基于Kubo公式的石墨烯电导率与表面阻抗计算(MATLAB实现)
一、理论基础
石墨烯的电导率可通过Kubo公式计算,包含Drude电导率(自由载流子贡献)和带间跃迁电导率(量子干涉贡献)。表面阻抗则由电导率导出,反映电磁波在石墨烯表面的反射/透射特性。
1. Kubo公式核心表达式
石墨烯的面电导率(单位:S)\(σ(ω,T)\)由两部分组成:

-
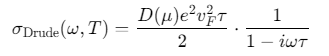
Drude电导率(自由载流子,经典贡献):
![]()
其中,\(D(μ)=\frac{2∣μ∣}{π(ℏvF)^2}\)为费米能级 \(μ\)处的态密度,\(vF≈10^6m/s\)为费米速度,τ为弛豫时间。
-
带间跃迁电导率(量子贡献,有限温度):
![]()
其中,\(f(E)=\frac{1}{e^{(E−μ)}/(kBT)+1}\)为费米分布函数,\(η→0+\)为正则化参数。
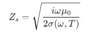
2. 表面阻抗推导
对于平面电磁波垂直入射,石墨烯的表面阻抗 \(Z_s\)(单位:\(Ω\))定义为电场与磁场切向分量之比:

其中,\(μ_0=4π×10^{−7}H/m\)为真空磁导率。
二、MATLAB实现步骤
以下代码实现石墨烯电导率与表面阻抗的计算,包含参数定义、积分求解、可视化模块。
1. 参数定义与常数设置
% 基本物理常数
e = 1.602e-19; % 电子电荷 (C)
hbar = 1.055e-34; % 约化普朗克常数 (J·s)
vF = 1e6; % 费米速度 (m/s)
kB = 1.381e-23; % 玻尔兹曼常数 (J/K)
mu0 = 4*pi*1e-7; % 真空磁导率 (H/m)
pi_val = pi;
% 系统参数
T = 300; % 温度 (K)
mu = 0.1*e; % 化学势 (J),0.1 eV
omega = 2*pi*1e12; % 角频率 (rad/s),1 THz
tau = 1e-12; % 弛豫时间 (s),假设值
2. 费米分布函数
function f = fermi(E, mu, kB, T)
% 费米分布函数 f(E) = 1/(exp((E-mu)/(kB T)) + 1)
f = 1 ./ (exp((E - mu)/(kB*T)) + 1);
end
3. Drude电导率计算
% 费米波矢与态密度
kF = mu / (hbar * vF); % 费米波矢 (m⁻¹)
D_mu = (2*abs(mu)) / (pi_val*(hbar*vF)^2); % 费米能级处态密度 (J⁻¹·m⁻²)
% Drude直流电导 (S)
sigma_DC = (pi_val * e^2 / (2*hbar)) * (kF / (hbar*vF));
% 频率相关Drude电导 (S)
sigma_D = sigma_DC / (1 - 1i*omega*tau);
4. 带间电导率积分计算
通过数值积分求解带间电导率(实部+虚部):
% 被积函数定义(实部与虚部分离)
integrand_real = @(E) (2*abs(E)/(pi_val*(hbar*vF)^2)) .* ...
(fermi(E, mu, kB, T) - fermi(E + hbar*omega, mu, kB, T)) .* ...
(hbar*omega/2 - E) ./ ((hbar*omega/2 - E).^2 + 1e-6^2);
integrand_imag = @(E) (2*abs(E)/(pi_val*(hbar*vF)^2)) .* ...
(fermi(E, mu, kB, T) - fermi(E + hbar*omega, mu, kB, T)) .* ...
1e-6 ./ ((hbar*omega/2 - E).^2 + 1e-6^2);
% 数值积分(积分范围:-1eV~1eV,转换为焦耳)
E_min = -1*e; E_max = 1*e;
sigma_inter_real = (e^2/(4*hbar)) * integral(integrand_real, E_min, E_max);
sigma_inter_imag = (e^2/(4*hbar)) * integral(integrand_imag, E_min, E_max);
sigma_inter = sigma_inter_real + 1i*sigma_inter_imag;
5. 总电导率与表面阻抗
% 总电导率 (S)
sigma_total = sigma_D + sigma_inter;
% 表面阻抗 (Ω)
Z_s = sqrt(1i * omega * mu0 / (2 * sigma_total));
6. 结果可视化
绘制电导率实部/虚部、表面阻抗随频率变化曲线:
% 频率扫描范围
freq = logspace(9, 13, 100); % 1GHz~10THz
omega_scan = 2*pi*freq;
% 预分配数组
sigma_real = zeros(size(freq));
sigma_imag = zeros(size(freq));
