,假设还需要的话,就有专门的北斗码去对应。
- 包容性
包容性很重要,是以我国测绘图幅、气象图幅、海图、空图图幅以及世界各国的主要规格地理产品衔接,具有一致性关系,可以方便地绘制地图,通过一个网格就可以报出他的区域了。
-
北斗网格码采用了地球经纬度的64进制拓展的2的N次方剖分模型,把整分整度整秒的网格都作为他的子级,而所有的图幅绝大部分都采用的是整度、整分、整秒,所以它的天然剖分关系比较好。
-
它的作用不是替代经纬度,而是作为经纬度的有效补充,重点解决空间大数据时代,数据的区位标识、共享交换、高效计算的问题,有人形象地比喻北斗网格码是空间大数据的集装箱。

制订背景
-
北斗网格码,是在全球剖分网格基础上发展出的一种多尺度、离散、适用于导航定位服务的全球地理网格编码模型。
-
该网格编码模型提出了一套对全球空间区域位置信息的统一标识和表达方法。
-
既能标识位置,又能标识区域,并且更加符合人的使用习惯与特点,从而能圆满解决经纬度体制难以解决的,对海量空间信息在标识和表达上的唯一性、可读性、多尺度、层次关联、无缝无叠以及对对象内部信息的表达等难题。
-
北斗网格码整形数的编码设计,能够大大简化对区位信息的标识、表达和计算的复杂度,在信息计算速度、信息索引效率、信息交换与整合、以及导航定位能力的扩展与增强等方面具有独特的优势。
-
更重要的是,它不仅能有效弥补传统经纬度技术体制下的不足和短板,而且能与经纬度完美兼容,是对经纬度技术体制的极好完善和补充;
-
不仅能有效解决海量、多源、异构空间信息的组织问题,而且可以非常方便地同现有各种技术体制下的信息系统实现转换,从而为实现跨行业、跨部门信息共享及高效服务这一困扰信息化建设多年的难题提供了一套理想的解决方案。
北斗网格码 vs 北斗坐标码(北斗经纬度坐标)
-
北斗网格码,采用了经纬度坐标系和网格划分技术,将地球表面划分成若干个区域,并为每个区域分配一个唯一的编码。
-
北斗网格码的编码方式主要采用了向量等分算法和泰森多边形剖分算法,可以实现空间数据的高效存储和查询。
-
坐标码,采用一种结构化的编码方式,通过对经纬度坐标进行编码,将每个位置点映射到一个唯一的编码上。
与北斗网格码不同,坐标码的编码方式更加精细和灵活,能够实现更加精确的定位和空间数据处理。
因此,虽然北斗网格码和坐标码都是用于表示地球上某个位置点的编码方式,但它们的编码原理和应用场景有所不同,需要根据具体需求进行选择和使用。
转北斗网格码
public static string GetNewBDBM(double B, double L, int Level)
{
List<string> code = new List<string>();
double pre_a = 0; //上一级行号
double pre_b = 0; //上一级列号
double pre_Q = 0; //上一级确定角点纬度值
double pre_Y = 0; //上一级确定角点经度值
double pre_dB = 0; //上一级经差
double pre_dL = 0; //上一级纬差
//本级变量
double dB = 0, dL = 0;
int a = 0, b = 0;
double Q = 0, Y = 0;
//BL点 转为度
for (int i = 1; i <= Level; i++)
{
if (i == 1)
{ //第一层 1:100万
GetDetaB_detaL(i, ref dB, ref dL); //获取本级经纬差值
//
string bit_1 = "N"; //我国位于北半球=N, 南半球=S
if (B >= 0)
{ //B=y
bit_1 = "N";
}
else
{
bit_1 = "S";
}
//
a = getInt(Math.Floor(Math.Abs(B) / dB)) + 1; //商取整【B/4】+1
b = getInt(Math.Floor(L / dL)) + 31; //商取整【L/6】+31
//修正b值
b = Math.Abs(b);
if (b<0) b = 1;
if (b > 59) b = 60;
//修正a值
if (a > 22) a = 22;
//
string bit_23 = b.ToString().PadLeft(2, '0'); //补足2位01-60
string bit_4 = Get100W_WeiD_bit_1(Math.Abs(a).ToString());
//生成北斗码
code.Add(bit_1 + bit_23 + bit_4); //N45A
//==记录历史行列号和确定角点经纬度坐标值
pre_a = a;
pre_b = b;
pre_Q = 0; //全球赤道0度点
pre_Y = 0; //全球赤道0度点
pre_dB = dB;
pre_dL = dL;
//==
}
else if (i == 2)
{
GetDetaB_detaL(i, ref dB, ref dL); //获取本级经纬差值
//获取上一级网格层的确定角点经纬度坐标值
Q = pre_Q + (pre_b - 31) * pre_dL;
Y = pre_Y + (pre_a - 1) * pre_dB;
//获取此点在本级网格层的行列号
a = getInt((L - Q) / dL) + 1;
b = getInt((B - Y) / dB) + 1;
