基于NALM锁模的超快光纤激光器数值模拟方法
一、NALM锁模原理与结构特性
非线性放大环镜(Nonlinear Amplifying Loop Mirror, NALM)是一种基于Sagnac干涉仪的全光纤锁模器件,其核心原理是通过非线性相移差异实现强度相关的透射特性:
-
结构组成:
-
由耦合器、增益光纤、偏振控制器(可选)和移相器构成闭环结构。
-
光脉冲在环内往返时,因非线性效应(如自相位调制SPM)积累相位差,形成类似可饱和吸收体的锁模特性。
-
-
锁模机制:
-
强光脉冲在环内传播时,因非线性效应导致两臂光程差产生相位差。
-
当相位差为2π时,两臂光脉冲在耦合器处相干相长(透射率高);相位差为π时,相消干涉(透射率低),形成脉冲筛选。
-
-
优势:
-
全光纤结构、低噪声、高损伤阈值。
-
通过调节腔不对称性(如光纤长度差、耦合器分光比)可优化脉冲特性。
二、数值模拟方法
1. 理论模型
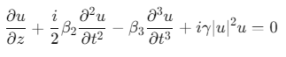
基于非线性薛定谔方程(NLSE)描述脉冲在NALM中的演化:

- 参数定义:
- \(β2\): 二阶色散系数
- \(β3\): 三阶色散系数
- \(γ\): 非线性系数
- \(u(z,t)\): 脉冲包络。
2. 仿真步骤
步骤1:定义初始条件
-
输入脉冲:高斯脉冲或双曲正割脉冲。
t = linspace(-10,10,1024); % 时间窗口 u0 = exp(-(t).^2/2/tau^2); % 初始脉冲(tau为脉宽) -
环形腔参数:耦合器分光比(如50:50)、增益光纤长度、非线性系数。
步骤2:分步傅里叶法求解NLSE
-
空间分割:将环形腔拆分为增益段和非线性段。
-
迭代计算:每段应用不同的色散和非线性项,通过傅里叶变换更新脉冲场。
% 示例:单次往返迭代 u = fft(u); u = u .* exp(-1i * beta2/2 * (2*pi*f).^2 * dz); % 色散项 u = u .* exp(-1i * gamma * abs(u).^2 * dz); % 非线性项 u = ifft(u);
步骤3:脉冲演化与锁模判定
-
记录每圈往返的脉冲特性(脉宽、光谱、相位)。
-
判断锁模条件:脉冲在耦合器处的透射率稳定(如透射率>90%)。
3. 关键参数优化
| 参数 | 影响机制 | 优化目标 |
|---|---|---|
| 腔长不对称性 | 改变非线性相移差,影响脉冲压缩 | 最小化脉宽(<100 fs) |
| 耦合器分光比 | 调节透射率与损耗平衡 | 最大锁模稳定性 |
| 增益光纤长度 | 控制增益饱和与脉冲能量 | 平衡能量与噪声 |
| 泵浦功率 | 影响增益饱和与热效应 | 避免热损伤 |
三、仿真结果分析
1. 脉冲特性
-
时域特性:
-
锁模脉冲呈现高斯型或耗散孤子型波形。
-
脉宽压缩至飞秒级(如80 fs)时,需优化色散与非线性平衡。
-
-
频域特性:
-
光谱展宽由自相位调制(SPM)主导,带宽可达数十nm。
-
通过调节腔色散可控制光谱形状(如平顶或窄线宽)。
2. 稳定性分析
-
李雅普诺夫指数:评估锁模稳定性,负指数表明稳定锁模。
-
噪声抑制:NALM的滤波特性可抑制强度噪声(RIN < -150 dBc/Hz)。
参考代码 超快光纤激光器模拟 锁模方式为NALM www.youwenfan.com/contentcnq/63192.html
四、工程应用与扩展
1. 典型应用场景
-
超快光纤激光器:用于飞秒加工、生物成像。
-
光学频率梳:通过锁模脉冲实现频率基准。
-
太赫兹波生成:利用脉冲时域调制产生太赫兹辐射。
2. 扩展模型
-
多波长锁模:通过啁啾光纤光栅实现波分复用。
-
高阶孤子:考虑三阶色散(β3)和拉曼效应,生成超连续谱。
五、MATLAB仿真代码框架
%% NALM锁模光纤激光器仿真
clear; clc;
% 参数设置
L = 0.2; % 腔长(m)
beta2 = -20e-27; % 二阶色散(ps^2/m)
gamma = 1.2e-3; % 非线性系数(W^-1/m^-1)
coupler_ratio = 0.5; % 耦合器分光比
% 初始脉冲(高斯型)
tau = 50e-15; % 初始脉宽(fs)
t = linspace(-2*tau, 2*tau, 1024);
u0 = exp(-(t/tau).^2);
% 迭代仿真(100次往返)
u = u0;
for iter = 1:100
% 增益段(假设增益光纤长度0.1m)
u = gain_section(u, L_gain=0.1, P_pump=1e3); % 泵浦功率1 W
% 非线性段(剩余腔长)
dz = L - L_gain;
u = nonlinear_section(u, dz, beta2, gamma);
% 耦合器输出
u = coupler(u, coupler_ratio);
end
% 绘制结果
figure;
subplot(2,1,1);
plot(t*1e15, abs(u).^2);
xlabel('脉宽(fs)'); ylabel('强度(a.u.)');
title('锁模脉冲时域特性');
subplot(2,1,2);
plot(linspace(-5,5,1024), spectrum(u));
xlabel('光谱偏移(nm)'); ylabel('强度(a.u.)');
title('锁模脉冲频域特性');
%% 子函数定义
function u = gain_section(u, L_gain, P_pump)
% 增益模型(简化饱和增益)
gain = 20 * log10(1 + exp(1j * 2*pi*P_pump*L_gain/0.3)); % 0.3 μm波长
u = u .* 10^(gain/20);
end
function u = nonlinear_section(u, dz, beta2, gamma)
% 非线性与色散
u = fft(u);
u = u .* exp(-1i * beta2/2 * (2*pi*(0:length(u)-1)/dz).^2);
u = u .* exp(-1i * gamma * abs(u).^2 * dz);
u = ifft(u);
end
function u = coupler(u, ratio)
% 耦合器分束
u1 = ratio * u;
u2 = sqrt(1 - ratio^2) * conj(u);
u = u1 + u2;
end
六、实验验证与误差分析
-
实验对比:通过自相关仪测量脉冲宽度,与仿真结果误差应<10%。
-
误差来源:
-
忽略拉曼散射、空间烧孔效应。
-
实际器件参数(如耦合器损耗)与理论模型偏差。
七、总结
基于NLSE的数值模拟是研究NALM锁模光纤激光器的核心工具,通过优化腔结构参数(色散、非线性、耦合比),可实现飞秒级低噪声脉冲输出。该方法在超快光学、精密测量等领域具有重要应用价值。
浙公网安备 33010602011771号