摘要:
## 定义 模拟电路:是指电路中存在着时间和数值均连续变化的信号,如正弦波、指数函数等。 数字电路:是指电路中存在着时间和数值上均是离散的信号,如脉冲信号等。 《数字逻辑》主要介绍: 数字逻辑电路分析的基本方法; 数字逻辑电路设计的基本原理和基本方法。 数字逻辑电路: 组合逻辑电路:逻辑电路任何时刻 阅读全文
posted @ 2023-08-20 14:21
jijfurhg
阅读(218)
评论(0)
推荐(0)
摘要:
默认配置: 皮肤:BlueSky ## 页面定制css代码 ``` :root { --accent-color: #696969; /* nice */ --primary-colour: #306797; /* */ --background-color: white; --background 阅读全文
posted @ 2023-08-20 14:00
jijfurhg
阅读(80)
评论(0)
推荐(0)
摘要:
## 题目 ### 实验目的 学会基本的查找算法,掌握二分查找、二分排序树等,学会将哈希表应用于快速查找、统计等。 ```cpp typedef struct BiTNode { ElemType data; struct BiTNode* lchild, * rchild; } BiTNode, 阅读全文
posted @ 2023-08-20 11:46
jijfurhg
阅读(37)
评论(0)
推荐(0)
摘要:
题目 实验目的: 掌握创建并使用图的两种存储方式:邻接矩阵、邻接表,掌握在这两种存储结构上图的基本操作(求点的入度、出度、找到某个点的邻接点等)。 掌握图的DFS与BFS代码实现。 掌握拓扑排序的代码实现。(课后) 掌握最短路径的代码实现。(课后) 参考代码(图的邻接矩阵存储结构): #define 阅读全文
posted @ 2023-08-20 11:21
jijfurhg
阅读(22)
评论(0)
推荐(0)
摘要:
## **题目** ### 目标: 掌握字符串的基本操作 熟悉如何利用map建立映射 ### 实验内容: **[必做]题目 1—字符串基本操作(课上完成)** 给 定一 串 身份 证 号码 , 请将 其 中的 年 月 日抽 取 出来 , 如对 于 身份 证 号码 字 符串 “330226196605 阅读全文
posted @ 2023-08-20 11:13
jijfurhg
阅读(11)
评论(0)
推荐(0)
摘要:
## **题目** ### 目标: 掌握字符串的基本操作 熟悉如何利用map建立映射 ### 实验内容: **[必做]题目 1—字符串基本操作(课上完成)** 给 定一 串 身份 证 号码 , 请将 其 中的 年 月 日抽 取 出来 , 如对 于 身份 证 号码 字 符串 “330226196605 阅读全文
posted @ 2023-08-20 10:53
jijfurhg
阅读(12)
评论(0)
推荐(0)
摘要:
## 题目 ### 目标: - 掌握栈和队列的基本存储结构 - 熟练掌握栈和队列的基本使用 - 熟悉栈和队列的一些典型应用 ### 任务: 1. 使用顺序存储结构来实现栈的基本操作(自行完成)。 PTA函数题:另类堆栈、在一个数组中实现两个堆栈(考研题) 2. 学会使用STL中的stack、queu 阅读全文
posted @ 2023-08-20 10:19
jijfurhg
阅读(23)
评论(0)
推荐(0)
摘要:
## 题目 用链表完成以下内容: (1)根据提示输入5个整数,依次输出这5个整数,并将其存入线性表R1中,输出线性表R1的长度; (2)根据提示删除线性表中的第3个元素,并将线性表中的元素依次输出,然后输出线性表R1的长度; (3)移除线性表中最大数,将线性表中的元素依次输出,然后输出线性表R1的长 阅读全文
posted @ 2023-08-20 09:32
jijfurhg
阅读(12)
评论(0)
推荐(0)
摘要:
## 题目 采用C/C++如何实现复数抽象数据类型Complex?提交源代码和报告,报告内描述算法流程(可以用伪代码、流程图或者自然语言描述)。请注意文件命名。 ## 过程 定义结构体 ``` typedef struct Complex { double e1; // 实部 double e2; 阅读全文
posted @ 2023-08-20 09:22
jijfurhg
阅读(293)
评论(0)
推荐(0)
摘要:
## 线性表/链表 - 将两个结点数都为N且都从小到大有序的单向链表合并成一个从小到大有序的单向链表,那么可能的最少比较次数是:N - 将线性表La和Lb头尾连接,要求时间复杂度为O(1),且占用辅助空间尽量小。应该使用哪种结构?(带尾指针的单循环链表) - 若某表最常用的操作是在最后一个结点之后插 阅读全文
posted @ 2023-08-20 00:58
jijfurhg
阅读(534)
评论(0)
推荐(0)
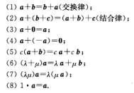
摘要:
# **第8章 空间解析几何与向量代数** ### **8.1 向量及其线性运算** #### 8.1.1 空间直角坐标系  定理8.1 > 设向量a $ \ne 阅读全文
posted @ 2023-08-20 00:22
jijfurhg
阅读(90)
评论(0)
推荐(0)

浙公网安备 33010602011771号