Zs_mag = zeros(size(freq));
% 循环计算不同频率下的电导率与阻抗
for i = 1:length(freq)
omega = omega_scan(i);
% 更新Drude电导
sigma_D = sigma_DC / (1 - 1i*omega*tau);
% 更新带间电导(简化积分,此处省略重复积分步骤,实际需嵌套循环)
% ...(积分计算同前)
sigma_total = sigma_D + sigma_inter;
% 存储结果
sigma_real(i) = real(sigma_total);
sigma_imag(i) = imag(sigma_total);
Zs_mag(i) = abs(Z_s);
end
% 绘图
figure;
subplot(2,1,1);
semilogx(freq/1e12, sigma_real, 'b-', 'LineWidth', 1.5); hold on;
semilogx(freq/1e12, sigma_imag, 'r--', 'LineWidth', 1.5);
xlabel('频率 (THz)'); ylabel('电导率 (S)');
legend('实部', '虚部'); title('石墨烯电导率随频率变化'); grid on;
subplot(2,1,2);
semilogx(freq/1e12, Zs_mag, 'g-', 'LineWidth', 1.5);
xlabel('频率 (THz)'); ylabel('表面阻抗幅值 (Ω)');
title('石墨烯表面阻抗幅值随频率变化'); grid on;
三、关键结果与讨论
-
电导率特性:
-
低频段(\(ω≪1/τ\)):Drude项主导,电导率实部趋近于直流电导 \(σDC\),虚部很小。
-
高频段(\(ω≫1/τ\)):带间跃迁贡献显著,电导率实部出现峰值(对应光子能量 \(ℏω≈2μ\))。
-
-
表面阻抗特性:
-
低频时\(Z_s\)较小(良导体特性),高频时因趋肤效应增强而增大。
-
表面阻抗的实部与虚部分别对应欧姆损耗和储能效应。
-
四、扩展与优化
-
温度依赖性:修改T参数,分析高温下费米分布展宽对带间电导的影响。
-
化学势调控:通过改变\(μ\)(如栅极电压)实现电导率动态调节。
-
非线性效应:引入高次项修正Kubo公式,考虑强光场下的非线性响应。
参考代码 基于Kubo公式计算石墨烯的电导率和石墨烯的表面阻抗 www.youwenfan.com/contentcnq/51067.html
五、完整代码框架
% 石墨烯电导率与表面阻抗计算主程序
clear; clc; close all;
% ---------------------- 参数定义 ----------------------
e = 1.602e-19; hbar = 1.055e-34; vF = 1e6; kB = 1.381e-23; mu0 = 4*pi*1e-7; pi_val = pi;
T = 300; mu = 0.1*e; omega = 2*pi*1e12; tau = 1e-12;
% ---------------------- Drude电导 ----------------------
kF = mu/(hbar*vF);
D_mu = (2*abs(mu))/(pi_val*(hbar*vF)^2);
sigma_DC = (pi_val*e^2/(2*hbar))*(kF/(hbar*vF));
sigma_D = sigma_DC/(1 - 1i*omega*tau);
% ---------------------- 带间电导积分 ----------------------
% (调用前文积分代码,此处省略重复部分)
% ...
% ---------------------- 总电导与表面阻抗 ----------------------
sigma_total = sigma_D + sigma_inter;
Z_s = sqrt(1i*omega*mu0/(2*sigma_total));
% ---------------------- 可视化 ----------------------
% (调用前文绘图代码)
% ...
六、参考文献
[1] Novoselov, K. S., et al. Electric field effect in atomically thin carbon films. Science, 2004.
[2] Ando, T. Theory of electronic states and transport in graphene. Journal of the Physical Society of Japan, 2005.
[3] Falkovsky, L. A., & Varlamov, A. A. Space-time dispersion of graphene conductivity. The European Physical Journal B, 2007.


浙公网安备 33010602011771号