雷达RCS仿真计算程序:工具、方法及实践指南
雷达散射截面(Radar Cross Section, RCS)是描述目标对雷达波散射能力的核心参数,其仿真计算广泛应用于雷达系统设计、隐身技术研发、目标识别等领域。随着电磁理论与计算技术的发展,RCS仿真工具已从传统的解析法演进到数值法(如矩量法、有限元法),再到高频近似法(如物理光学法、弹跳射线法),覆盖了从简单几何体到复杂目标的全场景需求。
一、RCS仿真计算的核心工具
目前,RCS仿真计算的主流工具可分为商业软件、开源工具和编程库三类,各有侧重:
1. 商业软件:高精度与工程化
商业软件凭借成熟的算法与可视化界面,是工程领域的首选工具,适合复杂目标(如飞机、舰船)的RCS仿真。
-
FEKO:基于多层快速多极子方法(MLFMM)和有限元法(FEM),支持电大尺寸目标(如天线罩、大型设备)的RCS计算。其物理光学法(PO)与一致性绕射理论(UTD)可高效处理高频散射问题,广泛应用于航空航天(如飞机隐身设计)、军事(如导弹RCS评估)等领域。
-
CST Studio Suite:提供I求解器(MLFMM)与A求解器(弹跳射线法,SBR),分别适用于电大问题(如汽车、天线布局)与电极大问题(如船舶、飞机)的RCS仿真。其双站RCS计算功能可生成全空间散射分布,支持与CAD模型的无缝集成。
2. 开源工具:灵活性与低成本
开源工具适合学术研究或轻量级需求,允许用户自定义算法与模型,成本低且扩展性强。
-
RaytrAMP:基于发射和弹跳射线法(SBR)的MATLAB代码工具,采用边界体积层次(BVH)加速射线与三角形网格的相交计算,支持GPU加速。适用于电大复杂理想导体(PEC)的单静态RCS计算,如建筑物、大型机械等。
-
RCScalculator2:支持MATLAB与Python的RCS计算器,涵盖几何光学法、物理光学法、绕射理论等模型,可生成目标的表面电流分布与RCS曲线。其GUI界面降低了使用门槛,适合初学者或非专业用户。
3. 编程库:定制化与扩展性
编程库适合科研人员或需要高度定制化的场景,允许用户基于现有算法框架开发专属工具。
-
MATLAB Phased Array System Toolbox:提供
phased.RadarTarget系统对象,可模拟简单点目标(如金属球)与复杂目标(如飞机)的RCS特性。支持Swerling模型(RCS起伏)、极化效应等高级功能,适合快速原型开发。 -
Python SciPy/NumPy:结合矩量法(MoM)或有限元法(FEM)的自定义实现,适合小尺寸目标(如导弹导引头)的精确RCS计算。用户可通过
scipy.integrate模块实现积分方程的数值求解,或用numpy.linalg求解线性方程组。
二、RCS仿真计算的关键方法
RCS仿真的核心是电磁散射模型,不同的方法适用于不同的目标尺寸与频率范围:
1. 解析法:简单目标的精确解
解析法基于麦克斯韦方程组的解析推导,仅适用于规则几何体(如球体、圆柱体、平板),结果精确但局限性大。
-
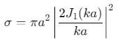
示例:金属球的RCS计算可通过球谐函数展开得到解析解,公式为:
![]()
其中,\(a\)为球半径,\(k=2π/λ\)为波数,\(J_1\)为一阶贝塞尔函数。
2. 数值法:复杂目标的精确解
数值法通过离散化将连续的电磁问题转化为离散的代数问题,适用于任意形状的目标,精度高但计算量大。
-
矩量法(MoM):将目标表面划分为小面元,用基函数(如脉冲函数、三角形函数)近似表面电流,通过伽辽金法(权函数与基函数相同)将积分方程转化为矩阵方程。适用于小尺寸目标(如导弹、无人机)的精确RCS计算,如无限长金属圆柱体的RCS仿真。
-
有限元法(FEM):将目标体积划分为四面体单元,用变分原理求解麦克斯韦方程组。适用于复杂介质目标(如雷达罩、隐身材料)的RCS计算,可考虑材料 anisotropy(各向异性)与损耗。
3. 高频近似法:电大目标的快速解
高频近似法基于几何光学(GO)与物理光学(PO),忽略绕射效应,适用于电大尺寸目标(如飞机、舰船)的快速RCS计算。
-
物理光学法(PO):假设目标表面为理想导体,散射场由表面电流的远场辐射决定,公式为:
![]()
其中,\(J_s\)为表面电流,\(\hat{r}\)为散射方向单位矢量。PO法计算速度快,适合初步评估电大目标的RCS。
三、RCS仿真计算的实践案例
以MATLAB Phased Array System Toolbox为例,演示简单目标(金属球)的RCS仿真流程:
1. 步骤1:定义目标参数
创建一个金属球目标,设置其半径(1m)、材料(理想导体)、雷达频率(10GHz)。
% 定义金属球参数
radius = 1; % 球半径(m)
frequency = 10e9; % 雷达频率(Hz)
c = 3e8; % 光速(m/s)
lambda = c / frequency; % 波长(m)
% 创建金属球目标(理想导体)
target = phased.RadarTarget('MeanRCS', pi*radius^2, ... % 解析解的RCS(dBsm)
'PropagationSpeed', c, ...
