弹性波有限差分数值模拟生成波场快照(交错网格)
1. 弹性波方程与交错网格
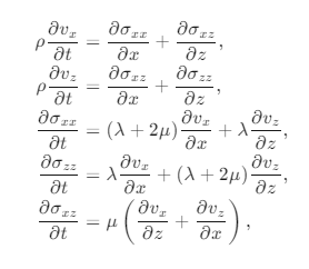
在弹性波数值模拟中,通常使用一阶速度-应力方程来描述波的传播。对于二维各向同性介质,弹性波方程可以表示为:


交错网格技术通过将不同物理量布置在不同网格点上,可以有效减少数值频散。具体来说:

2. 有限差分格式
为了数值求解上述方程,通常采用有限差分方法。时间导数通常采用二阶中心差分,空间导数则可以采用高阶有限差分格式以提高精度。例如,空间导数可以使用 ( 2N ) 阶有限差分格式。
3. 波场快照生成
波场快照是通过在特定时间步记录波场的状态来生成的。以下是生成波场快照的基本步骤:
-
初始化模型参数:包括速度、密度、弹性参数等。
-
应用震源函数:在模型中指定震源位置并施加震源信号。
-
时间步进循环:
-
更新速度分量。
-
应用边界条件。
-
更新应力分量。
-
应用边界条件。
-
-
记录波场快照:在适当的时间步记录波场的状态。
4. MATLAB实现
简单的MATLAB代码,用于生成弹性波场快照:
% 参数设置
dx = 10; % 空间步长 (m)
dz = 10; % 空间步长 (m)
dt = 0.001; % 时间步长 (s)
nx = 100; % x方向网格数
nz = 100; % z方向网格数
nt = 500; % 时间步数
% 初始化速度和应力场
vx = zeros(nx, nz);
vz = zeros(nx, nz);
sxx = zeros(nx, nz);
szz = zeros(nx, nz);
sxz = zeros(nx, nz);
% 震源参数
source_x = 50; % 震源x位置
source_z = 50; % 震源z位置
f0 = 10; % 震源频率 (Hz)
t0 = 1 / f0; % 震源起始时间
source = zeros(nt, 1);
for it = 1:nt
t = (it-1) * dt;
source(it) = -2 * (t - t0) * exp(-((t - t0) / (0.6 / f0))^2);
end
% 时间步进循环
for it = 1:nt
% 更新速度分量
for ix = 2:nx-1
for iz = 2:nz-1
vx(ix, iz) = vx(ix, iz) + dt / rho * (sxx(ix, iz) - sxx(ix-1, iz) + sxz(ix, iz) - sxz(ix, iz-1)) / dx;
vz(ix, iz) = vz(ix, iz) + dt / rho * (sxz(ix, iz) - sxz(ix-1, iz) + szz(ix, iz) - szz(ix, iz-1)) / dz;
end
end
% 应用震源
vx(source_x, source_z) = vx(source_x, source_z) + source(it);
% 更新应力分量
for ix = 2:nx-1
for iz = 2:nz-1
sxx(ix, iz) = sxx(ix, iz) + dt * lambda * (vx(ix, iz) - vx(ix-1, iz)) / dx + dt * mu * (vx(ix, iz) - vx(ix-1, iz)) / dx;
szz(ix, iz) = szz(ix, iz) + dt * lambda * (vz(ix, iz) - vz(ix, iz-1)) / dz + dt * mu * (vz(ix, iz) - vz(ix, iz-1)) / dz;
sxz(ix, iz) = sxz(ix, iz) + dt * mu * ((vx(ix, iz) - vx(ix, iz-1)) / dz + (vz(ix, iz) - vz(ix-1, iz)) / dx);
end
end
% 记录波场快照
if mod(it, 10) == 0
figure;
imagesc(vx);
title(['波场快照,时间步 = ', num2str(it)]);
colorbar;
pause(0.1);
end
end
5. 性能优化
为了提高数值模拟的效率,可以采用并行计算技术。例如,基于GPU的并行计算可以显著减少计算时间。
6. 应用案例
该方法已被成功应用于多种场景,例如地震波场模拟和复杂介质中的波场分析。
参考代码
浙公网安备 33010602011771号