One for All: Neural Joint Modeling of Entities and Events

摘要
先前的工作都是利用现有的命名实体识别工具进行entity mention的识别,之后再进行event detection
本文提出基于共享隐藏层表示的entity mentions, event triggers and arguments联合抽取模型
创新
创新点可能就是题目吧,One for All,用一个模型解决三个问题,具体做法如下:
Entity Mention Detection
使用序列标注方法解决
Event Detection
假定每个Trigger是单个单词,使用单词分类方法解决
Argument Role Prediction
根据每个Trigger,对所有的Entity Mention进行分类判断其类别
模型

Sentence Encoding
- 词嵌入
- 表示POS, chunk, and dependency information的0-1向量
Sentence Representation
将上一步获得的Sentence Encoding输入到双向RNN中,获得Sentence Representation作为EMD,ED,ARP任务的共享表示
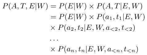
由于需要联合预测A,T,E,因此获得如下概率表达式

Entity Mention Detector

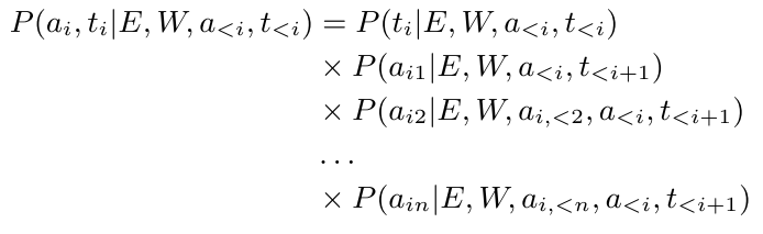
Trigger and Argument Prediction
首先预测Trigger,之后根据Trigger预测结果进行Argument预测

Argument预测的输入向量

Loss Function

实验

结论
一篇中规中矩的文章,值得学习的地方是联合概率的计算推导过程,现在可以用bert代替共享隐藏层

浙公网安备 33010602011771号