概率论作业题目
重要的题目
https://www.cnblogs.com/icbm/p/17142741.html
作业题目
1


2


3 概率计算例题



4 概率计算例题


5 几何分布,二项分布,泊松分布



6 密度函数和分布函数



7 求概率,正态分布和指数分布



8 随机变量函数的分布





9 二维随机变量的分布


10 独立和边缘



11 二维随机变量函数的分布



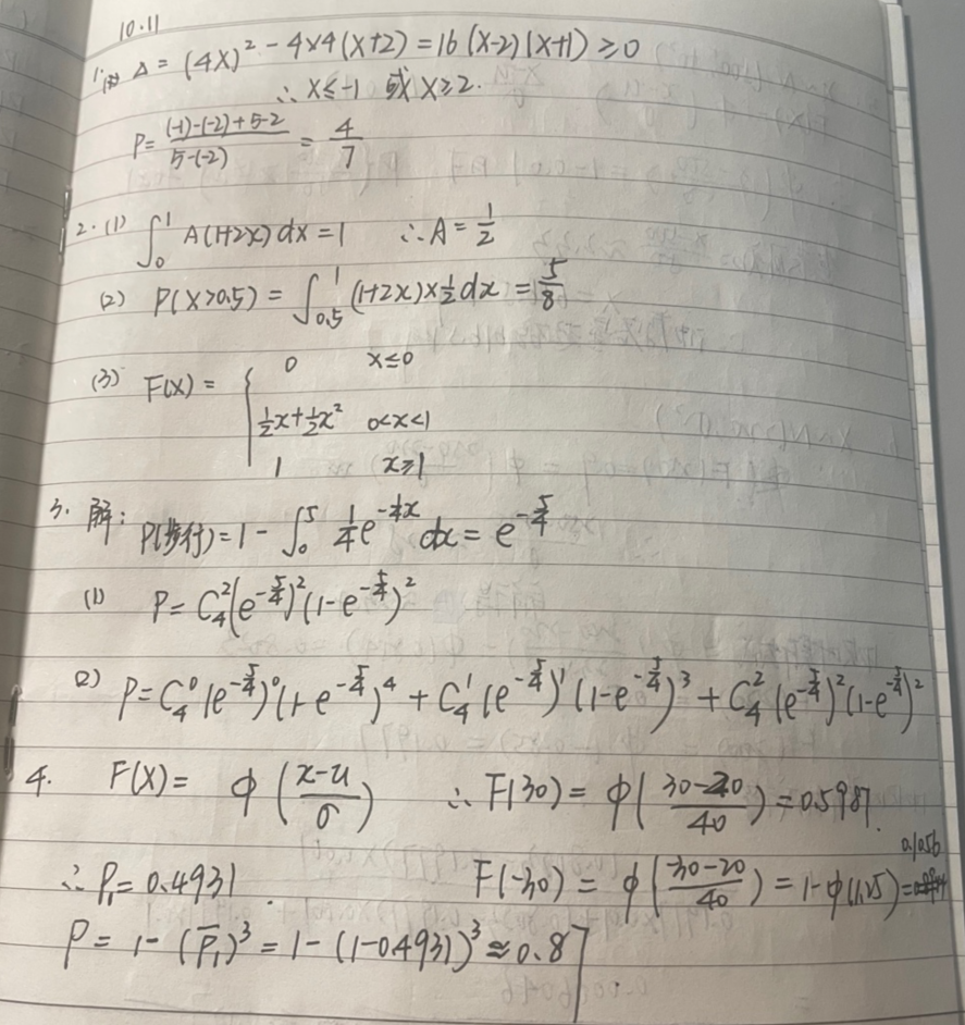
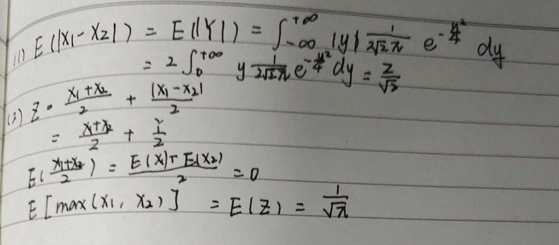
12 数学期望(必看)
注意看第一题:每天检查四次,每次调整/不调整,求一共调整多少次。这一看就是一个01分布,和中心极限定理一样的方法,调整的次数就是求E(X1+X2+X3+X4)=EX1+EX2...=p+p+p+p,Xi是第i次01分布的结果,求和就是一共发生了多少次,这个技巧很经典,看到这类题一定要想到01分布,因为01分布的期望直接就是p,方差就是np。类似的还有第四题




浙公网安备 33010602011771号