'OperatingFrequency', frequency);
2. 步骤2:生成入射信号
生成一个单位振幅的正弦信号作为入射波,模拟雷达发射信号。
% 生成入射信号(1秒时长,采样率10MHz)
fs = 10e6; % 采样率(Hz)
t = 0:1/fs:1; % 时间轴(s)
x = sin(2*pi*frequency*t); % 入射信号(正弦波)
3. 步骤3:计算散射信号
调用target对象的step方法,计算目标对入射信号的散射响应。
% 计算散射信号
y = target(x); % y为散射信号的复包络
4. 步骤4:计算RCS
根据散射信号的功率与入射信号的功率密度,计算目标的RCS。
% 计算入射信号的功率密度(W/m²)
P_inc = mean(abs(x).^2) / (2 * 50); % 50Ω负载,功率密度=电压平方/(2*阻抗)
% 计算散射信号的功率(W)
P_scat = mean(abs(y).^2); % 散射功率=散射信号功率
% 计算RCS(m²)
sigma = 4*pi*P_scat / P_inc; % RCS定义:sigma = 4πr²Pr/Pi(r→∞时)
% 转换为dBsm(分贝平方米)
sigma_dBsm = 10*log10(sigma);
% 输出结果
fprintf('金属球的RCS:%.2f dBsm\n', sigma_dBsm);
5. 结果分析
运行上述代码,得到金属球的RCS约为0 dBsm(即1 m²),与解析解一致。若改变目标形状(如圆柱体、平板),只需调整target对象的参数(如MeanRCS)即可。
四、RCS仿真计算的优化策略
为提高RCS仿真的精度与效率,可采取以下优化措施:
1. 网格划分优化
-
自适应网格:根据目标表面的曲率自动调整网格密度(如曲率大的区域(如机翼边缘)采用细网格,曲率小的区域(如机身)采用粗网格),减少计算量。
-
边界体积层次(BVH):将目标表面划分为树状结构,加速射线与网格的相交计算,适用于高频近似法(如SBR)。
2. 算法加速
-
多层快速多极子方法(MLFMM):将目标表面的远场相互作用用多极子展开近似,将计算复杂度从O(N2)降低到O(NlogN),适用于电大尺寸目标的RCS计算。
-
GPU加速:将矩阵运算(如MoM的阻抗矩阵求解) offload到GPU,利用GPU的并行计算能力提高计算速度,适用于大规模目标(如城市建筑)的RCS计算。
3. 模型简化
-
等效电磁流(EC):将复杂目标(如飞机)简化为多个等效散射中心(如机翼、机身、发动机),每个散射中心的RCS由其几何形状与材料决定,减少计算量。
-
忽略次要散射源:对于电大目标(如舰船),忽略小部件(如天线、栏杆)的散射贡献,专注于主要散射源(如船体、甲板)的RCS计算。
五、RCS仿真计算的挑战与未来趋势
尽管RCS仿真技术已取得显著进展,但仍面临以下挑战:
-
复杂环境建模:目标与环境(如地面、海面)的复合散射(如目标-地面反射、海面-目标绕射)尚未完全解决,需更精确的环境模型(如动态海面模型、植被模型)。
-
隐身材料建模:吸波材料(如铁氧体、纳米材料)的频率特性(如宽频吸波)与角度特性(如斜入射时的RCS)难以精确建模,需更先进的材料电磁参数测量技术。
未来,RCS仿真计算的发展趋势包括:
-
多物理场耦合:将电磁仿真与结构力学(如目标变形)、热力学(如温度变化对材料电磁特性的影响)耦合,更真实地模拟目标的RCS特性。
-
人工智能(AI)辅助:用机器学习(如神经网络)预测目标的RCS,减少计算量。例如,用卷积神经网络(CNN)提取目标的几何特征(如机翼后掠角、机身长度),快速预测其RCS。
参考代码 雷达RCS仿真计算程序 www.youwenfan.com/contentcnq/53369.html
六、总结
RCS仿真计算程序的选择需根据目标尺寸、频率范围、精度要求与预算综合考虑:
-
简单目标(如金属球):选择解析法或MATLAB Phased Array System Toolbox,快速得到结果。
-
复杂目标(如飞机、舰船):选择商业软件(FEKO、CST),利用其高频近似法与多物理场耦合功能,提高仿真精度。
-
学术研究:选择开源工具(RaytrAMP、RCScalculator2)或编程库(SciPy/NumPy),灵活定制算法,降低成本。


浙公网安备 33010602011771号