//生成北斗码
code.Add(fixRowColNum15(a - 1));
code.Add(fixRowColNum15(b - 1));
//==记录历史行列号和确定角点经纬度坐标值
pre_a = a;
pre_b = b;
pre_Q = Q; //全球赤道0度点
pre_Y = Y; //全球赤道0度点
pre_dB = dB;
pre_dL = dL;
//==
}
else if (i == 3)
{
GetDetaB_detaL(i, ref dB, ref dL); //获取本级经纬差值
//获取上一级网格层的确定角点经纬度坐标值
Q = pre_Q + (pre_a - 1) * pre_dL;
Y = pre_Y + (pre_b - 1) * pre_dB;
//获取此点在本级网格层的行列号
a = getInt((L - Q) / dL) + 1;
b = getInt((B - Y) / dB) + 1;
//生成北斗码 (Z序列)
//code.Add(fixRowColNum15(a - 1));
//code.Add(fixRowColNum15(b - 1));
code.Add(fixRowColZorder(a, b));
//==记录历史行列号和确定角点经纬度坐标值
pre_a = a;
pre_b = b;
pre_Q = Q; //全球赤道0度点
pre_Y = Y; //全球赤道0度点
pre_dB = dB;
pre_dL = dL;
//==
}
else if (i >= 4 && i <= 5)
{
GetDetaB_detaL(i, ref dB, ref dL); //获取本级经纬差值
//获取上一级网格层的确定角点经纬度坐标值
Q = pre_Q + (pre_a - 1) * pre_dL;
Y = pre_Y + (pre_b - 1) * pre_dB;
//获取此点在本级网格层的行列号
a = getInt((L - Q) / dL) + 1;
b = getInt((B - Y) / dB) + 1;
//生成北斗码
code.Add(fixRowColNum15(a - 1));
code.Add(fixRowColNum15(b - 1));
//==记录历史行列号和确定角点经纬度坐标值
pre_a = a;
pre_b = b;
pre_Q = Q; //全球赤道0度点
pre_Y = Y; //全球赤道0度点
pre_dB = dB;
pre_dL = dL;
//==
}
else if (i == 6)
{
GetDetaB_detaL(i, ref dB, ref dL); //获取本级经纬差值
//获取上一级网格层的确定角点经纬度坐标值
Q = pre_Q + (pre_a - 1) * pre_dL;
Y = pre_Y + (pre_b - 1) * pre_dB;
//获取此点在本级网格层的行列号
a = getInt((L - Q) / dL) + 1;
b = getInt((B - Y) / dB) + 1;
//生成北斗码 (Z序列)
//code.Add(fixRowColNum15(a - 1));
//code.Add(fixRowColNum15(b - 1));
code.Add(fixRowColZorder(a, b));
//==记录历史行列号和确定角点经纬度坐标值
pre_a = a;
pre_b = b;
pre_Q = Q; //全球赤道0度点
pre_Y = Y; //全球赤道0度点
pre_dB = dB;
pre_dL = dL;
//==
}
else if (i >= 7 && i <= 10)
{
GetDetaB_detaL(i, ref dB, ref dL); //获取本级经纬差值
//获取上一级网格层的确定角点经纬度坐标值
Q = pre_Q + (pre_a - 1) * pre_dL;
Y = pre_Y + (pre_b - 1) * pre_dB;
//获取此点在本级网格层的行列号
a = getInt((L - Q) / dL) + 1;
b = getInt((B - Y) / dB) + 1;
//生成北斗码
code.Add(fixRowColNum15(a - 1));
code.Add(fixRowColNum15(b - 1));
//==记录历史行列号和确定角点经纬度坐标值
pre_a = a;
pre_b = b;
pre_Q = Q; //全球赤道0度点
pre_Y = Y; //全球赤道0度点
pre_dB = dB;
pre_dL = dL;
//==
}
}
string buf = "";
for (int i = 0; i < code.Count; i++)
{
buf += code[i];
}
return buf;
}
GeoHash : 二维空间索引
- Geohash原理 - 腾讯云 【推荐】
GeoHash本质上是空间索引的一种方式,其基本原理是将地球理解为一个二维平面,将平面递归分解成更小的子块,每个子块在一定经纬度范围内拥有相同的编码。
以GeoHash方式建立空间索引,可以提高对空间poi数据进行经纬度检索的效率。
Y GIS资源与工具
- 经纬度定位查询/坐标拾取
- 高德 : https://lbs.amap.com/tools/picker
- 百度 :
- 地址转经纬度
- 经纬度转地址
- 坐标转换
GPS坐标 | 高德/腾讯/微信坐标 | 百度坐标
BD09 转 WGS84
BD09 转 GCJ02
GCJ02 转 WGS84
GCJ02 转 BD091:amap/tencent to bd09ll
2:gps to bd09ll
3:bd09ll to bd09mc
4:bd09mc to bd09ll
5:bd09ll to amap/tencent
6:bd09mc to amap/tencent
X 参考文献
- 经纬度 - 百度百科
- 全球定位系统/GPS - 百度百科 【推荐】
- 什么是西安80坐标系 - Zhihu 【推荐】
- 地图投影的基本理论 - 无忧文档
- 地理信息系统 - 百度百科
- 地理信息系统(复习)- CSDN 【推荐】
- 地理信息系统gis 第4章 GIS数据采集和数据处理 - 人人文库 【推荐】
- 干货分享 | 2000国家大地坐标系转换技术 - 搜狐/全国地研联 【推荐】
- 2000国家大地坐标系 - 百度百科
- 地球重力场模型在GPS高程测量中的应用 - 豆丁 【推荐】
GPS + 重力场模型 : EGM2008地球重力场模型
-
【GIS - 地理信息系统】WGS 84 坐标系和 GCJ-02 坐标加密偏移 ( 大地坐标系 和 加密坐标系 | WGS 84 坐标体系简介 | GCJ-02 坐标加密偏移 ) - 腾讯云
-
常用地理坐标系及转换 - Weixin 【推荐】
国家地理坐标系也基于当时的时代背景,也经历了一个发展演变的过程,从1954北京坐标系→西安80坐标系→2000国家大地坐标系。
这些坐标系的参数在ArcGIS中都可以查看到。
国家现在要求2018年7月1日起,我国自然资源系统一律采用2000国家大地坐标系,同时也公布了其他坐标系与2000国家大地坐标系转换的标准。
(1)、全国及省级范围的坐标转换选择二维七参数转换模型;
(2)、省级以下的坐标转换可选择三维四参数模型或平面四参数模型;
(3)、独立平面坐标系统可采用平面四参数模型或多项式回归模型。
- 关键词:北斗坐标系;北斗卫星导航系统;参考框架;监测站
- 北斗坐标系是北斗卫星导航系统的大地基准。
- 本文在扼要叙述背景情况之后,首先给出了北斗坐标系原点、尺度、定向的定义和参考椭球的定义和导出常数;
其次介绍北斗坐标系的首次实现,这次实现由北斗系统的8个监测站在历元2010.0的ITRF2014框架下的坐标和速度体现,它们是通过处理一个包括8个监测站的全球GNSS网4期GPS数据、框架对准与监测站坐标序列的线性回归拟合得到的;
最后就参考框架的更新周期、监测站境外布设和连续观测、精密星历的生成与发布,北斗坐标系的标准化问题进行了讨论,并提出一些建议。
- 北斗芯片输出的坐标是什么格式?北斗芯片位置坐标到百度地图定位的过程? - 搜狐/达盟科技 【推荐】
- 北斗/全球卫星导航系统(GNSS)接收机导航定位数据输出格式 - 北斗导航 【推荐】
- 关于发布北斗坐标系(BDCS)模板的公告 - 北斗导航 【推荐】
- 程承旗:GeoSOT地球空间参考网格及应用展望 - 北斗伏羲 【推荐】
- 北斗已发布国家标准及专项标准清单 - 北斗导航
- 北斗网格位置码/GB/T 39409-2020 【推荐】
- 北斗三维网格编码 - SuperMap 【推荐】
- 数字政通:开展北斗网格码应用研究,赋能精细化城市治理 - 东方财富网 【强烈推荐】
- 坐标系和投影的相关知识探讨 - jianshu 【推荐】
- GIS坐标系测绘原理:大地水准面/基准面/参考椭球体/EPSG/SRI/WKT - CSDN 【推荐】
- 空间大地直角坐标系其转换模型10419.ppt - 原创力 【推荐】
空间坐标系、大地直角坐标系、站心地平坐标系等的严格定义、转换方法
北斗网格码的应用、优点
- GPS与北斗卫星定位方程组解算 - Zhihu
- 北斗应用 - 北斗伏羲 【推荐】
- 基于北斗网格码的空域资源精细化管理体系.中国民航科学技术研究院 【推荐】
摘要:
伴随着航空事业的快速发展,空域需求日益增长,但当前空域资源紧张且利用效率低。
针对此问题,提出了基于北斗网格位置码的空域资源精细化管理体系。
在全球剖分网络框架的基础上,建立空域资源网格化管理体系,设计面向空域资源管理及应用的全球统一时空表达理论,
研究时空格网模型的计算与分析方法,以及空域资源网格化的应用方法,进而开展空域资源的高效灵巧管理、配置和智能应用,
服务于航路航线管理、飞行冲突探测、空域资源分配等。从供给侧角度,为空域资源的精细化管理和资源的优化配置提供可能。
GeoHash本质上是空间索引的一种方式,其基本原理是将地球理解为一个二维平面,将平面递归分解成更小的子块,每个子块在一定经纬度范围内拥有相同的编码。
以GeoHash方式建立空间索引,可以提高对空间poi数据进行经纬度检索的效率。
本文链接: https://www.cnblogs.com/johnnyzen
关于博文:评论和私信会在第一时间回复,或直接私信我。
版权声明:本博客所有文章除特别声明外,均采用 BY-NC-SA 许可协议。转载请注明出处!
日常交流:大数据与软件开发-QQ交流群: 774386015 【入群二维码】参见左下角。您的支持、鼓励是博主技术写作的重要动力!


浙公网安备 33010602011771号